
제련소 주변 대기오염물질 농도 특성 분석을 위한 타지역과의 비교 분석
Abstract
Abstract This study conducted time-series and correlation analyses using data from the urban air quality and atmospheric heavy metal monitoring networks near a smelter. The results showed that the mean monthly concentration of SO2 in the smelter-affected area during the entire period (May 2019~December 2024) was 0.0065 ppm, approximately 2.3 times higher than the national mean monthly average concentration (0.0028 ppm). Similarly, the concentrations of heavy metals such as Pb, As, and Cd were up to nine times higher in the vicinity of the smelter compared to the national average levels. Seasonal and spatial analyses across five sites(Site A, B, C, D, and E) revealed that PM10 and PM2.5 were highest in spring and winter, while NO2, SO2, and heavy metals(Pb and Cd) peaked in winter. Near the smelter, the seasonal variability of heavy metals was most pronounced, with Pb, Cd, and As concentrations 1.8~2.7 times higher in winter than in summer. Correlation analysis within the smelter region revealed a strong relationship between Pb and Cd(r2=0.81), suggesting a common emission source. In contrast, weak correlations between the smelter and reference sites (Site B, C, D, and E) indicate that the smelter area exhibits unique behavioral characteristics of heavy metals (Pb, Cd, and As) distinct from other regions. These findings imply that emissions from smelting processes play a dominant role in shaping local air quality and the distribution of heavy metals in the surrounding atmosphere.
Keywords:
Smelter emission, Heavy metals, Air quality, Seasonal variation, Correlation analysis1. 서 론
산업화로 인하여 다양한 대기오염물질의 배경농도가 높아지고 있으며, 이는 심각한 사회문제로 논의되고 있다. 특히 비철금속 제련 공정은 정광을 고온에서 처리하여 금속을 추출하는 과정에서 다양한 대기오염물질을 배출하며, 아연, 납, 구리 등의 금속을 생산하는 제련소에서는 공정 과정에서 황산가스 및 질소산화물과 같은 가스상 물질뿐 아니라 납, 비소, 카드뮴과 같은 중금속 입자상 물질이 함께 배출된다. 제련소 지역과 관련된 연구는 토양, 수질, 대기 그리고 인체영향 측면에서 다양하게 진행되고 있다.
제련소 인근 지역 거주민들을 대상으로 혈중 중금속 농도를 조사한 결과에 따르면, 제련소와의 거리가 가까운 지역에 거주하는 주민일수록 혈중 카드뮴 및 납의 농도가 높은 것으로 나타났다(Eom et al., 2017). 또한, 제련소 주변 지역 토양 오염 분석 결과, 제련소에서 3~4 km 이상 떨어진 지역에서도 토양의 As의 농도가 기준치를 초과하여 인근 지역의 생태계에 영향을 미칠 수 있음을 시사하였다(Kim et al., 2016a). 각 비교대상 지역 간 PM2.5 조성비를 비교한 결과, 제련소가 위치한 지역의 중금속 조성비가 비교대상 지역에 비해 높은 비율을 나타내는 것을 확인할 수 있었다(Hwang et al., 2023). 특히 제련소의 주요 공정인 배소공정 및 TSL 공정은 아연 정광을 산화시켜 황산을 제조하며, 각 공정에서 발생하는 다양한 부산물과 슬래그를 처리하는 과정에서 다량의 SO2 및 금속 휘발물이 발생할 수 있다(Kandalam et al., 2023; Jarosz et al., 2018). 게다가, 이러한 오염원으로부터 배출된 대기오염물질은 기상조건 등에 의해 희석되기도 하지만 장거리 이동을 통해 원거리 지역에까지 영향을 미칠 수 있다(Xu et al., 2021). 또한, 이러한 대기오염물질은 장기간 대기 중에 체류할 수 있으며, 인체 및 환경에도 극심한 영향을 줄 수 있으므로 주의 깊은 관리가 필요한 실정이다(Kim et al., 2016b).
이에 정부 및 지자체에서는 지속적인 모니터링, 통합 환경관리대책 수립 등 피해를 최소화하기 위해 다양한 노력을 시도하고 있으나, 제련소 주변 지역의 대기오염물질 농도는 여전히 높은 수준이며, 실질적인 개선 여부에 대해서는 끊임없이 의문이 제기되고 있다.
이에 따라, 본 연구에서는 도시대기측정망 및 대기중금속측정망 데이터를 기반으로 시계열분석 및 상관분석을 수행하여 제련소 주변 지역의 대기질 현황을 파악하고자 하였다. 또한, 주변 지역과의 비교분석을 통하여 제련소 지역 특유의 대기오염물질 분포 특성을 파악하여 앞으로의 연구 및 정책 수립에 기초자료로서 활용하고자 해당 연구를 수행하였다.
2. 연구 방법
2. 1 연구대상 지역 선정
본 연구에서는 제련소 주변 지역의 대기중금속 특성과 지역 간 중금속 농도의 상관성을 분석하기 위하여 다음과 같이 연구대상 지역을 선정하였다. 연구대상 지역은 제련소 주변 지역인 경상북도 봉화군 석포면(Site A)과의 비교를 위하여 각 지역적 특성을 반영하여 공업, 상업, 주거 지역으로 분류하였다. 이때, 이들 연구대상 지역은 도시대기측정망 및 대기중금속측정망의 위치가 서로 동일하거나, 두 측정망 간의 거리가 3 km 이내인 지역으로 선정하였다. 주거 지역으로는 경상북도 포항시 장량동(Site B), 공업 지역으로는 경상북도 구미시 4공단(Site C) 및 원주시 우산동(Site D), 상업 지역으로는 강원도 원주시 중앙동(Site D) 및 강원도 강릉시 옥천동(Site E)을 비교대상 지역으로 선정하였고 그림 1에 각 지역별 측정망의 위치를 나타내었다.
2. 2 자료 선정 및 분석
본 연구에서는 ‘에어코리아(AirKorea)’(https://www.airkorea.or.kr/web/) 사이트의 도시대기측정망에서 측정된 PM10, PM2.5, SO2, NO2 최종확정자료, 대기중금속측정망에서 측정된 12종 금속 성분(Pb, Cd, Cr, Cu, Mn, Fe, Ni, As, Be, Al, Ca, Mg) 자료를 활용하였다. 해당 연구에서 사용한 각 지역별 측정망의 상세한 위치 및 사용한 자료의 기간 등에 대한 정보를 표 1에 나타내었다.
도시대기측정망에서 확보한 자료의 경우, 에어코리아에서 제공하는 6년간(2019~2024) 최종확정자료를 활용하였다. 도시대기측정망에서 측정되는 항목에는 PM10, PM2.5, O3, CO, SO2, NO2 등이 있으며, 본 연구에서는 PM10, PM2.5, SO2, NO2의 월평균농도 자료를 분석에 사용하였다.
에어코리아 대기환경 월보 및 연보에서 제공하는 6년간(2019~2024) 데이터를 사용하였다. 석포면의 데이터가 유효한 시점인 2019년 10월을 본 연구의 자료 분석 시작 시점으로 설정하였으며, 총 12종 항목을 분석에 사용하였다.
2. 3 자료 분석 방법
입자상 물질(PM10, PM2.5) 및 가스상 물질(SO2, NO2) 농도의 장기적 변동 특성을 파악하기 위하여 도시대기측정망 및 대기중금속측정망 자료를 활용하였다. 분석대상 지역은 제련소가 위치한 석포면을 중심으로, 전국 평균 및 비교대상 지역(Site B, C, D, E)을 포함하였다. 자료는 각 측정망의 운영 일자와 결측 여부를 고려하여 2019년부터 2024년까지 6년간의 월평균 자료를 사용하였다. 먼저, 시계열분석을 통해 각 항목별 농도의 장기 추세 및 계절적 변동성을 파악하였다. 특히 석포면의 농도 변화를 중심으로, 동일 기간 동안 전국 평균과 비교대상 지역의 변동 경향을 비교함으로써 지역적 배경농도 대비 상대적 오염수준을 평가하였다.
석포면 및 각 지역별 주요 대기오염물질 간 상관관계를 분석하여 오염물질의 동시 발생 특성과 배출원 유사성을 검토하였다. 도시대기측정망 및 대기중금속측정망의 2019년부터 2024년까지 6년간 측정된 농도 자료를 활용하여 결정계수(r2)를 산정하였다. 기존 연구에서 r2 값이 0.6 이상의 범위일 때 모델의 신뢰성이 높다고 판단하였으며, 이를 바탕으로 0.6≤r2≤1을 의미한 상관관계, r2<0.6을 낮은 상관관계로 구분하여 본 연구에 적용하였다(Zhang et al., 2022).
3. 결과 및 고찰
3. 1 대기오염물질 농도
그림 2는 2019년부터 2024년까지 6년간 전국의 대기오염물질 월평균농도를 나타내고 있다. 대기환경기준에 따르면 PM10, PM2.5, SO2 및 NO2의 대기환경기준은 각각 연간평균치 50 µg/m3, 15 µg/m3, 0.02 ppm, 0.03 ppm으로 규정하고 있으며, 연평균 기준으로 보았을 때, PM2.5는 모든 연도에 걸쳐서 대기환경기준을 초과하는 것을 확인할 수 있었다. 전국 월평균농도 자료를 Site A의 월평균농도 자료와 비교하였을 때, Site A의 PM10, PM2.5, NO2 농도는 전국 평균보다 상대적으로 낮은 것을 알 수 있다. 이는 Site A의 지형 특성상 산으로 둘러싸인 지형으로, 일부 대기오염물질이 지형에 의해 차단되거나 다른 방향으로 확산될 가능성이 있으며, 매우 적은 교통량이 영향을 미친 것으로 판단된다. 반면, Site A의 SO2 농도는 대기환경기준인 0.02 ppm에 훨씬 못 미치는 수준이나, 전체 기간(May 2019~December 2024)에 대하여 월평균농도의 전체 평균값이 0.0065 ppm으로, 전국의 월평균농도 전체 평균값이 0.0028 ppm인 것과 비교하면 약 2.3배 높은 수치이다. 특히 겨울에 높은 농도를 기록하는 것으로 보았을 때, 화석연료 연소 및 주변 제련소의 공장생산율과 연관이 있을 것으로 보인다.
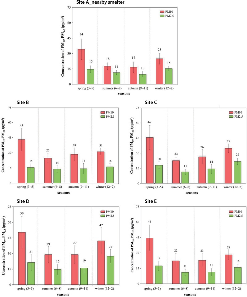
대기오염물질 농도는 계절별로 발생원인과 특성 및 기상조건의 영향이 상이하여, 지역별·계절별 농도 변화 특성을 구체적으로 분석하여 제련소 주변 지역의 환경영향을 면밀히 분석하였다. 특히 PM10, PM2.5 등의 입자상 물질은 봄철 황사와 겨울철 연료 연소에 따른 배출 증가로 계절적 편차가 뚜렷하며, NO2, SO2 역시 산업활동 및 난방 사용 등의 계절적 조건에 따라 큰 차이를 보인다(Meng et al., 2018; Wang et al., 2015). 그림 3에 따르면, 모든 지역에서 PM10의 농도는 공통적으로 봄철에 크게 나타났다. 그중 Site A는 봄철 PM10 농도가 34 µg/m3로 5개 지역 중 가장 낮았으며, 겨울철에도 25 µg/m3로 비교적 낮은 값을 보인다. 특히 Site D의 봄철, 겨울철 농도가 각각 50 µg/m3, 42 µg/m3로, Site A에 비해 약 32%, 40% 높은 수준이다. Site A의 PM2.5 농도는 각 계절별 평균 10~15 µg/m3의 범위에서 유지되고 있으며, 타지역과 비교 시 많게는 34%, 적게는 12%까지 적은 농도를 기록하였으며, 전체 지역과 비교 시 PM10과 유사하게 낮은 수준을 보인다.
Seasonal variations of PM10 and PM2.5 concentrations between Site A and comparison Sites(Site B, C, D, and E).
모든 지역에서 NO2의 농도는 겨울철에 최고치를 기록했으며, 겨울철의 각 지역별 NO2 농도는 Site A에서 0.0092 ppm, Site B에서 0.0118 ppm, Site C에서 0.0140 ppm, Site D에서 0.0251 ppm, Site E에서 0.0141 ppm으로 Site A의 농도는 각 비교대상 지역에 비해 22~63%까지 낮게 분포되어 있다(그림 4). 이는 Site A가 산간 지역으로 다른 비교대상 지역(Site B, C, D, E)에 비해 도시화 정도 및 교통량이 상대적으로 낮기 때문인 것으로 추정된다(Yim et al., 2008).
Seasonal variations of SO2 and NO2 concentrations between Site A and comparison Sites(Site B, C, D, and E).
예외적으로 주목할 만한 점은, Site A의 SO2의 농도가 비교대상 지역에 비해 높은 농도를 보인다는 것이다. Site A의 연중 SO2 농도는 봄철 0.0069 ppm, 여름철 0.0040 ppm, 가을철 0.0051 ppm, 겨울철 0.0106 ppm으로, 겨울철에 가장 높은 농도를 기록하였다. 비교대상 지역(Site B, C, D, E)에서 연중 SO2 농도는 0.0018~0.0042 ppm 범위에서 유지되며, 겨울철 SO2 농도 비교 시, Site A의 SO2 농도는 비교대상 지역 중 최고농도를 기록한 Site D (0.0042 ppm)에 비해 2.5배, 최저농도를 기록한 Site C (0.0021 ppm)의 약 5배에 해당한다. 이러한 이유는 Site A의 측정소와 1.1 km 떨어진 제련소의 주요 공정 중 하나가 황산제조공정임을 감안하면, 해당 사업장의 공정 과정에서 배출되는 SO2가 주변 대기에 직접적인 영향을 미칠 수 있을 것으로 판단된다.
지역별·시기별 대기오염물질 농도 변화가 서로 어떠한 관련성을 가지고 있는지를 확인하고자 각 오염물질이 갖는 환경적 특성, 주요 확산 및 배출 특성을 파악하기 위하여 상관분석을 실시하였다(그림 5). 주요 결과로는 Site A와 비교대상 지역 간 PM10 월평균농도의 r2 값이 Site A-B 0.7523, Site A-C 0.8649, Site A-D 0.7149, Site A-E 0.8277로, 대부분 0.75 이상의 값을 나타내며, 두드러진 상관성이 확인된다. 이는 대한민국의 전체 대기질이 대륙 간 이동에 큰 영향을 받으며, 미세먼지 농도가 기상조건과의 매우 밀접한 연관성을 띠기 때문에 발생한 환경요인의 유사한 작용이 원인으로 추정된다(Lee et al., 2022; Oh et al., 2022). 반면 NO2, SO2는 대부분의 경우에 0.5 미만 혹은 0에 가까운 값을 나타내 상관성이 떨어지는 것을 확인할 수 있었다. 이는 Site A와 비교대상 지역 간의 배출원 차이가 반영된 결과라는 것을 유추할 수 있다.
3. 2 중금속 농도 변화
그림 6은 대기중금속측정망을 이용한 Site A와 전국의 12종 중금속(Ca, Fe, Al, Mg, Pb, Mn, Cu, As, Cd, Cr, Ni, Be)의 월평균농도 변화를 비교한 결과이다. Ca, Fe, Al, Mg 등이 반복적으로 높은 농도를 기록했으며 주요 증가 시점은 봄철(3~5월)에 집중되었다. 이는 도시대기측정망 PM 농도가 봄철 황사 영향으로 급증하는 현상과 일치하며, 광물성 입자가 황사를 통해 대기로 유입될 때 고농도를 기록하는 것으로 추정된다(Lee and Hieu, 2011). 2023년 4월에 위 물질들의 전국 월평균농도(Ca 0.57 µg/m3, Fe 0.76 µg/m3, Al 0.39 µg/m3, Mg 0.20 µg/m3)는 일시적으로 급격히 증가한 농도가 관측되었으며, 같은 시기 Site A의 평균농도의 최고치(Ca 1.88 µg/m3, Fe 2.02 µg/m3, Al 1.71 µg/m3, Mg 0.83 µg/m3)와 비교 시에 평균적으로 약 3~4배의 차이를 보인다. 중금속 농도는 교통량 등 다양한 변수에 의하여 달라질 수 있으나, 지역 특성을 고려하여 제련소의 생산량 및 가동시간 등의 자료를 고려하여 종합적인 판단을 해야 할 것으로 사료된다(Seong and Lee, 2024).
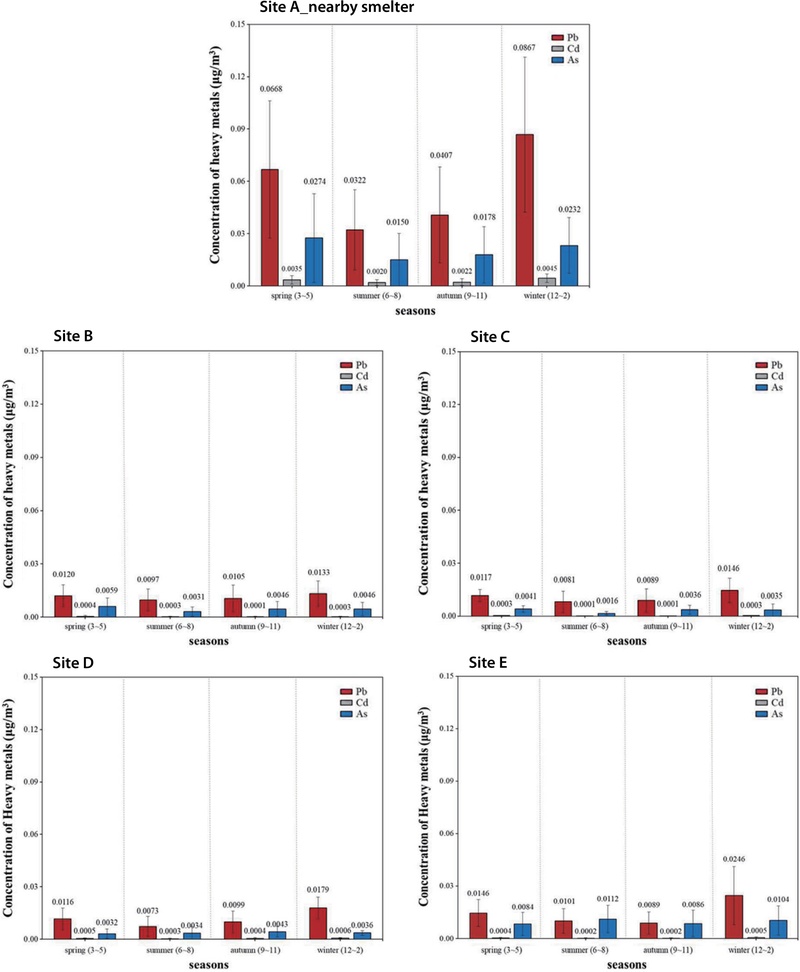
제련소 공정 과정에서 주요하게 배출되는 해당 3가지 물질(Pb, As, Cd)을 전국, Site A, 비교대상 지역(Site B, C, D, E)으로 분류하고, 연도별 농도 평균을 그림 7에 나타내어 변화 추이를 관찰하였다. Pb, As, Cd 순으로 전체적인 농도 범위를 비교하면 Site A에서 0.034~0.105 µg/m3, 0.010~0.034 µg/m3, 0.002~0.005 µg/m3이고, 전국 평균 0.016~0.023 µg/m3, 0.004~0.008 µg/m3, 0.0007~0.0011 µg/m3이며, 비교대상 지역(Site B, C, D, E) 평균 0.010~0.015 µg/m3, 0.002~0.008 µg/m3, 0.0002~0.0009 µg/m3이다. 각 대상 지역별 전체적인 농도 수준을 비교하기 위하여 6년간 평균농도를 보았으며, Pb는 Site A에서 0.0621 µg/m3, 전국 평균 0.0194 µg/m3, 비교대상 지역 평균 0.0126 µg/m3로, 전국 평균과 비교대상 지역 평균농도를 Site A와 비교 시 각각 31%, 26% 수준이다. 마찬가지로 As와 Cd의 6년간 평균농도를 각각 비교하였을 때, 전국 평균 26%, 25%이며, 비교대상 지역 평균 26%, 11% 수준을 유지하여, Site A에서 압도적으로 높은 중금속 농도를 보이는 것을 확인할 수 있었다. 특히 Site A의 Cd 농도에서 비교대상 지역 대비 약 9배의 큰 농도 차이를 보이는데, 이는 제련소 배출의 직접적인 영향을 시사하며, 2024년도에 나타난 Site A 내 Pb, Cd 농도의 최저점은 해당 사업장의 배출저감 대책 및 생산량과의 연관성이 있을 것으로 판단된다. 또한 Site A의 As의 경우, 전국 및 비교대상 지역과 달리 연도별 변화가 매우 크며 특정한 경향성이 나오지 않는다. 이는 As, Pb, Cd가 동일한 제련소에서 나오는 배출물질임을 가정할 때 As는 입자상으로 존재하는 Pb, Cd와 달리 SO2와 함께 기체상 산화물로 배출되기 때문에 풍향이나 공정가동률에 따른 급변동을 보인 것으로 판단된다(Millán-Martínez et al., 2021).
전체 조사 기간의 배출 및 확산 특성에 더하여, 황사, 난방 등의 기상 및 환경적인 요인에 의한 계절별로 달라지는 중금속 변화 패턴을 파악하기 위하여 계절별, 지역별 농도를 그림 8에 나타내었다. 전체 비교대상 지역 중 Site A의 계절적 변동성이 가장 뚜렷하게 나타났으며, Pb와 Cd의 경우 각 농도는 0.0867 µg/m3, 0.0045 µg/m3로 겨울철에, As의 경우 봄철에 0.0274 µg/m3로 최고농도를 기록하였다. Pb, Cd, As 각각 최저농도를 기록한 여름에 비해 2.69배, 2.25배, 1.83배 높은 수준이다. 각 물질별 최고농도를 기록한 시점이 다른 것은 배출원이 각기 다른 공정에서 형성되어 있는 것으로 판단되며, 이는 상관성 분석에서 확인하였다. 또한, 비교대상 지역(Site B, C, D, E) 모두 대체로 겨울철에 농도가 높게 형성되어 있으나, 농도 변동 폭이 Site A에 비해 매우 적어 계절별 농도 차이가 확연히 드러나는 것으로 보기는 어려울 것으로 판단된다.
그림 9에서 대기중금속측정망의 12종 중금속(Pb, Cd, Cr, Cu, Mn, Fe, Ni, As, Be, Al, Ca, Mg)에 대해 Site A 내 상호 상관성을 분석하여 제련소 배출원의 동일성을 검증하고자 하였다. 분석 결과, 결정계수는 Ca-Fe, Ca-Al, Ca-Mg, Fe-Al, Fe-Mg, Al-Mg 항목 간에 0.75~0.96의 범위로 나타나며, 강한 상관성을 보였다. 이는 황사 및 토양기원 미세입자의 영향을 받는 지각 성분들이 계절적 요인 및 기상조건 등 동일한 환경 요인의 지배를 받을 수 있음을 의미한다(Zhao et al., 2022; Kang et al., 2009). Site A의 Pb, As, Cd에 대한 결정계수는 각각 Pb-Cd 0.8100, Pb-As 0.1101, As-Cd 0.0981이며, Pb와 Cd 간에 강한 상관성을 띠는 것으로 관측된다. 이는 Site A에서 Pb와 Cd가 제련소 주요 공정 및 배출활동에서 동일한 움직임을 보이는 것으로 판단할 수 있다. 또한, 지역 간 중금속 농도의 동조성 혹은 독립성을 정량적으로 평가하기 위하여, Site A와 비교대상 지역(Site B, C, D, E) 간의 Pb, As, Cd 농도 변동에 대한 상관분석을 실시한 결과를 그림 10에 나타내었다. 전체 항목의 결정계수 값이 0.3 이하로, 모든 비교대상 지역에서 Site A와의 중금속 농도 상관성이 매우 낮은 것으로 나타났다. 이는 Site A의 중금속 농도 변동이 타지역과 독립적으로 발생함을 의미하며, 제련소 지역 고유의 배출원이 농도 변화에 지배적인 영향을 끼치고 있음을 시사한다.
4. 결 론
본 연구에서는 제련소 지역의 대기오염물질 농도 특성을 분석하기 위하여 2019년부터 2024년까지 6년간 지역별 도시대기측정망의 대기오염물질 (PM10, PM2.5, SO2, NO2) 및 대기중금속측정망의 중금속(Pb, Cd, Cr, Cu, Mn, Fe, Ni, As, Be, Al, Ca, Mg) 농도 자료를 비교하였다. 이를 위하여 제련소 지역의 입자상·가스상 오염물질 및 중금속 현황, 상관성, 배출특성 및 지역 간 상관성 등을 종합적으로 분석하였다. 본 연구의 결과에 따르면, SO2, Pb, As, Cd 등 제련 과정에서 주로 발생하는 대기오염물질의 농도가 제련소 주변 지역에서 타지역 대비 매우 높은 농도를 기록하였으며, 계절별 증감 추이의 유사성을 확인하였다. 특히 대기 중 잔류성이 높으며, 미량으로 인체에 유해한 영향을 끼치는 Pb, As, Cd의 경우에는 제련소 주변 지역 내 상관성이 높은 것으로 확인되어, 해당 중금속 간의 배출원이 동일할 것으로 추정된다. 또한 동일 항목(Pb, As, Cd)에 대하여, 제련소 주변 지역과 비교대상 지역 간의 상관성 분석을 통하여, 제련소 지역만의 중금속 거동 특성이 있을 것으로 추정하였다. 2024년 해당 제련소 주변 지역의 대기 중 Pb, As 그리고 Cd의 농도는 감소하였으나, 여전히 타지역에 비하여 높은 수준이다. 따라서 주변 지역 주민들의 건강 악화를 방지하기 위하여 오염물질 모니터링 및 저감대책 수립, 배출원에 대한 정밀한 분석을 통한 세부 저감방안 마련 등의 노력이 절실히 요구된다.
Acknowledgments
이 논문은 2025학년도 국립부경대학교의 글로벌 공동연구 지원을 받아 수행된 연구임(202507080001).
References
-
Eom, S.-Y., Yim, D.-H., Moon, S.-I., Ochirpurev, B., Choi, Y.-S., Park, C.-H., Kim, G.-B., Yu, S.-D., Choi, B.-S., Park, J.-D., Kim, Y.-D., Kim, H. (2017) The Association of Blood Concentrations of Healvy Metals and Blood Pressure in Residents Living Near Janghang Copper Smelter in Korea, Journal of Agricultural Medicine and Community Health, 42, 13-23, (in Korean with English abstract).
[https://doi.org/10.5393/JAMCH.2017.42.1.013]
-
Hwang, K., Park, S., Lee, G., Noh, S., Kim, J., Lee, J.Y., Park, J.S., Kim, J.B. (2023) Analysis of Chemical Characteristics of PM2.5 by Region in Chungnam, Journal of Korean Society for Atmospheric Environment, 39, 1007-1021, (in Korean with English abstract).
[https://doi.org/10.5572/KOSAE.2023.39.6.1007]
-
Jarosz, P., Kusiak, J., Małecki, S., Morkisz, P., Oprocha, P., Pietrucha, W., Sztangret, Ł. (2018) An attempt of optimization of zinc production line, Archives of Civil and Mechanical Engineering, 18, 1116-1122.
[https://doi.org/10.1016/j.acme.2018.02.011]
-
Kandalam, A., Reuter, M.A., Stelter, M., Reinmöller, M., Gräbner, M., Richter, A., Charitos, A. (2023) A Review of Top-Submerged Lance (TSL) Processing - Part I: Plant and Reactor Engineering, Metals(Basel), 13(10), 1728.
[https://doi.org/10.3390/met13101728]
-
Kang, C.H., Kim, W.H., Ko, H.J., Hong, S.B.(2009) Asian dust effects on Total Suspended Particulate (TSP) compositions at Gosan in Jeju Island, Korea, Atmospheric Research, 94, 345-355.
[https://doi.org/10.1016/j.atmosres.2009.06.013]
- Kim, E.J., Yoo, J.-C., Park, S.-M., Park, E.-R., Baek, K. (2016a) Distribution of Arsenic and Heavy Metals in Soil Particle Sizes in the Areas Affected by the Former Smelter, Journal of the Korean Society for Environmental Analysis, 19, 42-62, (in Korean with English abstract).
-
Kim, Y.D., Eom, S.Y., Yim, D.H., Kim, I.S., Won, H.K., Park, C.H., Kim, G.B., Yu, S.D., Choi, B.S., Park, J.D., Kim, H. (2016b) Environmental exposure to arsenic, lead, and cadmium in people living near Janghang Copper smelter in Korea, Journal of Korean Medical Science, 31, 489-496.
[https://doi.org/10.3346/jkms.2016.31.4.489]
-
Lee, B.K., Hieu, N.T. (2011) Seasonal Variation and Sources of Heavy Metals in Atmospheric Aerosols in a Residential Area of Ulsan, Korea, Aerosol and Air Quality Research, 11, 679-688.
[https://doi.org/10.4209/aaqr.2010.10.0089]
-
Lee, D., Kim, H.C., Jeong, J.H., Kim, B.M., Lee, D.G., Choi, J.Y., Song, M.Y., Yoon, J.H. (2022) Relationship Between Synoptic Weather Pattern and Surface Particulate Matter (PM) Concentration During Winter and Spring Seasons Over South Korea, Journal of Geophysical Research: Atmospheres, 127, 1-15.
[https://doi.org/10.1029/2022JD037517]
-
Meng, K., Xu, X., Cheng, X., Xu, X., Qu, X., Zhu, W., Ma, C., Yang, Y., Zhao, Y. (2018) Spatio-temporal variations in SO2 and NO2 emissions caused by heating over the Beijing-Tianjin-Hebei Region constrained by an adaptive nudging method with OMI data, Science of The Total Environment, 642, 543-552.
[https://doi.org/10.1016/j.scitotenv.2018.06.021]
-
Millán-Martínez, M., Sánchez-Rodas, D., Sánchez de la Campa, A.M., Alastuey, A., Querol, X., de la Rosa, J.D. (2021) Source contribution and origin of PM10 and arsenic in a complex industrial region (Huelva, SW Spain), Environmental Pollution, 274, 116268.
[https://doi.org/10.1016/j.envpol.2020.116268]
-
Oh, Y.-H., Son, Y.-S., Choi, I.-Y., Dinh, T.-V., Jung, S., Kim, J.-C. (2022) Removal of particulate matter in a subway platform using hybrid filter systems, Journal of Odor and Indoor Environment, 21, 215-224, (in Korean with English abstract).
[https://doi.org/10.15250/joie.2022.21.3.215]
-
Seong, M., Lee, S. (2024) Analysis of the Correlation Between Heavy Metal Concentrations and Gaseous Pollutants in the Ambient Air of Cheongju, Journal of Industrial Science and Technology Institute, 38, 7-14, (in Korean with English abstract).
[https://doi.org/10.54726/JISTI.38.2.2]
-
Wang, Y.Q., Zhang, X.Y., Sun, J.Y., Zhang, X.C., Che, H.Z., Li, Y. (2015) Spatial and temporal variations of the concentrations of PM10, PM2.5 and PM1 in China, Atmospheric Chemistry and Physics, 15, 13585-13598.
[https://doi.org/10.5194/acp-15-13585-2015]
-
Xu, L., Liu, X., Gao, H., Yao, X., Zhang, D., Bi, L., Liu, L., Zhang, J., Zhang, Y., Wang, Y., Yuan, Q., Li, W. (2021) Long-range transport of anthropogenic air pollutants into the marine air: insight into fine particle transport and chloride depletion on sea salts, Atmospheric Chemistry and Physics, 21, 17715-17726.
[https://doi.org/10.5194/acp-21-17715-2021]
-
Yim, B.-B., Kim, S.-T., Yang, H.-M. (2008) Nitrogen Dioxide Measurement with Diffusive Passive Samplers at the Curbside Points in Daejeon, Journal of Korean Society for Atmospheric Environment, 24, 143-152, (in Korean with English abstract).
[https://doi.org/10.5572/KOSAE.2008.24.2.143]
-
Zhang, H., Zhao, Z., Cai, A., Liu, B., Wang, X., Li, R., Wang, Q., Zhao, H. (2022) Source Apportionment of Heavy Metals in Wet Deposition in a Typical Industry City Based on Multiple Models, Atmosphere, 13(10), 1716.
[https://doi.org/10.3390/atmos13101716]
-
Zhao, X., Xu, Z., Li, P., Dong, Z., Fu, P., Liu, C.Q., Pavuluri, C.M.(2022) Characteristics and seasonality of trace elements in fine aerosols from Tianjin, North China during 2018-2019, Environmental Advances, 9, 100263.
[https://doi.org/10.1016/j.envadv.2022.100263]
정민찬 (국립부경대학교 지구환경시스템과학부 석사과정) (chana9900@naver.com)
오용환 (국립부경대학교 지구환경시스템과학부 박사과정) (gloryforest@naver.com)
서서희 (국립부경대학교 환경연구소 연구원) (seoseoheee@naver.com)
천소현 (국립부경대학교 지구환경시스템과학부 학사과정) (sohyeoncheon@gmail.com)
최인영 (Department of Environmental Health, Harvard T.H. Chan School of Public Health 박사후연구원) (ichoi@hsph.harvard.edu)
손윤석 (국립부경대학교 지구환경시스템과학부 교수) (sonys@pknu.ac.kr)









