Journal of Korean Society for Atmospheric Environment
[ Original Paper ]
Journal of Korean Society for Atmospheric Environment - Vol. 42, No. 1, pp.123-138
ISSN: 1598-7132 (Print) 2383-5346 (Online)
Print publication date 31 Mar 2026
Received 12 Jan 2026 Revised 31 Jan 2026 Accepted 11 Feb 2026
DOI: https://doi.org/10.5572/KOSAE.2026.42.1.123

여수시 대기 중 이산화질소(NO2)의 장거리 수송 특성과 잠재 기여지역 분석

이상림 ; 정준영 ; 김채은 ; 김수빈1), * ; 장지이*
전남대학교 환경시스템공학과
1)한국원자력연구원 선진처분기술개발부
Long-Range Transport and Potential Source Contributions of Atmospheric NO2 over Yeosu, South Korea
SangRim Lee ; JunYoung Jung ; ChaeEun Kim ; Soobin Kim1), * ; Jiyi Jang*
Department of Environmental System Engineering, Chonnam National University, Yeosu, Republic of Korea
1)Advanced Disposal Technology R&D Division, Korea Atomic Energy Research Institute (KAERI), Daejeon, Republic of Korea

Correspondence to: *Tel : +82-(0)61-659-7261 E-mail : jiyi.jang@jnu.ac.kr Tel : +82-(0)42-866-6205 E-mail : skim1@kaeri.re.kr

Abstract

This study investigated the transport characteristics and potential source regions of nitrogen dioxide (NO2) in Yeosu, a coastal industrial city in South Korea, using five years(2020~2024) of ground-based air quality observations. Uniform Manifold Approximation and Projection (UMAP) and K-Means clustering were applied to major air pollutant concentrations to identify four pollution clusters (Clusters 0~3), while associated meteorological conditions were examined separately. Backward trajectories (48 h, 500 m) were calculated using the Hybrid Single-Particle Lagrangian Integrated Trajectory (HYSPLIT) model, and cluster-specific Concentration Weighted Trajectory (CWT) and Potential Source Contribution Function (PSCF) analyses were conducted. The results revealed that the mean NO2 concentration in the high-pollution cluster (Cluster 3) was approximately 2.6 times higher than that in the low-pollution cluster(Cluster 2). Cluster 3 was primarily associated with wintertime northwesterly continental airflows and atmospheric stagnation, with potential source regions identified over the central Yellow Sea and eastern China. In contrast, Cluster 2 was dominated by summertime marine air masses and high precipitation, indicating limited long-range influence. Cluster 0 and 1 represented intermediate or transitional states characterized by particulate matter-dominant patterns and active photochemistry, respectively. This integrated approach demonstrates the critical importance of cluster-specific analysis in deciphering the complex transport dynamics of NO2 within coastal industrial regions.

Keywords:

Nitrogen dioxide (NO2), Air pollution, Machine learning algorithm, Meteorological factors, Environmental data analysis

1. 서 론

이산화질소(NO2)는 고온 연소 공정에서 주로 배출되며, 호흡기 및 심혈관 질환의 발생 악화와 장기 노출 시 사망률 증가에 관련된 주요 대기오염물질로 널리 보고되고 있다(Kim et al., 2024; WHO, 2021). 이에, 세계보건기구를 포함한 국제 환경 기구들은 NO2를 지속적 감시와 관리가 필요한 우선순위 오염물질로 분류하고 있으며, 각국의 환경 규제 기관에서도 이에 따른 관리기준을 강화하고 있다(Jeong et al., 2022). NO2 농도의 변동은 배출원의 공간적 분포와 배출 특성뿐 아니라, 대규모 기압계 변화, 계절풍, 그리고 중층 대기의 기류 구조에 의해 좌우된다(Kim et al., 2025; KMA, 2011). 특히 고농도 NO2 자료 단일 지점의 국지 요인만으로는 설명되기 어려운 경우가 많아, 장거리 수송을 포함한 기류 이동 특성이 중요한 역할을 할 수 있다(Beirle et al., 2011). 따라서 특정 지역에서 관측되는 고농도 NO2 조건의 형성 특성을 이해하기 위해서는 단순한 농도 통계 분석을 넘어, 기류 이동 경로와 잠재 기여지역을 고려한 기여도 평가가 필요하다.

기존 NO2 연구들은 주로 CMAQ/CAPSS (Community Multiscale Air Quality Modeling System/Clean Air Policy Support System) 기반 배출량 산정(Kim, 2012; Han et al., 2011)이나 위성 자료 기반 NO2 컬럼 분석(Liu et al., 2024; Chen et al., 2023), 차량 배출 통계(Stewart et al., 2024; Yu et al., 2021) 등 배출 특성 또는 특정 조건에서의 농도 분포를 파악하는 데 주로 초점을 두어 수행되어 왔다. 관측 기반 연구 또한 특정 계절 메커니즘 분석(Albertin et al., 2024; Dang et al., 2023) 또는 여름철 일주기 변화를 파악하는 등 (Park et al., 2025) 분석 대상과 기간이 상대적으로 제한적이었다. 한편, 동아시아 지역에서는 중국 동부~한반도 서해~한반도 육지를 연결하는 장거리 수송 경로가 반복적으로 보고되어 왔으며(Zhang et al., 2017; Park et al., 2012), 이러한 광역 기류 구조가 지역 대기질에 미치는 영향이 다수의 연구를 통해 제시되어 왔다. 그러나 산업 활동과 해양성 기류의 영향이 동시에 작용하는 해안 산업도시를 대상으로, NO2 농도 변동을 기류 구조 및 오염 패턴 분류 결과와 연계하여 장기간 종합적으로 분석한 사례는 여전히 제한적이다. 전라남도 여수시는 국가산업단지가 위치한 대표적 해안도시로, 해륙풍 순환과 계절풍의 영향을 동시에 받는 복합 기류 환경에 놓여 있다. 이러한 지역적 특성으로 인해 여수에서는 국지 순환과 장거리 수송이 중첩되어 대기오염물질의 이동 경로와 체류 특성이 시기별로 크게 달라질 수 있다(Yoo et al., 2023; Kwon and Cho, 2021; Miller et al., 2003). 또한, 여수시에서는 지역주민의 호흡기 질환 발생률 증가 및 건강 관련 이슈가 지속적으로 제기되어 왔으며, 국가 환경 정책상 중점 관리 대상으로 지정되어 지역 배출과 광역 수송이 복합적으로 작용하는 시·공간적 농도 변동 특성을 체계적으로 이해할 필요가 크다 (Park et al., 2024; NIER, 2013). 이에 본 연구에서는 여수 지역의 장기간 관측자료를 바탕으로 NO2 농도 변동 특성을 분석하고, 기류 이동 경로 및 잠재 기여지역을 함께 고려하여 해석하고자 하였다. 이를 위해 여수시 덕충동 대기질 측정망에서 관측된 2020~2024년 이산화질소(NO2) 자료와 기상청 기상 자료를 결합하였으며, 라그랑지안 궤적 모형인 HYSPLIT (Hybrid Single-Particle Lagrangian Integrated Trajectory)와 통계적 기여도 분석 기법인 CWT (Concentration Weighted Trajectory) 및 PSCF (Potential Source Contribution Function)를 적용하여 여수 지역 NO2의 장거리 수송 특성과 잠재 기여지역을 규명하고자 한다. 따라서 본 연구의 목적은 1) 여수로 유입되는 기류의 계절별·기상 조건별 특성을 파악하고, 2) 고농도 자료와 연관된 장거리 수송 경로 및 잠재 기여지역을 평가하며, 3) 일평균 NO2 농도의 시간적 변동과 기류 패턴 간의 연관성을 규명하는 데 있다.


2. 연구 방법

2. 1 연구 대상과 자료

본 연구는 지상 관측 자료와 대규모 재분석 자료를 통합하여 활용하였다. 지상 관측 자료로는 전라남도 여수시 덕충동 주민센터(34.7555°N, 127.6621°E)에 위치한 국가 대기오염측정망에서 관측된 일평균 NO2 농도 자료를 사용하였다. 해당 관측지점은 여수 국가산업단지로부터 약 10 km, 광양국가산업단지로부터 약 33 km 떨어진 연안 지역에 위치한다. 또한 덕충동 측정소의 일평균 NO2 농도는 여수시 내 모든 도시대기측정소의 평균 농도와 매우 높은 상관성(Pearson 상관계수 r>0.9)을 보여, 덕충동 측정소 자료가 여수 지역 전반의 NO2 농도 변동 특성을 충분히 대표함을 확인하였다. 기상 자료는 기상청 국가기상종합정보(Korea Meteorological Administration, KMA; https://data.kma.go.kr)에서 동일 기간의 관측치를 수집하였다. 전체 분석기간은 2020년부터 2024년까지의 5년간 자료를 대상으로 수행하였다. 이 중 일부 기간(총 45일)에 대해서는 기상청 자료가 제공되지 않아 해당 일자는 분석 대상에서 제외하였으며, 이를 제외한 총 1,782일의 자료를 최종 분석에 활용하였다. 분석에 사용된 자료 내에서 추가적으로 발생한 결측치는 총 35건으로, 모든 변수가 동시에 결측된 날짜는 존재하지 않았으며, 특정 날짜에서 일부 변수 값만이 누락된 경우에 해당한다. 이러한 부분 결측은 자료 병합 과정에서 발생한 CSV 파일 단위의 누락에 기인한 것으로 판단된다.

결측치 처리는 변수의 특성과 시간적 연속성을 고려하여 차등적으로 수행하였다. 강수량 자료의 경우 관측값이 존재하지 않는 날은 실제 무강수일 가능성이 높다고 판단하여 0으로 대체하였다. 반면, NO2를 포함한 기타 대기오염물질 및 기상 변수의 결측치는 월별 평균값을 이용한 평균 대체(mean imputation) 방법을 적용하였다. 이러한 전처리 과정을 통해 결측치로 인한 분석 결과의 왜곡을 최소화하고, 시계열 자료의 계절적 특성을 유지하고자 하였다. 대규모 대기 재분석 자료로는 미국 국립해양대기청(National Oceanic and Atmospheric Administration, NOAA)에서 제공하는 GDAS (Global Data Assimilation System) 1° ×1°격자 재분석 자료(https://www.noaa.gov/)를 이용하였으며, 해당 자료를 기반으로 HYSPLIT 역궤적 분석을 수행하였다. 여수 지역 NO2 농도의 연·계절·월별 변화 특성을 파악하기 위해 기본 통계 분석을 수행하였다. 계절 구분은 기상청 공식 분류 기준에 따라 봄(March~May, MAM), 여름(June~August, JJA), 가을(September~November, SON), 겨울(December~February, DJF)로 정의하였다. 고농도 자료는 전체 분석 기간(2020~2024년) 일평균 NO2 농도 분포를 기준으로 상위 10% (90th percentile)에 해당하는 경우로 정의하여, 시계열 및 계절적 발생 특성 분석에 활용하였다. 한편, PSCF 분석에서는 오염 패턴별 특성을 반영하기 위해 각 UMAP 군집 내부 NO2 분포를 기준으로 상위 10%를 고농도 자료로 별도로 정의하였다.

2. 2 UMAP과 오염물질 패턴 군집화

여수 지역에서 NO2와 함께 다른 대기오염물질(PM10, PM2.5, O3, CO, SO2) 및 기상 인자의 조합 패턴을 파악하기 위해 비지도 차원 축소 기법인 UMAP(Uniform Manifold Approximation and Projection)을 적용하였다. UMAP은 고차원 자료의 국지적 구조와 전역적 구조를 동시에 보존하면서 저차원 공간으로 임베딩할 수 있는 기법으로, 최근 환경 및 대기질 자료 분석에 널리 활용되고 있다(McInnes et al., 2018). UMAP 적용에 앞서 각 변수는 표준화(StandardScaler)를 통해 평균 0, 분산 1로 정규화하였다. UMAP의 주요 하이퍼파라미터로는 n_neighbors를 15로 설정하여 각 데이터 포인트가 고려하는 이웃의 수(국지적·전역적 구조 반영 범위)를 정의하였으며, min_dist는 0.1로 설정하여 저차원 공간에서 군집 간 분리를 유지하면서도 군집 내부의 연속성을 보존하도록 하였다. 임베딩 차원(n_components)은 시각화를 목적으로 2차원으로 설정하였고, 분석 결과의 재현성을 확보하기 위해 random_state를 고정하였다. UMAP을 통해 도출된 저차원 임베딩 결과에 대해 K-Means 군집화 기법을 적용하여 오염물질 조합 패턴을 분류하였다. 군집 수는 사전 분석을 통해 4개로 설정하였으며, 최종적으로 전체 1,782일의 자료는 네 개의 오염물질 조합 군집으로 분류되었다.

2. 3 대기 기류 및 잠재 기여지역 분석

2. 3. 1 HYSPLIT 역궤적 분석

대기 기류의 유입 방향과 여수에 도달하기까지의 경로를 파악하기 위해 NOAA의 HYSPLIT 모형을 사용하였다. GDAS 재분석 자료를 입력으로 하여, 본 연구에서는 여수시 덕충동 주민센터(34.75°N, 127.6621°E)를 수용지로 설정하고, 대기 중 NO2의 장거리 수송 특성을 분석하기 위해 HYSPLIT 모형을 이용한 역궤적 분석을 수행하였다. 역궤적은 수용지 고도 500 m에서 매일 00 UTC를 기준으로 산출하였으며, 역궤적 시간은 -48 h로 설정하였다. 500 m 고도는 지표 경계층의 직접적인 영향은 완화하면서도 지상 농도와의 연계성을 유지할 수 있는 고도로, 장거리 대기수송 분석에 널리 활용되는 조건이다(Li et al., 2020; Stein et al., 2015). 또한 -48 h 역궤적 시간은 장거리 이동 특성을 충분히 반영하면서도 기상 자료의 시간적 연속성을 안정적으로 확보할 수 있는 범위로 판단하였다. 산출된 역궤적은 UMAP 기반 군집화 결과에 따라 군집별로 분류한 뒤 평균화하여, 서로 다른 대기 유입 경로에 따른 기류 이동 특성의 차이를 분석하였다. HYSPLIT 모형의 실행과 궤적 자료의 후처리는 Python 기반 환경에서 수행하였으며, 자료 정리 및 시각화에는 NumPy와 Pandas를 이용한 데이터 처리와 Matplotlib을 활용한 그래프 작성이 수행되었다. 군집별 대표 유입 경로를 요약하기 위해, 각 군집 내 궤적들 간의 시간스텝별(위도, 경도) 거리합을 기반으로 medoid (거리합 최소 궤적)를 산정하여 대표 궤적으로 제시하였다(Draxler and Hess, 1998).

2. 3. 2 CWT 분석

기류 기반 통계 분석 기법은 기존 연구에서 PM2.5의 장거리 수송 평가에 폭넓게 활용되어 왔으며(Hopke, 2016), 본 연구에서는 이를 NO2 농도 자료에 적용하여 여수 지역의 장거리 수송 특성과 잠재 기여지역을 평가하였다. 기류 경로에 따른 NO2 농도의 공간적 기여도를 정량화하기 위해 농도 가중 궤적기법을 적용하였다. 분석 영역은 위도 15~60°N, 경도 95~150°E로 설정하고(격자 간격 1°×1°), HYSPLIT 역궤적의 각 시점 좌표를 격자에 할당하여 격자별 체류시간(residence time)을 산정하였다. 본 연구에서는 궤적의 시간 간격이 일정하다는 점을 이용하여, 특정 격자(i, j)에서의 체류시간 Tijk는 k번째 궤적이 해당 격자에 포함되는 좌표 포인트 수(통과 횟수)에 비례하는 값으로 계산하였다. 격자(i, j)의 CWT 값은 다음과 같이 정의된다.

CWT(ij)=K=1N(Ck×Tijk)/K=1N(Tijk)

여기서 Ck는 k번째 궤적 종점(수용지)에서의 일평균 NO2 농도이며, Tijk는 k번째 궤적이 격자(i, j)에 머문 체류시간(통과 포인트 수에 비례)이다. 즉, CWT는 체류시간을 가중치로 하여(Tijk) 농도Ck를 평균하는 방식으로 계산되며, 체류시간이 긴 격자가 상대적으로 큰 영향을 갖도록 구성된다. CWT는 전체 분석 기간뿐 아니라 UMAP 군집별로 각각 산정하여, 군집별 기류 유입 경로에 따른 NO2 기여지역의 공간 분포 차이를 비교하였다. CWT 계산 및 격자별 체류시간 산정은 Python 기반 환경에서 수행하였으며, 수치 계산과 자료 처리를 위해 NumPy와 Pandas를 활용하였다. 표본 수가 매우 적은 격자에서는 추정치의 불확실성이 커질 수 있으므로, 해석 시 격자별 통과 빈도(Nij)를 함께 확인하였다.

2. 3. 3 PSCF 분석

NO2 고농도 자료의 잠재적 기여지역을 평가하기 위해 잠재 기여 함수 기법을 적용하였다. PSCF는 특정 격자(i, j)를 통과한 궤적 중 고농도 자료에 해당하는 궤적의 비율로 정의되며, 다음과 같이 계산된다.

PSCF(i,j)=mij/nij

여기서 nij는 격자(i, j)를 통과한 전체 궤적의 개수(통과 포인트 수 누적), mij는 그중 고농도 조건을 만족하는 궤적의 개수이다. 본 연구에서는 UMAP 군집별로 NO2 농도 분포가 상이할 수 있음을 고려하여, 고농도 조건을 각 군집 내부에서 매칭된 일평균 NO2 분포의 상위 10% (90th percentile)로 정의하였다. 즉, 군집 c에 속하는 날짜들에 대해 일평균 NO2 값을 수집한 뒤, 해당 분포의 90백분위수 값을 임계치(Cthr, c)로 산정하고 CkCthr, c인 경우를 고농도 조건으로 분류하였다.

PSCF는 표본 수가 적은 격자에서 과대평가 되는 경향이 있으므로, 격자별 통과 빈도(nij)에 따른 가중 보정(weighting function)을 적용하였다. 본 연구의 가중치는 전체 유효 격자에서의 평균 통과 빈도 n-을 기준으로 다음과 같이 4단계로 부여하였다.

nij3n-: Wij=1.0
1.5n-nij<3n-: Wij=0.7
n-nij<1.5n-: Wij=0.4
nij<n-: Wij=0.2

최종적으로 가중 보정된 PSCF는 PSCF*ij=PSCFij×Wij로 계산하였다. PSCF 산정 및 가중 보정, 공간 분포 시각화는 Python 기반 환경에서 수행하였으며, 수치 계산과 자료처리 및 시각화를 위해 NumPy, Pandas, Matplotlib (및 Cartopy)을 활용하였다.

2. 4 통계 분석

UMAP 기반 군집화 결과에 따라 분류된 군집 간 NO2 농도 차이를 평가하기 위해 일원분산분석(one-way ANOVA)을 적용하였다. 분석에는 각 군집에 속하는 일평균 NO2 농도 자료를 사용하였으며, 군집 간 평균 NO2 농도의 통계적 유의성을 검정하였다. 통계 분석은 Python 3.13 기반 환경에서 수행하였고, SciPy 패키지를 이용하였다. 군집 간 평균 NO2 농도의 통계적 유의성은 유의수준 α=0.05를 기준으로 one-way ANOVA를 통해 평가하였다. 군집 쌍 간 평균 차이를 구체적으로 비교하기 위해 Tukey의 honestly significant difference (Tukey’s HSD) 사후 검정을 추가로 실시하였다. 사후 검정은 Statsmodels 패키지의 pairwise_tukeyhsd 함수를 사용하여 수행하였으며, 다중 비교에 따른 제1종 오류를 제어하기 위해 familywise error rate (FWER) 0.05 수준을 적용하였다. 통계적으로 유의한 군집 간 차이는 결과 그림에서 기호 (*, **, ***)로 표시하였다.


3. 결과 및 고찰

3. 1 여수 지역 NO2 농도 변동 특성

2020년부터 2024년까지 여수 지역의 NO2 일평균 농도를 분석한 결과, 전반적으로 뚜렷한 계절적 변동성이 나타났다. 전체 분석 기간 동안의 연평균 NO2 농도는 0.0137±0.0069 ppm 수준이었으며, 계절별로는 겨울철(DJF)에 가장 높은 평균 농도(0.0168±0.0078 ppm)가 관측되었다. 반면, 여름철(JJA)에는 평균 농도가 0.0102±0.0043 ppm으로 가장 낮게 나타났으며, 봄철 (MAM)과 가을철 (SON)은 각각 0.0142±0.0059 ppm, 0.0136±0.0076 ppm으로 중간 수준을 보였다. 겨울철 평균 NO2 농도는 여름철 대비 약 1.65배 높아, 계절 간 농도 차이가 존재함을 확인할 수 있었다(그림 1). 월별 변동을 살펴보면, 1~3월과 11~12월에 평균 NO2 농도가 상대적으로 높은 수준을 보이는 경향이 나타났다(그림 1a). 전체 기간의 일평균 NO2 분포에서 상위 10% (90th percentile, 0.023 ppm)로 정의한 고농도 자료 역시 주로 겨울(DJF)과 가을(SON)에 집중되어 나타났다(그림 1b). 이러한 계절적 고농도 발생 패턴은 광양만권 및 남해안 지역에서 보고된 장기 관측 결과와도 유사한 경향을 보인다(Park et al., 2022).

Fig. 1.

(a) Daily mean NO2 concentration and 30-day moving average in Yeosu during 2020~2024. (b) Monthly count of high NO2 days defined as the top 10% (overall 90th percentile, threshold = 0.023 ppm), classified by season.

이러한 계절적 변동성은 난방 수요 증가에 따른 국지적 배출 요인과 더불어, 겨울철 북서계열 기류의 우세로 인해 대륙 기원의 오염물질이 유입되는 계절적 특성과도 관련될 수 있다(Oh et al., 2015). 반대로 여름철에는 남동계열 해양기류의 유입과 대기 혼합층의 발달로 인해 오염물질이 효과적으로 희석·확산되는 것으로 해석된다(Seo and Moon, 2001). 또한 계절별 일사량과 광화학 반응 조건의 차이에 따라 NO2의 소멸률이 달라질 수 있으며, 이러한 과정은 동아시아 지역에서 보고된 겨울철 NOx 축적 현상과도 일관된 경향을 보인다(Shah et al., 2020; Seinfeld and Pandis, 2016). 종합하면, 여수 지역의 NO2 농도는 보다 뚜렷한 계절성을 보이며, 겨울철 고농도와 여름철 저농도 패턴은 국지적 배출 요인과 계절별 기류 및 대기 확산 조건의 차이가 복합적으로 작용한 결과로 해석된다.

3. 2 UMAP 기반 오염물질 조합 패턴

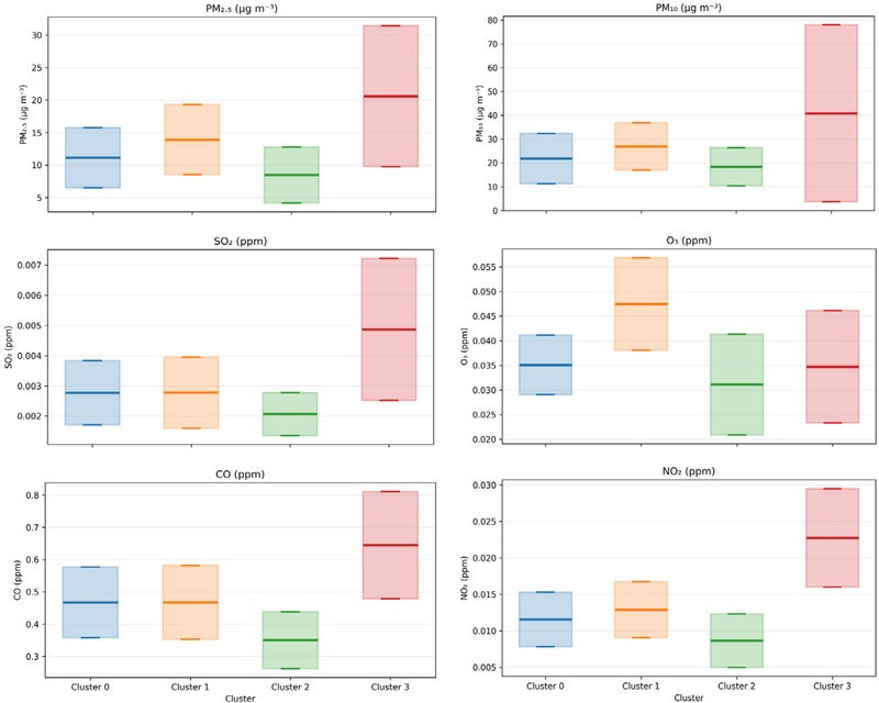
여수 지역에서 NO2 농도 변동과 연관된 오염물질 조합 특성을 규명하기 위해 NO2를 포함한 주요 대기 오염물질(PM10, PM2.5, O3, CO, SO2)과 기상 인자를 입력 변수로 하여 UMAP 차원축소와 K-Means 군집화를 적용하였다. 그 결과, 2020~2024년 총 1,782일의 자료는 네 개의 상이한 오염물질 조합 군집으로 분류되었으며, 각 군집에는 410~490일의 자료가 포함되었다(그림 2). 군집별 오염물질 평균 농도를 비교한 결과, Cluster 3은 PM10 (40.81±37.14 μg m-3), PM2.5 (20.60±10.84 μg m-3), CO (0.645±0.166 ppm), SO2 (0.0049±0.0023 ppm), NO2 (0.0227±0.0067 ppm)로 오염물질 농도가 다른 군집에 비해 현저히 높게 나타난 고오염형 군집으로 구분되었다(그림 3). 군집 간 NO2 평균 농도의 차이에 대한 통계 검정 결과, 군집별 NO2 농도는 유의한 차이를 보였다(one-way ANOVA, p<0.001). 이후 Tukey의 HSD 사후 검정 결과, Cluster 3의 NO2 평균 농도는 다른 모든 군집에 비해 유의하게 높았으며(p<0.001), 전체적인 농도 수준은 Cluster 3>Cluster 1>Cluster 0>Cluster 2의 순서로 나타났다(그림 4).

Fig. 2.

UMAP-based clustering of air pollutant patterns associated with NO2 variability. Data points are colored by cluster assignment: Cluster 0 (blue), Cluster 1 (orange), Cluster 2 (green), and Cluster 3 (red).

Fig. 3.

Boxplots of major air pollutant concentrations across UMAP-K-Means clusters in Yeosu from 2020 to 2024. Shown are PM2.5, PM10, SO2, O3, CO, and NO2 concentrations for each cluster (Clusters 0~3). The central line in each box indicates the median, boxes represent the interquartile range, and whiskers denote the data range.

Fig. 4.

Differences in mean NO₂ concentrations among UMAP-K-Means clusters in Yeosu from 2020 to 2024. Bars indicate cluster-wise mean NO₂ concentrations with error bars representing±1 standard deviation. Statistical differences were assessed using one-way ANOVA followed by Tukey’s HSD test, and asterisks(*) indicate significant differences at p<0.001.**

Cluster 0은 PM10 (21.81±10.59 μg m-3)과 PM2.5 (11.13±4.63 μg m-3) 농도가 비교적 높은 반면, NO2 (0.0116±0.0037 ppm), CO (0.468±0.109 ppm), SO2 (0.0028±0.0011 ppm)는 Cluster 3에 비해 낮은 수준을 보였다. 이는 가스상 오염물질보다는 입자상 물질의 상대적 기여가 두드러진 입자상 우세형(PM-dominant) 군집의 특성을 나타낸다. Cluster 1은 PM10 (26.96±9.91 μg m-3), PM2.5 (13.93±5.37 μg m-3), O3 (0.0475±0.0094 ppm), NO2 (0.0129±0.0038 ppm) 등 대부분의 오염물질이 중간 이상 수준을 보여, 입자상 및 가스상 오염물질이 함께 증가한 중·고농도 혼합형 군집으로 분류되었다. 반면, Cluster 2는 PM10 (18.41±8.01 μg m-3), PM2.5 (8.48±4.30 μg m-3), NO2 (0.0087±0.0037 ppm), CO (0.350±0.088 ppm), SO2 (0.0021±0.0007 ppm)로 모든 오염물질 농도가 가장 낮은 저오염형 군집으로 나타났다.

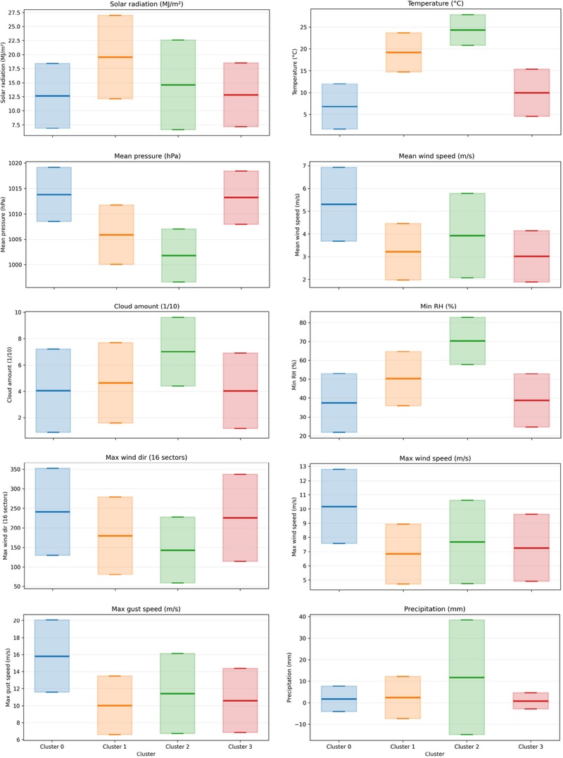
한편, 군집별 기상 특성을 살펴보면, 고오염형 군집인 Cluster 3은 평균 기온이 9.97±5.40°C로 비교적 낮은 편이었으며, 일강수량은 0.78±3.75 mm로 네 개 군집 중 가장 낮게 나타났다. 평균 해면기압은 1013.9±5.26 hPa로 높은 수준을 보였고, 평균 풍속 또한 3.01±1.12 m s-1로 낮아 대기 정체가 발생하기 쉬운 조건이 동반되었음을 시사한다. 이러한 기상 조건은 오염물질의 확산을 제한하여 NO2를 포함한 대기오염물질의 축적에 유리한 환경을 형성한 것으로 해석된다(그림 5). 반면, 저오염형 군집인 Cluster 2는 평균 기온이 24.34±3.52°C로 가장 높았으며, 일강수량은 11.72±26.59 mm로 다른 군집에 비해 현저히 높게 나타났다. 평균 해면기압은 1001.8±5.20 hPa로 상대적으로 낮았고, 최소 상대습도 또한 70.29±12.45%로 높아 강수와 높은 습도를 동반한 불안정한 대기 조건이 특징적이었다. 이러한 조건은 습식 제거 및 대기 혼합을 강화하여 오염물질 농도를 낮추는 데 기여한 것으로 판단된다. 이와 같이 군집별로 상이한 기상 조건은 오염물질의 희석·제거 및 축적 과정에 직접적인 영향을 미치며, 여수 지역에서 관측된 NO2 변동성과 오염물질 조합 패턴이 기상학적 배경과 밀접하게 연계되어 있음을 보여준다.

Fig. 5.

Boxplots of meteorological variables across UMAP-K-Means clusters in Yeosu from 2020 to 2024. Shown are solar radiation, air temperature, mean pressure, mean wind speed, cloud amount, minimum relative humidity (RH), maximum wind direction, maximum wind speed, maximum gust speed, and precipitation for each cluster (Clusters 0~3).

UMAP 군집이 계절적 대기 특성을 반영하는지 확인하기 위해, 각 군집의 계절별 출현 빈도를 분석하였다. Cluster 0과 Cluster 3은 각각 겨울(DJF) 발생 비율이 54.3%와 50.5%로 가장 높게 나타났다. 그림 34에 제시된 바와 같이 Cluster 3은 NO2를 포함한 대부분의 오염물질 농도가 상대적으로 높았으며, Cluster 0은 입자상 물질 농도가 두드러진 특성을 보였다. 이러한 군집 특성은 난방 연소 증가 및 대기 정체가 빈번한 겨울철 조건과 밀접하게 연관된 고농도 오염 특성을 대표하는 군집으로 해석된다. 특히 겨울철에는 낮은 기온과 함께 풍속이 상대적으로 약한 조건이 나타나며, 이러한 기상 조건 하에서는 오염물질의 축적 및 외부 기원 오염물질의 유입 가능성이 동시에 증가할 수 있다. 이러한 계절 분포는 오염물질 조합과 겨울철 기상 특성 간의 일관성을 나타낸다(그림 6). 또한 덕충동 측정소는 여수·광양 주요 산업단지의 남동쪽에 위치하고 있어, 겨울철에 우세한 북서풍 계열 기류의 영향을 직접적으로 반영할 수 있는 공간적 조건을 갖는다.

Fig. 6.

Seasonal occurrence characteristics of UMAP clusters.

반면 Cluster 2는 여름(JJA) 비율이 67.3%로 압도적으로 높아, 여름철에 주로 출현하는 군집으로 나타났다. 이러한 계절적 분포는 강수 증가와 혼합층 발달 등으로 오염물질의 희석·확산이 우세한 여름철 대기 환경을 반영하는 것으로 해석된다. 또한 이 군집에서는 상대적으로 높은 기온과 활발한 대기 혼합 조건이 함께 나타나는 경향을 보여, 여름철에 특징적인 환기 효과가 우세한 대기 조건과 전반적으로 일관된 경향을 보인다. Cluster 1은 봄(MAM)과 여름(JJA)이 각각 49.1%와 27.9%를 차지하는 전이형 계절 분포를 보여, 계절 변화기에 형성되는 중간적 오염 조합 특성을 반영하는 군집으로 해석된다. 그림 34에 나타난 오염물질 및 기상 특성을 종합할 때, 이 군집은 계절 변화기에 형성되는 중간적 오염 조합 패턴을 반영하는 군집으로 해석된다.

본 연구에서 적용한 UMAP 기반 군집 분석을 통해 다차원 대기오염물질과 기상 인자 간의 비선형적 관계를 효과적으로 저차원 공간에 반영함으로써, 여수 지역에서 나타나는 대표적인 오염물질 조합 패턴을 구분하였다. 이러한 군집화 결과는 단순 농도 수준의 차이를 넘어, 계절적·기상학적 배경에 따라 구분되는 오염 특성을 구조적으로 이해할 수 있는 기반을 제공하며, 기류 경로 분석 및 잠재 기여지역 분석에서 군집 간 차이를 비교·해석하기 위한 핵심적인 기준 단위로 활용되었다.

3. 3 HYSPLIT 기반 기류 경로 분석

여수 지역으로 유입되는 대기 기류의 대표적인 이동 경로를 파악하기 위해, HYSPLIT 역궤적(-48 h, 500 m)을 매일 00시 기준으로 UTC를 기준으로 산출한 뒤, UMAP-K-Means 군집 결과에 따라 분류하였다. NO2는 대기 중 수명이 짧고 반응성이 높은 물질로, 본 연구에서는 개별 배출원의 직접적인 위치를 역추적하기보다는 특정 오염 조건에서 반복적으로 나타나는 기류의 이동 경로와 수송 특성을 파악하고자 하였다. 이에 따라 각 군집을 가장 잘 대표하는 궤적(medoid trajectory)을 산정하여 군집별 기류 구조의 차이를 비교하였다(그림 7). 군집별 대표 궤적을 비교한 결과, Cluster 3은 서쪽 및 북서쪽 방향에서 여수로 유입되는 장거리 기류가 나타났으며, 중국 동부 및 황해 연안을 경유하는 대륙성 수송 경로와의 연관성이 확인되었다. 반면 Cluster 2는 남쪽 및 남동쪽 해역을 따라 유입되는 해양성 기류가 우세하여, 상대적으로 짧은 이동 경로와 해상 체류 비중이 큰 특성을 보였다. Cluster 0과 Cluster 1은 북서계열과 남동계열 기류가 혼재된 중간적 성격의 유입 경로를 보였으며, 계절 전환기 또는 종관 기압장 변화에 따른 복합적인 수송 특성을 반영하는 군집으로 해석될 수 있다.

Fig. 7.

Representative (medoid) HYSPLIT backward trajectories for each UMAP-K-Means cluster in Yeosu (-48 h, 500 m; 2020~2024).

UMAP 기반 군집별 대표 궤적 분석은 NO2 농도 수준을 특정 배출원으로 직접 연결하기보다는, 상이한 오염 조건에서 나타나는 기류의 수송 경로와 이동 특성을 체계적으로 구분하는 데 목적이 있으며, 이는 이후 제시되는 CWT 및 PSCF 분석에서 도출되는 잠재 기여 지역을 해석하기 위한 기류 구조적 배경을 제공한다. 여수 지역 NO2 농도 변동이 단일한 기류 조건이 아닌, 상이한 수송 경로(대륙성~해양성~혼합형)에 의해 조절되는 경향을 확인하였다.

3. 4 CWT 기반 기류 기여도 분석

여수 지역에서 관측된 NO2 농도 수준과 연관된 잠재 기여지역 및 기류 경로의 공간적 특성을 평가하기 위해, UMAP-K-Means 군집별로 CWT 분석을 수행하였다. CWT 값은 특정 격자를 통과한 공기 기류가 여수에 도달했을 때 관측된 NO2 농도를 체류시간으로 가중 평균한 값으로, 값이 높을수록 해당 지역이 NO2 장거리 수송의 잠재적 기여의 가능성이 크다는 것을 의미한다(그림 8). Cluster 0의 CWT 분포는 한반도 서해 중부와 중국 동부 연안(산둥~장쑤 일대)을 중심으로 비교적 넓은 영역에 걸쳐 중간 수준의 값을 보였다. 이는 Cluster 0이 특정 고농도 기여 지역에 의해 지배되기보다는, 서해를 경유하는 대륙성 기류와 한반도 인근 해역을 통과하는 기류가 혼합된 조건에서 형성되는 군집임을 시사한다. 3.2절에서 확인한 바와 같이, 이 군집은 입자상 물질(PM10, PM2.5)의 기여가 상대적으로 두드러진 특성을 보였으며, CWT 결과 역시 광역적 수송 영향이 누적된 배경 농도형 군집의 성격을 반영한다(그림 8a). Cluster 1에서는 중국 동부 연안과 서해 남부 해역, 그리고 한반도 서남부 연안을 따라 상대적으로 높은 CWT 값이 분포하였다. 이는 대륙 기원 장거리 수송과 함께, 한반도 인근 해역을 따라 유입되는 기류가 동시에 영향을 미치는 혼합형 수송 구조를 나타낸다. 이 군집은 O3 평균 농도가 약 0.048 ppm, NO2 평균 농도가 약 0.013 ppm으로 나타나(그림 3), 네 개 군집 중 NO2는 중간 수준, O3는 상대적으로 높은 수준을 보여, 광화학 반응이 상대적으로 활발한 기단과 장거리 수송이 결합된 조건에서 형성된 오염 패턴으로 해석될 수 있다. 일반적으로 광화학 반응이 활발하게 진행될 수 있는 조건(NO2≥0.01 ppm, O3≥0.04 ppm)에 해당한다(Sillman, 1999). 이러한 결과는 장거리 수송된 전구물질과 해상~연안 기류 조건이 결합된 상태에서 광화학적 오염 형성이 강화된 것으로 해석될 수 있다(그림 8b). Cluster 2의 CWT 분포는 전반적으로 낮은 값을 보이며, 특정 고기여 지역이 뚜렷하게 나타나지 않았다. 이 군집의 NO2 평균 농도는 약 0.009 ppm, O3 평균 농도는 약 0.031 ppm으로 네 개 군집 중 가장 낮거나 낮은 수준에 해당하였다(그림 3). 남동~남측 해상과 동중국해 일부 해역에서 제한적으로 중간 수준의 CWT 값이 관측되었으나, 이는 해양성 기류가 우세한 조건에서 오염물질이 효과적으로 희석·확산되면서 여수 도달 시 NO2 농도가 낮게 유지된 결과로 해석된다(그림 8c). Cluster 3에서는 한반도 서해안과 서해 중부, 중국 동부 내륙 및 연안을 따라 가장 높은 CWT 값이 집중적으로 분포하였다. 특히 중국 동부 연안에서 서해를 거쳐 여수로 유입되는 경로상에서 고기여 영역이 형성되었으며, 이는 이 군집의 NO2 평균 농도가 가장 높게 나타난 결과(0.0227±0.0067 ppm; 그림 3)와 일관된다(그림 8d). 특히 겨울철 동아시아 계절풍 구조와 연계된 북서계열 장거리 수송 경로가 고농도 군집과 결부되어 나타난 점은, 기존 연구에서 보고된 서해 및 중국 동부 기원 오염물질의 반복적 유입 특성과도 잘 부합한다(Jhun and Lee, 2004). 따라서, Cluster 3은 다른 군집에 비해 대륙 기원 장거리 수송의 영향을 상대적으로 크게 받는 고오염 군집으로 해석된다.

Fig. 8.

Cluster-specific concentration weighted trajectory (CWT) maps of NO₂ derived from 48-h backward trajectories at 500 m above ground level (00 UTC daily) for the four UMAP-K-Means clusters during 2020~2024: (a) Cluster 0, (b) Cluster 1, (c) Cluster 2, and (d) Cluster 3.

종합하면, 군집별 CWT 분석 결과는 UMAP 기반 오염물질 조합 군집이 서로 상이한 기류 수송 경로와 잠재 기여지역을 갖는다는 점을 보여준다. 특히 NO2 고농도 군집(Cluster 3)은 중국 동부~서해 경로를 통한 장거리 수송의 영향이 크게 나타난 반면, 저농도 군집(Cluster 2)은 해양성 기류에 의해 희석 효과가 우세한 조건에서 형성된 것으로 해석된다.

3. 5 PSCF(잠재 기여 함수) 분석 결과

CWT 결과에서 도출된 장거리 수송 경로가 실제 고농도 NO2 발생 조건에서도 반복적으로 나타나는지를 검증하기 위해 PSCF 분석을 추가로 수행하였다(그림 9). 군집별 PSCF 분석 결과, 전반적인 공간 분포는 CWT 결과와 유사한 경향을 보였으나, 고농도 NO2 자료에 대한 잠재 기여지역이 상대적으로 더 분명하게 나타났다. 특히 고오염형 군집인 Cluster 3에서는 서해~중국 동부 연안을 따라 높은 PSCF 값이 집중적으로 분포하여, 고농도 조건에서 대륙 기원 장거리 수송의 반복적 기여가 두드러짐을 확인할 수 있었다. 반면 저오염형 군집인 Cluster 2에서는 PSCF 값이 전반적으로 낮고 국지적으로 제한되어, 고농도 자료에서의 장거리 기여가 상대적으로 약한 것으로 나타났다. 이러한 PSCF 결과는 CWT 분석에서 확인된 군집별 기류 기여 경향과 전반적으로 일관되며, 고농도 NO2 자료에 한정된 공간적 특성을 추가적으로 보여준다.

Fig. 9.

Cluster-wise potential source contribution function (PSCF) distributions for NO₂ derived from 48-h backward trajectories at 500 m above ground level (00 UTC daily) based on the UMAP-K-Means classification during 2020~2024: (a) Cluster 0, (b) Cluster 1, (c) Cluster 2, and (d) Cluster 3.


4. 결 론

본 연구는 전라남도 여수시를 대상으로 2020~2024년의 중·장기 NO2 관측자료와 기상 자료를 통합하여, UMAP 기반 오염 패턴 분류와 기류 기반 기원 분석(HYSPLIT, CWT, PSCF)을 결합함으로써 여수 지역 NO2 농도의 공간적·시간적 변동 특성과 장거리 수송의 역할을 체계적으로 규명하였다. 본 연구를 통해 도출된 주요 결론은 다음과 같다.

  • • UMAP-K-Means 군집 분석 결과, 여수 지역의 NO2 오염 특성은 기상 조건과 결합된 네 가지 오염물질 조합 군집으로 구분되었다. 고오염형 군집(Cluster 3)의 평균 NO2 농도는 저오염형 군집(Cluster 2)에 비해 약 2.6배 높게 나타났다.
  • • 여수로 유입되는 기류는 계절에 따라 차이를 보였으며, 겨울~봄철의 북서 계열 장거리 기류와 여름철의 남동 해상 기류가 우세하였다. 이러한 기류 특성은 겨울~봄철의 상대적으로 높은 NO2 농도와 여름철의 낮은 농도 경향과 밀접하게 연관된다.
  • • PSCF 및 CWT 분석 결과, NO2 고농도 시 서해 중부 해역과 중국 동부 연안이 주요 잠재 기여 지역으로 반복적으로 나타났다. 이는 여수 지역의 NO2 농도가 국지적 배출뿐 아니라, 서해를 경유한 장거리 수송의 영향을 함께 받는 특성을 지님을 시사한다.

한편, 본 연구는 단일 도시(여수)와 5년간의 관측 자료를 대상으로 수행되었기 때문에, 장기적인 기후 변동이나 다른 해안 산업도시와의 직접적인 비교에는 한계가 있다. 향후 연구에서는 분석 기간과 대상 지역을 확대하고, 추가적인 대기질 및 기상 자료를 결합함으로써 NO2 고농도 발생 특성에 대한 보다 폭넓은 검토가 필요할 것으로 판단된다. 더 나아가, 본 연구에서 도출된 오염 특성 결과와 기류 기반 기원 특성은 향후 머신러닝/딥러닝 기반 대기질 예측 모델에서 설명 변수 또는 상태 구분 정보로 활용될 수 있으며, 고농도 발생의 사전 예측 및 관리 전략 수립에 기초 자료로 활용될 수 있을 것으로 기대된다.

Acknowledgments

본 논문은 2025년도 교육부 및 전라남도의 재원으로 전라남도 RISE센터의 지원을 받아 수행된 지역혁신중심 대학지원체계 (RISE)의 결과입니다 (2025-RISE-14-007). 또한 본 연구와 관련하여 (주)송림의 기술적 자문과 협조에 감사드립니다.

References

  • Albertin, S., Bekki, S., Michalski, G., Jackson, T., Simpson, W., Marelle, E. (2024) Unraveling urban NOx emission sources in polluted Arctic wintertime using NO2 nitrogen isotopes, Journal of Geophysical Research: Atmospheres, 129, e2024JD041842. [https://doi.org/10.1029/2024JD041842]
  • Beirle, S., Platt, U., Wenig, M., Wagner, T. (2011) Weekly cycle of NO2 by GOME measurements: A signature of anthropogenic sources, Atmospheric Chemistry and Physics, 11, 3553-3567. [https://doi.org/10.5194/acp-11-3553-2011]
  • Chen, Y.-C., Chou, C.C.-K., Lin, C.-Y., Lee, H.-M., Lin, C.-C., Hsiao, T.-C., Chang, S.-C., Chou, C. (2023) Evaluation of the nitrogen oxide emission inventory with TROPOMI observations, Atmospheric Environment, 298, 119639. [https://doi.org/10.1016/j.atmosenv.2023.119639]
  • Dang, A.T.N., Laughner, J.L., Travis, K.R., Shah, V., Zhai, S., Holmes, C.D., Jacob, D.J., Burrows, J.P. (2023) Background nitrogen dioxide (NO2) over the United States and its implications for satellite observations and trends: effects of nitrate photolysis, aircraft, and open fires, Atmospheric Chemistry and Physics, 23, 6271-6284. [https://doi.org/10.5194/acp-23-6271-2023]
  • Draxler, R.R., Hess, G.D. (1998) An overview of the HYSPLIT_4 modelling system for trajectories, dispersion, and deposition, Australian Meteorological Magazine, 47, 295-308. [https://doi.org/10.1071/ES98032]
  • Han, K.M., Lee, S., Lee, J., Kim, C.H., Song, C.H. (2011) A comparison study between model-predicted and OMI-retrieved tropospheric NO2 columns over the Korean peninsula, Atmospheric Environment, 45(17), 2962-2971. [https://doi.org/10.1016/j.atmosenv.2010.10.016]
  • Hopke, P.K. (2016) Review of receptor modeling methods for source apportionment, Journal of the Air & Waste Management Association, 66(3), 237-259. [https://doi.org/10.1080/10962247.2016.1140693]
  • Jeong, D., Choe, Y., Shin, J., Kim, E., Min, G., Kim, D., Cho, S. (2022) Risk assessment of indoor air quality and its association with subjective symptoms among office workers in Korea, International Journal of Environmental Research and Public Health, 19(4), 2446. [https://doi.org/10.3390/ijerph19042446]
  • Jhun, J.-G., Lee, E.-J. (2004) A new East Asian winter monsoon index and associated characteristics of the winter monsoon, Journal of Climate, 17(4), 711-726. [https://doi.org/10.1175/1520-0442(2004)017<0711:ANEAWM>2.0.CO;2]
  • Kim, H.-J. (2012) Regional monitoring site assessment based on air pollutant concentration and emission using spatial statistics, Journal of Korean Society of Environmental Engineers, 33(11), 803-813, (in Korean with English abstract). https://www.riss.kr/search/detail/DetailView.do?p_mat_type=be54d9b8bc7cdb09&control_no=875034ed9d3cda19ffe0bdc3ef48d419&outLink=K
  • Kim, H.-J., Lee, S.-M., Park, S.-M., Kim, J., Lee, Y. (2025) Modeling of secondary air pollutants in East Asia: recent trends and future challenges, Journal of Korean Society for Atmospheric Environment, 41(1), 1-25. [https://doi.org/10.5572/KOSAE.2025.41.3.403]
  • Kim, J., Hong, Y.-C., Kim, H.-S., Park, H., Jung, S.J., Kim, J. (2024) Association between short-term exposure to ambient air pollutants and biomarkers indicative of inflammation and oxidative stress: a cross-sectional study using KoGES-HEXA data, Environmental Health and Preventive Medicine, 29, 17. [https://doi.org/10.1265/ehpm.23-00199]
  • Korea Meteorological Administration (KMA) (2011) Changma White Book, Korea Meteorological Administration, Seoul, Korea, 300 pp. (in Korean). http://data.kma.go.kr/resources/contents/%5B2011%EB%85%84%5D%EC%9E%A5%EB%A7%88%EB%B0%B1%EC%84%9C.pdf
  • Kwon, H.-J., Cho, Y.-S. (2021) Dispersion of maritime air pollutants from harbor area into major port cities considering characteristics of local wind circulation in Korea, Sustainability, 13(18), 10456. [https://doi.org/10.3390/su131810456]
  • Li, H., Wang, Y., Zhang, Q., Li, J. (2020) Analysis of long-range transport pathways of particulate matter using HYSPLIT backward trajectories at 500 m, Atmosphere, 11(11), 1183. [https://doi.org/10.3390/atmos11111183]
  • Liu, F., Beirle, S., Joiner, J., Krotkov, N.A., Goldberg, D.L., de Foy, B., McLinden, C.A., Lamsal, L.N., Kharol, S.K., Fioletov, V. (2024) High-resolution mapping of nitrogen oxide emissions in large US cities from TROPOMI retrievals of tropospheric nitrogen dioxide columns, Atmospheric Chemistry and Physics, 24, 3717-3728. [https://doi.org/10.5194/acp-24-3717-2024]
  • McInnes, L., Healy, J., Melville, J. (2018) UMAP: Uniform Manifold Approximation and Projection for dimension reduction, arXiv preprint, arXiv:1802.03426, . [https://doi.org/10.21105/joss.00861]
  • Miller, S.T.K., Keim, B.D., Talbot, R.W., Mao, H. (2003) Sea breeze: structure, forecasting, and impacts, Reviews of Geophysics, 41(3), 1011. [https://doi.org/10.1029/2003RG000124]
  • National Institute of Environmental Research (NIER) (2013) Monitoring of exposure to environmental pollutants and health effects of inhabitants in industrial complexes (Gwangyang Bay), National Institute of Environmental Research, Incheon, Korea, 300 pp, (in Korean with English summary). [https://doi.org/10.23000/TRKO201700008339]
  • Oh, H.R., Park, J.H., Kim, M., Han, J., Bae, M.S., Han, J.S., Kim, Y.J., Kondo, Y. (2015) Long-range transport of air pollutants originating in China: A possible major cause of multi-day high-PM10 episodes during cold season in Seoul, Korea, Atmospheric Environment, 109, 23-30. [https://doi.org/10.1016/j.atmosenv.2015.03.005]
  • Park, R.S., Park, M.-S., Han, J.-S., Song, C.H., Lee, S.-B., Kim, Y. (2012) Characteristics of domestic air quality according to transport patterns of air pollutants in Northeast Asia, Journal of Korean Society for Atmospheric Environment, 28(6), 673-688, (in Korean with English abstract). [https://doi.org/10.5572/KOSAE.2012.28.2.142]
  • Park, S.-M., Kim, J., Kim, H.-J., Lee, S.-M., Lee, Y. (2022) Source apportionment of fine particulate matter using receptor models in residential areas of the Gwangyang Bay region, Journal of Korean Society for Atmospheric Environment, 38(6), 713-730, (in Korean with English abstract). [https://doi.org/10.5572/KOSAE.2022.38.6.713]
  • Park, S.-M., Kim, J., Kim, H.-J., Lee, S.-M., Lee, Y. (2024) Health risks from PM2.5 and heavy metals in residents of industrial complexes in Korea, Environmental Analysis Health and Toxicology, 39, e2024003. [https://doi.org/10.5620/eaht.2024003]
  • Park, S.-M., Kim, J., Kim, H.-J., Lee, S.-M., Lee, Y. (2025) Tropospheric nitrogen dioxide levels vary diurnally in Asian cities, Communications Earth & Environment, 6, 389. [https://doi.org/10.1038/s43247-025-02272-7]
  • Seinfeld, J.H., Pandis, S.N. (2016) Atmospheric Chemistry and Physics: From Air Pollution to Climate Change, 3rd ed., John Wiley & Sons, Hoboken, U.S.A., 1152 pp.
  • Seo, J.-W., Moon, Y.-S. (2001) Distribution of O3 concentration around Yosu area, Proceedings of the Korean Society for Atmospheric Environment, 2001 Conference, 123-126, (in Korean with English abstract).
  • Shah, V., Jacob, D.J., Li, K., Silvern, R.F., Zhai, S., Shen, L., Lu, X., Zhang, Q. (2020) Effect of changing NOx lifetime on the seasonality and long-term trends of satellite-observed tropospheric NO2 columns over China, Atmospheric Chemistry and Physics, 20, 1483-1495. [https://doi.org/10.5194/acp-20-1483-2020]
  • Sillman, S. (1999) The relation between ozone, NOx and hydrocarbons in urban and polluted rural environments, Atmospheric Environment, 33, 1821-1845. [https://doi.org/10.1016/S1352-2310(98)00345-8]
  • Stein, A.F., Draxler, R.R., Rolph, G.D., Stunder, B.J.B., Cohen, M.D., Ngan, F. (2015) NOAA’s HYSPLIT atmospheric transport and dispersion modeling system, Bulletin of the American Meteorological Society, 96(12), 2059-2077. [https://doi.org/10.1175/BAMS-D-14-00110.1]
  • Stewart, G.B., Paton-Walsh, C., Guerette, E.-A., Utembe, S., Fisher, J. (2024) New NOx and NO2 vehicle emission curves, and their implications for emissions inventories and air pollution modelling, Urban Climate, 57, 102103. [https://doi.org/10.1016/j.uclim.2024.102103]
  • World Health Organization (WHO) (2021) WHO global air quality guidelines: particulate matter (PM2.5 and PM10), ozone, nitrogen dioxide, sulfur dioxide and carbon monoxide, World Health Organization, Geneva, Switzerland, 267 pp. https://www.who.int/publications/i/item/9789240034228
  • Yoo, J.-M., Kim, H.-J., Lee, S.-M., Kim, J., Lee, Y. (2023) Application of a local-scale air quality recirculation index to high PM2.5 episodes in a coastal region, Journal of Korean Society for Atmospheric Environment, 39(4), 345-360, (in Korean with English abstract). [https://doi.org/10.5572/KOSAE.2023.39.4.345]
  • Yu, S., Jiang, Z., Li, M., Shen, L., Zheng, B., Wang, S., Zhang, Q. (2021) Evaluation of nitrogen oxide emission inventories and trends for on-road gasoline and diesel vehicles in the United States, Environmental Science & Technology, 55(14), 10053-10064. [https://doi.org/10.1021/acs.est.1c00586]
  • Zhang, Q., Jiang, X., Tong, D., Davis, S.J., Zhao, H., Geng, G., Feng, T., Zheng, B., Lu, Z., Streets, D.G., Ni, R., Brauer, M., van Donkelaar, A., Martin, R.V., Huo, H., Liu, Z., Pan, D., Kan, H., Yan, Y., Lin, J., He, K., Guan, D. (2017) Transboundary health impacts of transported global air pollution and international trade, Nature, 543, 705-709. [https://doi.org/10.1038/nature21712]
Authors Information

이상림 (전남대학교 환경시스템공학과 학사과정 학생) (dltkdfla0802@jnu.ac.kr)

정준영 (전남대학교 환경시스템공학과 석사과정 학생) (204639@jnu.ac.kr)

김채은 (전남대학교 환경시스템공학과 학사과정 학생) (chaeun0827-@jnu.ac.kr)

김수빈 (한국원자력연구원 선진처분기술개발부 박사후 연수생) (skim1@kaeri.re.kr)

장지이 (전남대학교 환경시스템공학과 조교수) (jiyi.jang@jnu.ac.kr)

Fig. 1.

Fig. 1.
(a) Daily mean NO2 concentration and 30-day moving average in Yeosu during 2020~2024. (b) Monthly count of high NO2 days defined as the top 10% (overall 90th percentile, threshold = 0.023 ppm), classified by season.

Fig. 2.

Fig. 2.
UMAP-based clustering of air pollutant patterns associated with NO2 variability. Data points are colored by cluster assignment: Cluster 0 (blue), Cluster 1 (orange), Cluster 2 (green), and Cluster 3 (red).

Fig. 3.

Fig. 3.
Boxplots of major air pollutant concentrations across UMAP-K-Means clusters in Yeosu from 2020 to 2024. Shown are PM2.5, PM10, SO2, O3, CO, and NO2 concentrations for each cluster (Clusters 0~3). The central line in each box indicates the median, boxes represent the interquartile range, and whiskers denote the data range.

Fig. 4.

Fig. 4.
Differences in mean NO₂ concentrations among UMAP-K-Means clusters in Yeosu from 2020 to 2024. Bars indicate cluster-wise mean NO₂ concentrations with error bars representing±1 standard deviation. Statistical differences were assessed using one-way ANOVA followed by Tukey’s HSD test, and asterisks(*) indicate significant differences at p<0.001.**

Fig. 5.

Fig. 5.
Boxplots of meteorological variables across UMAP-K-Means clusters in Yeosu from 2020 to 2024. Shown are solar radiation, air temperature, mean pressure, mean wind speed, cloud amount, minimum relative humidity (RH), maximum wind direction, maximum wind speed, maximum gust speed, and precipitation for each cluster (Clusters 0~3).

Fig. 6.

Fig. 6.
Seasonal occurrence characteristics of UMAP clusters.

Fig. 7.

Fig. 7.
Representative (medoid) HYSPLIT backward trajectories for each UMAP-K-Means cluster in Yeosu (-48 h, 500 m; 2020~2024).

Fig. 8.

Fig. 8.
Cluster-specific concentration weighted trajectory (CWT) maps of NO₂ derived from 48-h backward trajectories at 500 m above ground level (00 UTC daily) for the four UMAP-K-Means clusters during 2020~2024: (a) Cluster 0, (b) Cluster 1, (c) Cluster 2, and (d) Cluster 3.

Fig. 9.

Fig. 9.
Cluster-wise potential source contribution function (PSCF) distributions for NO₂ derived from 48-h backward trajectories at 500 m above ground level (00 UTC daily) based on the UMAP-K-Means classification during 2020~2024: (a) Cluster 0, (b) Cluster 1, (c) Cluster 2, and (d) Cluster 3.