
벼 재배 메탄 배출량의 지역별 차이를 반영한 상향식 산정 방법론: 2020 농림어업총조사 기반
Abstract
Rice cultivation is the largest source of greenhouse gas emissions in the agricultural sector. Methane (CH4) emissions from rice paddies vary depending on cultivation practices such as water management and the use of organic amendments. To account for regional differences in these practices, this study applied the 2019 IPCC guidelines to estimate methane emissions from rice cultivation across the nations, covering every paddy field in each administrative districts in South Korea. Emission factors were calculated at the household level by incorporating variations in water management and organic amendment practices, and then aggregated by administrative district. The total national methane emissions from rice cultivation in 2020 were estimated at 244,911 tons of CH4, showing a consistency of 89.3%. A Monte Carlo simulation reflecting parameter uncertainties yielded a relative uncertainty of 61.6%. This bottom-up approach captures regional variations in cultivation management and complements the current national inventory methodology by providing a framework to enhance estimation accuracy and support region-specific methane mitigation strategies.
Keywords:
Rice cultivation, Methane emission, Bottom-up approach, Greenhouse gas inventory1. 서 론
메탄(CH4)은 이산화탄소(CO2)에 이어 지구온난화에 크게 기여하는 대표적 온실가스로, 100년 동안의 대기 중 체류 및 복사 효과를 고려했을 때 이산화탄소 대비 약 28배 높은 지구온난화지수 (Global Warming Potential, GWP)를 가진다(IPCC, 2021). 메탄의 대기 체류시간은 약 10년에 불과하여 비교적 짧음에도 불구하고, 강한 복사강제력(radiative forcing)을 통해 이산화탄소 대비 단기간에 기후변화에 미치는 영향은 매우 크다(Mar et al., 2022). 2017년 기준 전 세계 농업 부문에서 배출되는 메탄은 약 198~232 Tg CH4 yr-1로, 전체 메탄 배출량의 22~39%를 차지하는 것으로 보고되었다(Jackson et al., 2020). 그중에서도 논벼 재배로부터 배출되는 메탄은 24~40 Tg CH4 yr-1로 추정되며(Jackson et al., 2020; Saunois et al., 2020), 농업 메탄의 주요 기여원으로 자리하고 있다.
벼 재배에서 메탄은 담수 조건에서 형성되는 혐기성 환경에서 주로 발생하며, 메탄 생성균(methanogens)의 활성 정도, 대체 전자수용체의 고갈 여부, 그리고 관리활동에 따라 배출량이 크게 달라진다(Rahaman et al., 2025). 또한 메탄 배출은 공간적·시간적 변동성이 크며, 생육 시기별로 특정 시점에 집중되는 경향을 보인다(Zheng et al., 2024; Qian et al., 2023). 분얼기와 출수기 등 생육 후반기에 배출량이 급증한다는 사실은 다수의 연구에서 확인된 바 있다(Deepagoda et al., 2024; Qian et al., 2023; Zhu et al., 2023). 배출량의 크기와 패턴은 물 관리 방식(상시담수, 중간물떼기, 천수답), 유기물 시용의 종류와 양(퇴비, 볏짚, 녹비 등), 토양 유형, 기후 조건, 품종 특성 등 다양한 요인들의 상호작용에 의해 결정된다(IPCC, 2019; Yuan et al., 2014; Ali et al., 2014; Yagi and Minami, 1990).
한국은 쌀이 주식으로 자리 잡은 대표적인 벼 재배 국가로, 농업 메탄 배출에서 벼 재배의 비중이 매우 크다. 2022년 기준 한국의 메탄 총배출량은 35,150 Gg CO2 yr-1로 보고되었으며, 이 중 농업 부문은 17,365 Gg CO2 yr-1로 전체의 약 절반을 차지하였다(GIR, 2022). 특히 논벼 재배는 7,112 Gg CO2 yr-1을 배출하여 농업 메탄의 30.1%, 국가 전체 메탄 배출의 20.2%를 차지하는 것으로 나타났다(GIR, 2024; GIR, 2022). 이는 한국에서 벼 재배가 국가 온실가스 인벤토리에서 핵심적인 배출원임을 의미하며, 정확한 산정과 관리가 국가 온실가스 감축목표(NDC) 달성과 국제 보고 의무 이행을 위해 필수적임을 나타낸다. 한국은 2011년부터 국가 온실가스 인벤토리를 구축해왔으며, 2023년부터는 「2006 IPCC 가이드라인」을 전면적으로 적용하여 배출량을 산정하고 있다(GIR, 2022). IPCC 지침에 따르면 자국 고유 조건을 반영한 배출계수는 Tier 2 접근으로 분류되며, 장기간의 직접 관측자료와 모형을 활용하는 고도화된 산정은 Tier 3에 해당한다(IPCC, 2019; Choi and Lee, 2018). 현재 한국의 벼 재배 메탄 배출량 산정은 Tier 2 수준에 머물러 있으며, 이는 제한된 지역과 품종에서 수행된 단기 실험 결과를 기반으로 개발된 기본 배출계수를 전국에 일률적으로 적용하는 방식이다. 또한 국가 통계에서는 전국 논벼 면적을 영농관리 관행별 비율로 분할한 뒤 단일 배출계수와 보정계수를 곱하는 방식으로 총 배출량을 산출하고 있다. 이러한 방식은 단순성과 일관성을 확보할 수 있다는 장점이 있으나, 지역별 영농관리 차이를 충분히 반영하지 못하는 구조적 한계를 갖는다.
실제로 한국 내에서는 지역별로 중간물떼기의 빈도, 이앙 전 장기간 담수 여부, 볏짚 환원 비율, 퇴비 및 녹비 시용 비율 등 관리활동의 편차가 크다. 이러한 차이는 단위면적당 배출량와 총 배출량의 공간적 변화를 설명하는 주요 요인이지만, Tier 2 방식에서는 평균화되어 표현되지 않는다. 따라서 일부 대규모 재배 지역은 총 배출량 측면에서 주요 배출원으로 나타나지만, 소규모 재배 지역에서도 특정 관리활동이 집중된 경우 단위면적당 배출량이 높아질 수 있다. 그러나 현행 산정 방식은 이러한 변동성을 반영하지 못해, 정책적 개입이 필요한 지역과 관리활동을 구체적으로 제시하는 데 한계가 있다.
이러한 배경에서 가구 단위 또는 세부 공간 단위를 기반으로 한 상향식(bottom-up) 접근 방식의 필요성이 높아지고 있다. 상향식 접근은 개별 농가의 관리활동 정보를 직접 반영해 배출계수를 산정하고, 이를 행정구역 단위로 집계하여 지역별·국가별 배출량을 도출하는 방식이다. 이는 지역 간 배출 특성과 관리활동 차이를 정량적으로 반영할 수 있어, 국가 온실가스 인벤토리의 정밀도를 높이는 동시에 정책적 우선순위를 설정하는 데 중요한 기초자료가 될 수 있다. 또한 IPCC 지침에서도 단일 배출계수 적용보다는 관리활동, 토양, 품종 조건에 따른 하위 단위(sub-units)별 산정을 권고하고 있어, 상향식 접근은 국제지침과도 부합한다. 본 연구는 이러한 필요성에 따라, 2020년 농림어업총조사 마이크로데이터를 활용해 가구 단위에서 벼 재배 메탄 배출량을 산정하고, 이를 시도 단위로 집계하는 상향식 방법론을 적용하였다. 농림어업총조사는 전국 모든 농가를 대상으로 영농 활동을 전수 조사한 자료로써, 기존의 국가 온실가스 인벤토리에서 준용하는 주요 활동자료인 표본 기반 농업어업조사와 달리 각 가구의 관리활동 정보를 상세히 포함하고 있다. 본 연구에서는 논벼 재배 여부, 재배면적, 성장기 및 모내기 전 물관리, 유기비료 시용 형태, 볏짚 환원 시기 등을 변수로 활용하여 가구 단위 보정계수를 적용하였다. 이를 통해 기존 Tier 2 산정 방식에서 반영되지 못했던 지역별 관리 활동 차이를 정량적으로 반영하고자 하였다. 나아가 본 연구는 시도별 총 배출량과 단위면적당 배출량을 함께 제시하여 대규모 재배지역의 총 배출량 집중 현상과 소규모 재배지역의 높은 배출량 발생을 동시에 분석하고, 국가 통계와의 비교 및 불확도 분석을 통해 결과의 신뢰성을 검증함으로써 국가 온실가스 인벤토리 고도화와 감축 전략 수립을 위한 기초 자료를 제공하고자 한다.
2. 연구 방법
기존 국가 온실가스 인벤토리는 전국 벼 재배 면적을 영농관리에 따른 면적비율을 이용하여 분할한 뒤 단일 배출계수를 곱하는 방식으로 산정하지만, 본 연구는 가구별로 논벼 재배 여부와 영농관리 정보(성장기 물관리, 모내기 준비기 물관리, 유기비료 시용)를 매칭하여 각각의 보정계수(scaling factor, SF)를 반영함으로써 가구단위, 영농활동별로 배출계수를 계산하여 적용하였다. 이러한 접근은 지역별 관리활동 분포에 따른 차이를 정량적으로 반영한다.
2. 1 자료수집 및 처리
2020년 농림어업총조사 마이크로데이터로부터 논벼 재배 관련 항목을 추출하였다. 주요 변수는 행정구역 시도 코드, 가구키, 경작형태별 논합계면적, 논벼 성장기 물관리 코드, 모내기 준비기 물관리 코드, 논벼 유기비료 시용(퇴비, 녹비, 볏짚 및 보릿짚, 기타 유기비료 면적), 그리고 논벼 볏짚처리 경운시기 코드이다(KOSIS, 2020). 가구 내에서 복수의 유기비료 유형이 보고된 경우, 유형별 시용 면적을 각각 유지하였다. 행정구역은 2자리 시도 부호에 따라 17개 시도로 분류하고, 통계지리정보서비스(SGIS)에서 제공하는 2020년 센서스용 행정구역 경계(shapefile)를 이용해 시도명과 매칭하였다(KOSIS, 2020). 유기물 투입량은 유형별 표준 시용량에 시용 면적을 곱하여 추정하였다. 본 연구에서는 「작물별 비료사용처방 5차 개정본」을 기준으로 퇴비 4.6 t ha-1, 볏짚 및 보릿짚 6.0 t ha-1을 적용하였다. 녹비와 기타 유기비료는 문헌을 참고하여 5.0 t ha-1로 가정하였다. 볏짚의 경우 경운시기 코드에 따라 봄 환원과 가을 환원을 구분하였다.
2. 2 배출량 산정방법
배출량 산정은 2019 GL에 제시된 벼 재배 메탄 배출식에 기반한다. 지침에서는 국가 전체를 단일 값으로 산정하기보다는 물관리, 유기물 시용, 토양, 품종 등 다양한 농업 조건에 따른 하위 단위(sub-units)별 배출량 합산을 권고한다(IPCC, 2019). 연간 벼 재배 메탄 배출량은 다음과 같은 기본식으로 산정된다.
| (1) |
여기서, CH4 Rice는 연간 벼 재배로부터의 메탄 배출량(Gg CH4 yr-1)을 의미한다. EFijk는 조건 i,j,k에서의 일일 배출계수(kg CH4 ha-1 day-1)이고, tijk는 해당 조건의 재배기간(일, days)을 나타낸다. A는 연간 벼 재배면적(ha yr-1)이며, 하위 첨자 i,j,k는 물관리, 유기물 투입, 토양, 품종 등 배출에 영향을 미치는 다양한 생태적 조건을 구분하는 지표이다. IPCC 지침에 따르면, 일일 배출계수는 기본 배출계수와 여러 보정계수를 곱하여 산정한다.
| (2) |
EFi는 특정 조건에서의 보정된 일일 배출계수이다. EFc는 상시 담수 및 유기물 무시용 조건의 기본 배출계수이며, SFw는 재배기간 중 물관리 상태를 반영하는 보정계수이다. SFp는 모내기 이전(pre-season) 물관리 조건을 반영하는 보정계수이며, SFo는 유기물의 종류와 투입량을 반영한다. 또한 SFs는 토양형 보정계수, SFr은 품종 보정계수이다. 본 연구에서는 계수와 활동자료 적용의 한계로 SFs와 SFr는 고려하지 않았다(표 1).
유기물 시용에 따른 보정계수는 다음과 같은 식을 이용하였다.
| (3) |
여기서 SFo는 유기물 보정계수이며, ROAi는 유기물 i의 단위면적당 투입량(t ha-1)으로 볏짚의 경우 건물(dry weight) 기준, 퇴비 및 기타 유기물은 생체중(fresh weight) 기준으로 산정하였다. CFOAi는 유기물 i에 대한 전환계수로, 유기물 분해 특성과 메탄 발생 기여도를 반영한다. 본 연구에서는 퇴비는 4.6 t ha-1, 볏짚 및 보릿짚 6.0 t ha-1, 기타 유기비료 5.0 t ha-1을 표준 시용량으로 가정하였다. 볏짚의 경우 국가에서 개발된 전환계수를 적용하여 봄경운 시 CFOA=0.79, 가을경운 시 CFOA=0.58을 사용하였다(표 2). 녹비와 퇴비에 대해서는 2019 IPCC 기본 전환계수를 적용하였으며, 기타 유기비료는 본 연구에서 0.25로 가정하여 적용하였다.
2. 3 시도 단위 집계와 국가 통계 비교
가구 단위에서 산정된 벼 재배 메탄 배출량은 시도 코드별로 합산하여 시도별 총배출량을 도출하였다. 동시에 각 시도의 논벼 재배면적을 가중치로 활용하여 모내기 전 물관리, 성장기 물관리, 유기비료 시용 유형에 대한 면적 점유율을 계산하고, 그중 점유율이 높은 상위 세 가지 관리활동을 추출하였다. 이를 통해 논물관리, 유기물에 따른 시도별 배출 기여도가 큰 관리행동을 식별하여 배출 저감을 위한 관리활동 우선순위를 정하였다. 또한 본 연구에서 산출한 시도별 상향식(Bottom-up) 배출량 결과는 동일 연도의 환경부에서 공표한 지역 온실가스 통계와 비교하였다. 비교 지표는 절대오차(Absolute Error, AE), 상대오차(Relative Error, RE), 평균편의(Bias), 일치도(Consistency)를 이용하였다. 절대오차는 각 시도별 두 결과의 차이를 절대값으로 계산한 것이며, 상대오차는 지역통계 대비 배출량 결과와의 차이를 백분율로 나타내어 지역별 과대, 과소 경향을 나타낸다. 평균편의는 모든 시도에 대하여 상대오차를 평균한 값으로, 전국적으로 산정치가 지역통계 대비 산정결과가 전반적으로 높거나 낮은지를 나타낸다. 일치도는 전국 총합 기준으로 두 결과의 일치 정도를 평가하며 지역통계 전체 합계를 산정된 전국 배출량 결과로 나누어 백분율로 표시한다.
2. 4 불확도 분석
벼 재배 메탄 배출량 산정 결과의 신뢰성을 평가하기 위해 불확도 분석을 수행하였다. 불확도 분석은 시·도 또는 가구 단위가 아닌 전국 총 배출량을 대상으로 하였으며, 주요 매개변수에 불확도를 부여한 후 몬테카를로 시뮬레이션(Monte Carlo simulation)을 통해 산출하였다(IPCC, 2006). 불확도는 국내 문헌을 참조하고 불확도가 제시되어 있지 않은 변수는 가정하여 설정하였다. 기본 배출계수(EFc, 2.32 kg CH4 ha-1 day-1)는 21.7% (Kim et al., 2013), 작기 중 물관리 보정계수(SFw)는 95% 신뢰구간(1.47~1.88)을 근거로 12.07%를 적용하였다(Kim et al., 2014). 마찬가지로 작기 전 물관리 보정계수(SFp)는 담수 30일 이상 9.5%, 담수 30일 미만 10.7%, 건답직파 27.5%로 구분하여 적용하였다(Kim et al., 2014). 유기물 보정계수(SFo)는 전환계수 개발의 불확실성을 고려하여 ±25%로 가정하여 적용하였다. 활동자료인 전국 논벼 재배면적과 재배기간(137일)은 각각 10%로 설정하였다. 또한, 2020 농림어업총조사에 근거하여 조건별 면적 비율을 입력변수 추출을 위한 확률변수로 반영하였다. 작기 중 물관리의 경우 상시담수 29.79%, 1주 미만 11.22%, 1~2주 33.31%, 2주 이상 24.86%, 천수답 0.82%를 적용하였다. 작기 전 물관리는 담수 30일 미만 67.37%, 담수 30일 이상 32.12%, 건답직파 0.51%로 설정하였다. 유기물 시용은 퇴비 28.91%, 녹비 1.66%, 볏짚 및 보릿짚 28.10% (봄 환원 74.3%, 가을 환원 25.7%), 기타 유기물 21.25%, 무시용 20.08%를 반영하였다. 모든 변수는 음수값이 될 수 없으므로 로그정규 분포를 가정하였으며, 총 100,000회의 반복을 통해 시뮬레이션을 수행하였다. 최종적으로 산출된 전국 총 메탄 배출량은 평균, 표준편차, 상대 불확도(%)와 함께 95% 신뢰구간(2.5~97.5 분위수 범위)으로 제시하였다.
3. 결과 및 고찰
3. 1 시도별 메탄 배출량 산정 결과
총 배출량은 벼 재배면적의 크기에 좌우되어 지역별 면적 순서와 동일하게 배출량이 나타났다(그림 1, 표 3). 전남, 전북, 충남, 경남 등 대규모 벼 재배지를 보유한 지역에서 3만~4만 톤 이상으로 가장 높게 산정되었으며, 반대로 서울, 세종, 제주 등은 재배면적이 제한적이어서 1만 톤 이하 수준에 머물렀다. 배출량 총량 측면에서는 벼 재배면적이 지역별 배출 순위를 결정하는 주요 요인임을 확인할 수 있다.
Spatial distribution of CH4 emissions from rice cultivation in Korea (2020): (a) provincial level (n=17) and (b) municipal level (n=250).
시도별 논벼 재배면적당 메탄 배출량은 200~538 kg CH4 ha-1 범위로 나타났다(그림 2, 표 3). 전반적으로 대전이 가장 높은 배출량을 보였으며, 반대로 제주도는 200 kg CH4 ha-1 수준으로 가장 낮았다. 이는 지역별로 논물관리, 유기물 투입 등 관리활동의 차이가 벼재배 배출량의 주요 요인임을 시사한다. 특히 대전, 대구와 같은 벼 재배비중이 낮은 광역시에서 상대적으로 높은 배출량이 나타나, 재배면적과 무관하게 관리활동의 차이로 배출량이 민감하게 높게 나타나는 결과를 확인할 수 있다. 총 배출량과 단위면적당 배출량을 종합적으로 보면 서로 다른 공간적 특징을 갖는 것을 보여주는데 총 배출량을 대규모 생산지를 중심으로 결정되나 단위면적당 배출량은 벼 재배활동에 미치는 영향이 커서 일부 벼 재배가 중심이 아닌 지역에서도 상대적으로 높게 나타날 수 있다. 온실가스 감축 전략을 위해서는 단순히 면적 규모 외에도 면적당 배출량 평가와 병행하여 재배관리 활동의 영향도를 복합적으로 평가하여야 한다는 것을 시사한다. 규모의 측면에서는 대규모 재배지역이 감축 잠재량이 크기 때문에 주요 감축 대상지로 선정될 수 있으며, 단위 면적당 배출량이 높은 지역은 영농관리 개선을 통해 효율적인 감축 전략 수립이 가능하다.
3. 2 시도별 벼 재배 영농관리 특성
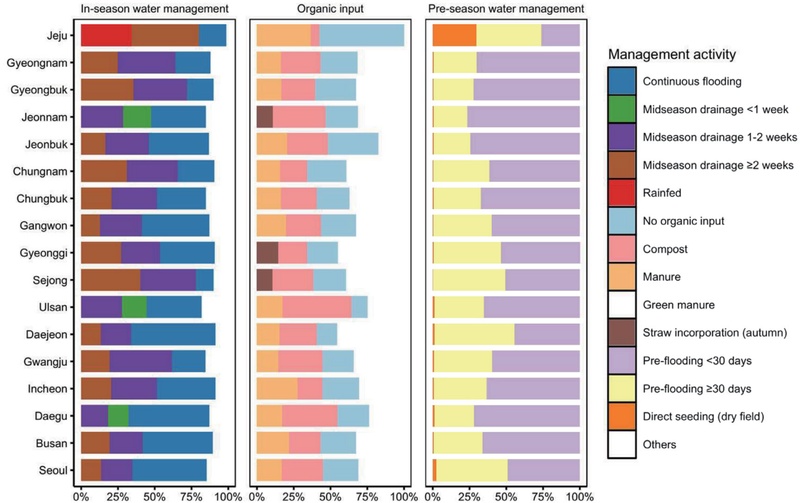
시도별 작기 중 물관리(In-season water management)는 전반적으로 중간물떼기 실시하는 비율이 지배적인 것으로 나타났다(그림 3). 특히 세종시와 경북, 경남 순으로 중간물떼기 1~2주와 2주 이상을 실시하는 비중이 절반 이상 차지하는 반면에 대전, 대구, 서울, 제주 등 소규모 벼 재배지에서는 상시담수가 우점하고 일부 중간물떼기 1주 미만을 적용하는 것으로 나타나 지역 간에 관행적인 물관리 시행방법 차이가 뚜렷함을 확인할 수 있다. 이러한 차이는 배출량(kg ha-1) 변동과 밀접히 연관되며, 중간물떼기 기간이 길수록 메탄 배출량이 감소하는 경향을 반영한다. 작기 전 물관리(Pre-season water management)는 전국적으로 이앙 전 30일 이상 담수(pre-flooding ≥30 days)과 30일 미만 담수(pre-flooding <30 days)이 주요 관행으로 나타났으며, 30일 미만 담수 지역이 전반적으로 비율이 높았다. 반면 일부 지역에서는 건답직파(direct seeding)의 비율이 나타났는데 특히 제주지역에서 상대적으로 높은 비율을 보였다. 지역적으로 이앙 전 30일 이상의 장기간 담수는 초기 메탄 배출량을 증가시킬 수 있으므로, 이러한 관행은 총 배출량 증가의 잠재적 원인이 될 수 있다.
유기물 투입의 경우, 퇴비 시용(compost)이 전국적으로 가장 높은 비중을 차지하였다(그림 3). 전북·전남과 같은 대규모 벼 재배지에서 특히 두드러졌으며, 일부 지역에서는 기타 유기비료(manure)과 볏짚 환원(straw incorporation, autumn)의 비율도 확인되었다. 반면 무시용(no organic input)의 비율도 약 20% 정도로 전체적으로 높게 나타났다. 이는 유기물 투입의 지역적 편차가 크며, 유기물 처리 관행이 배출 패턴을 결정하는 중요한 요인임을 시사한다. 볏짚 환원과 같이 유기물에 투입은 토양의 지력을 높이고, 토양 유기탄소 축적에 기여하지만 동시에 유기물 분해로 인한 메탄 생성균의 기질로써 메탄 발생을 촉진할 수 있어, 이러한 관행이 높은 배출량과 연결될 가능성이 있다.
지역별 영농관리 활동이 메탄 배출량의 공간적 차이를 설명하는 중요한 요인이 된다. 즉, 총 배출량은 재배면적에 의해 좌우되지만, 단위면적당 배출량은 관리활동 패턴에 의해 크게 달라진다. 따라서 향후 온실가스 산정은 전국 단위의 산정보다는 5년 주기의 농림어업총조사의 전수조사 통계를 활용하여 각 지역의 관리활동 특성을 반영한 상향식(bottom-up) 방식으로 도입할 필요가 있다. 이번 분석에서 확인된 바와 같이, 시도별 메탄 배출량은 크게 총 배출량과 단위면적당 배출량로 구분해 해석할 필요가 있다. 총 배출량은 재배면적에 의존하기 때문에 전남·전북·충남 등 대규모 벼 재배지역에서 집중적으로 나타났다. 반면 단위면적당 배출량은 중간물떼기 시행 면적, 유기물 투입 형태 등 관리활동의 차이에 의해 결정되며, 이로 인해 대전·세종과 같이 재배면적이 작은 지역에서도 상대적으로 높은 단위 면적당 배출량이 도출되었다. 이는 재배면적 중심 접근만으로는 온실가스 감축 잠재력을 정확히 평가하기 어렵다는 점을 시사한다. 관리활동 패턴별로 감축 전략의 우선순위를 달리 설정하여, 볏짚 환원 비율이 높은 지역에 경우 메탄 발생이 높을 수 있으므로 가을경운, 부숙퇴비와 같은 대체 유기물 활용과 같은 잔사처리 방식 개선이 주요 감축수단이 될 수 있다. 장기간 담수(pre-flooding ≥30일)가 보편적인 지역은 초기 메탄 배출이 크게 증가하므로, 이앙 전 30일 이내로 담수 기간을 조정하여 효과를 기대할 수 있다. 이미 중간물떼기를 적극적으로 실천하는 경상, 충청과 같은 지역은 현 수준 유지뿐 아니라 자동화 관개, 센서 기반 물관리 등 관수 관리의 정밀화를 통해 추가 감축을 도모할 수 있다. 다만 감축수단은 배출량 산정과 연계되어야만 감축량을 도출할 수 있는 점에서 주로 면적과 단일 배출계수(EF)에 의존하는 현재의 Tier 2 수준의 인벤토리 산정은 한계점을 갖는다. 본 연구의 결과는 농림어업총조사의 전수조사 방식에 따라 관리활동별로 보정계수를 분류하고 배출계수를 도출하여 지역별 차별화된 배출량 산정을 하였으나, 설문조사와 같이 통계조사 방식의 오차와 연도별 통계 일관성을 확보하지 못한 한계가 있다.
3. 3 국가 통계와의 비교 및 불확도
분석 결과, 전국 총합 배출량은 본 연구(bottom-up, BU)에서 244,911 ton CH4, 국가 통계(NS)에서 274,221 ton CH4로 산정되어, BU가 약 10.7% 낮았다 (표 4). 이에 따른 총 배출량 일치도(Consistency)는 89.3% 수준으로 나타나, 농림어업총조사 기반 산정된 배출량이 환경부 공표 지역 배출량보다 낮게 나타난 것을 확인하였다. 시도 단위에서는 평균적으로 약 2,249 t의 절대 오차가 발생하였으며, 제곱평균근오차(RMSE)는 3,712 t로 나타났다. 상대적인 차이를 살펴보면, 시도별 평균 절대 상대 오차(MAPE)는 33.9%로, 특히 배출량 규모가 작은 시도의 경우 상대 오차가 크게 산출되었다. 반면 평균편의(Bias)는 +2.2%로 나타나, 시도 평균 기준으로는 bottom-up 결과가 국가 통계보다 소폭 높은 경향을 보였다. 이는 큰 규모의 시도에서는 BU가 NT보다 낮게 산정되고, 소규모 시도에서는 반대로 BU가 더 높게 산정되면서 평균 편의와 합계 일치도의 결과가 상반되게 나타난 것이다. 이상의 결과는 다음과 같이 해석할 수 있다. 첫째, bottom-up 접근은 국가 통계 대비 전국 총량을 약간 낮게 추정하였지만, 합계 기준으로 90%에 가까운 일치도를 보였다. 이는 가구 단위 정보를 활용하는 bottom-up 접근이 국가 통계와 상당히 정합성을 가진다는 것을 의미한다. 다만 배출량이 낮게 나타나는 것은 농림어업총조사 기반에서 논벼가 재배되는 경작면적 합계는 604,659 ha인 반면 국가 통계에서 산정 대상으로 삼는 2020년 논벼 면적은 726,180 ha로 약 20.1% 면적 차이 때문으로 판단된다. 농림어업총조사는 가구 단위에서 재배여부와 경작규모에 대한 응답을 기준으로 파악되기 때문에 실제 경작규모보다 차이가 날 수 있으며, 국가통계에서 준용하는 농업면적조사는 매년 실측조사와 위성영상을 통한 원격탐사가 병행되는 표본조사를 통해 조사된 수치이기 때문에 보다 정확성이 높다고 판단된다. 그러나 면적이 20.1% 높음에도 불구하고 배출량이 10.7% 낮은 점을 고려하면 총 배출량에 큰 영향을 주는 벼 재배규모 영향보다 관리활동에 영향으로 현 국가통계 배출량이 저평가되었을 가능성을 시사한다. 둘째, 시도 단위에서는 소규모 지역에서 상대 오차가 크게 나타났는데, 이는 절대 배출량이 작은 지역일수록 미세한 활동자료 차이가 상대적으로 크게 반영되었을 것으로 판단된다. 따라서 소규모 지역에서는 상대 오차보다는 절대 오차 지표를 병행하여 해석하는 것이 바람직하다. 셋째, 순위 상관성이 높고 주요 다배출 시도가 동일하게 나타난 점은 bottom-up 방식이 국가 통계와 비교하여 정책적 우선순위 지역을 식별하는 데 충분히 신뢰할 수 있음을 나타낸다. 이는 향후 지역 맞춤형 온실가스 감축 전략 수립 과정에서 bottom-up 접근이 유용한 보조 도구로 활용될 수 있음을 시사한다.

Comparison of rice cultivation methane emissions between this study (BU) and national statistics (NS) by province.
몬테카를로 시뮬레이션 결과, 전국 벼 재배 메탄 배출량은 평균 244.7 Gg CH4 yr-1로 산정되었으며, 표준편차는 150.8 Gg, 상대불확도는 61.6%로 나타났다 (표 5). 95% 신뢰구간은 69.9~642.5 Gg CH4 yr-1로 산출되었다. 이를 전국 재배면적(604,659 ha)과 재배일수(137일)로 환산한 결과, 평균 단위면적당 배출량은 404 kg CH4 ha-1 yr-1 (95% CI: 115~1,060)으로 도출되었다. 본 연구의 결과는 불확도가 크게 나타났음에도 불구하고, 전국 평균 배출량(404 kg CH4 ha-1 yr-1)은 (Choi et al., 2018)에서 2010년 농림어업총조사 자료를 활용하여 지역단위 배출량 산정 후 제시한 380±74 kg CH4 ha-1 yr-1과 유사한 수준을 보였다. 이는 독립적인 연도와 방법론 차이에도 불구하고 한국 논벼의 평균 배출량이 일정한 수준을 유지함을 보여준다. 다만 주요 매개변수(EFc, SFw, SFp, SFo, 재배기간, 면적)에 확률분포를 적용해 변동성을 포괄적으로 반영했기 때문에, 상대불확도가 61.6%로 크게 나타났다. 국가 온실가스 인벤토리와의 비교에서도 공통적으로 하향 편차가 확인되었는데, (Choi et al., 2018)는 약 13% 낮게, 본 연구는 약 10.7% 낮게 나타나 상향식 접근이 국가 통계 대비 보다 정밀하게 관리활동을 반영하면서 절대 배출량은 낮은 것을 동일하게 확인할 수 있다.
4. 결 론
본 연구는 2020년 농림어업총조사 마이크로데이터를 활용하여 가구 단위에서 벼 재배 메탄 배출량을 산정하고, 이를 시도 단위로 집계하는 상향식(bottom-up) 접근법을 적용하였다. 분석 결과, 전국 총 배출량은 244,911 ton CH4로, 국가 통계(274,221 ton CH4) 대비 약 10.7% 낮게 산정되었으나, 합계 기준 일치도는 89.3%에 달해 상당한 정합성을 보였다. 이는 가구별 관리활동 정보를 반영한 bottom-up 접근이 기존 국가 통계와 구조적으로 유사한 추세를 재현할 수 있음을 의미한다. 다만 소규모 시도에서는 절대 배출량 자체가 작아 상대 오차가 크게 산출되는 경향이 있었으며, 이는 절대 오차와 상대 오차 지표를 병행하여 해석해야 함을 보여준다. 시도별 분석에서 총 배출량은 주로 벼 재배면적의 크기에 의해 결정되어 전남, 전북, 충남 등 대규모 재배지가 주요 배출원으로 나타났다. 반면 단위면적당 배출량는 물관리와 유기물 투입과 같은 영농관리 특성에 의해 좌우되어, 대전·세종과 같은 소규모 재배 지역에서도 상대적으로 단위면적당 높은 배출량이 관찰되었다. 이는 면적 중심의 Tier 2 산정 방식으로는 포착하기 어려운 지역별 관리활동 차이를 bottom-up 방식이 효과적으로 드러낸 결과이다. 또한 국가 통계와의 차이는 단순한 면적 차이(약 20.1%p)에서 비롯된 측면이 있으나, 관리활동 반영에 따라 총량 배출량이 상대적으로 낮게 나타난 점은 현행 국가 통계에서 일부 관리활동 효과가 충분히 반영되지 않았을 가능성이 있다.
Acknowledgments
본 연구는 농촌진흥청 국립농업과학원 농업정책지원기술 연구개발사업(RS-2023-00228123) 지원에 의해 이루어진 것임.
References
-
Ali, M.A., Sattar, M.A., Islam, M.N., Inubushi, K. (2014) Integrated effects of organic, inorganic and biological amendments on methane emission, soil quality and rice productivity in irrigated paddy ecosystem of Bangladesh: Field study of two consecutive rice growing seasons, Plant and Soil, 378, 239-252.
[https://doi.org/10.1007/s11104-014-2023-y]
-
Choi, E.-J., Lee, J.-S. (2018) A study on greenhouse gas emission and applicative estimation under the IPCC Tier 3 level, Rural Development Administration, (in Korean with English abstract).
[https://doi.org/10.23000/TRKO201800043075]
-
Choi, S.W., Kim, J., Kang, M.S., Lee, S.H., Kang, N.G., Shim, H.M. (2018) Estimation and mapping of methane emissions from rice paddies in Korea, Korean Journal of Agricultural and Forest Meteorology, 20(1), 88-100, (in Korean with English abstract).
[https://doi.org/10.5532/KJAFM.2018.20.1.88]
- Deepagoda, T.K.K.C., Nakano, Y., Ono, K., Sudo, S., Yagi, K. (2024) Impact of water management on methane and nitrous oxide emission dynamics in Asian paddy ecosystems, APN Science Bulletin, 13, 1-12.
- Greenhouse Gas Inventory and Research Center (GIR) (2024) 2024 National Greenhouse Gas Inventory Statistics (1990-2022), Ministry of Environment, Sejong, Korea. https://www.gir.go.kr/home/board/read.do;jsessionid=xCluG6o6nrOXDKRu0dMjO46cScHrbeyJL1kLTuTJobtzo1Jqt52vN1OBlqfIxdKm.og_was2_servlet_engine1?pagerOffset=0&maxPageItems=10&maxIndexPages=10&searchKey=&searchValue=&menuId=36&boardId=79&boardMasterId=2&boardCategoryId=
- Greenhouse Gas Inventory and Research Center (GIR) (2022) National Greenhouse Gas Inventory Report of Korea (NIR), Ministry of Environment, Sejong, Korea. https://www.gir.go.kr/home/board/read.do;jsessionid=xCluG6o6nrOXDKRu0dMjO46cScHrbeyJL1kLTuTJobtzo1Jqt52vN1OBlqfIxdKm.og_was2_servlet_engine1?pagerOffset=0&maxPageItems=10&maxIndexPages=10&searchKey=&searchValue=&menuId=36&boardId=84&boardMasterId=2&boardCategoryId=
- Intergovernmental Panel on Climate Change (IPCC) (2006) 2006 IPCC Guidelines for National Greenhouse Gas Inventories, Vol. 1, Ch. 3 (Uncertainties), IPCC, Geneva, Switzerland. https://www.ipcc-nggip.iges.or.jp/public/2006gl/
- Intergovernmental Panel on Climate Change (IPCC) (2019) 2019 Refinement to the 2006 IPCC Guidelines for National Greenhouse Gas Inventories, Vol. 4, IPCC, Geneva, Switzerland. https://www.ipcc-nggip.iges.or.jp/public/2019rf/index.html
-
Intergovernmental Panel on Climate Change (IPCC) (2021) Climate Change 2021: The Physical Science Basis. Contribution of Working Group I to the Sixth Assessment Report of the Intergovernmental Panel on Climate Change, Cambridge University Press, Cambridge, United Kingdom and New York, NY, USA.
[https://doi.org/10.1017/9781009157896]
-
Jackson, R.B., Saunois, M., Bousquet, P., Canadell, J.G., Poulter, B., Stavert, A.R., Bergamaschi, P., Niwa, Y., Segers, A., Tsuruta, A. (2020) Increasing anthropogenic methane emissions arise equally from agricultural and fossil fuel sources, Environmental Research Letters, 15, 071002.
[https://doi.org/10.1088/1748-9326/ab9ed2]
-
Kim, G.-Y., Jeong, H.-C., Ju, O.-J., Kim, H.-K., Park, J.-H., Gwon, H.-S., Kim, P.-J. (2013) Establishment of baseline emission factor of methane in Korean rice paddy soil, Korean Journal of Environmental Agriculture, 32, 359-365, (in Korean with English abstract).
[https://doi.org/10.5338/KJEA.2013.32.4.359]
-
Kim, G.-Y., Lee, J.-E., Seo, Y.-H., Yang, S.-H., Lee, J.-S., Jeong, H.-C., Choi, E.-J. (2014) Study of quality control for the country-specific factors, Rural Development Administration, (in Korean with English abstract).
[https://doi.org/10.23000/TRKO201400011260]
- Korean Statistical Information Service (KOSIS) (2020) Census administrative district boundaries, Statistical Geographic Information Service (SGIS), Available online: https://sgis.kostat.go.kr/, (accessed on Sep. 16, 2025).
-
Mar, K.A., Kreyling, D., Schmale, J. (2022) Beyond CO2 equivalence: The impacts of methane on climate, ecosystems and health, Environmental Science: Advances, 1(6), 1044-1055.
[https://doi.org/10.1016/j.envsci.2022.03.027]
-
Qian, H., Zhu, X., Huang, S., Linquist, B., Kuzyakov, Y., Minamikawa, K., Martinez-Ezarch, M., Yan, X., Zhou, F., Sander, B.O. (2023) Greenhouse gas emissions and mitigation in rice agriculture, Nature Reviews Earth & Environment, 4, 716-732.
[https://doi.org/10.1038/s43017-023-00482-1]
-
Rahaman, M., Saba, Z., Mehzabin, K., Prottoy, A. (2025) Spatial and temporal variability of atmospheric methane concentrations in Bangladesh, Journal of Sustainable Rural Development, 2, 15-21.
[https://doi.org/10.54536/ijsrd.v2i1.4153]
-
Saunois, M., Stavert, A.R., Poulter, B., Bousquet, P., Canadell, J.G., Jackson, R.B., Raymond, P.A., Dlugokencky, E.J., Houweling, S., Patra, P.K., Ciais, P., Arora, V.K., Bastviken, D., Bergamaschi, P., Blake, D.R., Brailsford, G., Bruhwiler, L., Carlson, K.M., Carrol, M., Castaldi, S., Chandra, N., Crevoisier, C., Crill, P.M., Covey, K., Curry, C.L., Etiope, G., Frankenberg, C., Gedney, N., Hegglin, M.I., Höglund-Isaksson, L., Hugelius, G., Ishizawa, M., Ito, A., Janssens-Maenhout, G., Jensen, K.M., Joos, F., Kleinen, T., Krummel, P.B., Langenfelds, R.L., Laruelle, G.G., Liu, L., Machida, T., Maksyutov, S., McDonald, K.C., McNorton, J., Miller, P.A., Melton, J.R., Morino, I., Müller, J., Murguia-Flores, F., Naik, V., Niwa, Y., Noce, S., O’Doherty, S., Parker, R.J., Peng, C., Peng, S., Peters, G.P., Prigent, C., Prinn, R., Ramonet, M., Regnier, P., Riley, W.J., Rosentreter, J.A., Segers, A., Simpson, I.J., Shi, H., Smith, S.J., Steele, L.P., Thornton, B.F., Tian, H., Tohjima, Y., Tubiello, F.N., Tsuruta, A., Viovy, N., Voulgarakis, A., Weber, T.S., van Weele, M., van der Werf, G.R., Weiss, R.F., Worthy, D., Wunch, D., Yin, Y., Yoshida, Y., Zhang, W., Zhang, Z., Zhao, Y., Zheng, B., Zhu, Q., Zhu, Q., Zhuang, Q. (2020) The global methane budget 2000-2017. Earth System Science Data, 12, 1561-1623.
[https://doi.org/10.5194/essd-12-1561-2020]
-
Yagi, K., Minami, K. (1990) Effect of organic matter application on methane emission from some Japanese paddy fields, Soil Science and Plant Nutrition, 36, 599-610.
[https://doi.org/10.1080/00380768.1990.10416797]
-
Yuan, Q., Pump, J., Conrad, R. (2014) Straw application in paddy soil enhances methane production also from other carbon sources, Biogeosciences, 11, 237-246.
[https://doi.org/10.5194/bg-11-237-2014]
-
Zheng, J., Lu, Y., Xu, P., Xie, K., Zhou, C., Li Y., Geng, H., Wang, Q., Gu, W. (2024) Insights into the driving factors of methane emission from double-season rice field under different fertilization practices in South China, Agronomy, 14(12), 2767.
[https://doi.org/10.3390/agronomy14122767]
-
Zhu, T., Zhang, Y., Li, Z., Wang, Z. (2023) The linkage between methane fluxes and gross primary productivity in rice paddies, Journal of Geophysical Research: Biogeosciences, 128, e2023JG007632.
[https://doi.org/10.1029/2023JG007632]
이형석 (국립농업과학원 농업환경부 농업연구사) (lhs0218@korea.kr)
박혜란 (국립농업과학원 농업환경부 농업연구사) (parkhr098@korea.kr)
이민지 (국립농업과학원 농업환경부 농업연구사) (mjlee2331@korea.kr)
정영재 (국립농업과학원 농업환경부 농업연구사) (jyj970731@korea.kr)
이소라 (국립농업과학원 농업환경부 연구원) (dlthfk789@korea.kr)
유예슬 (국립농업과학원 농업환경부 연구원) (yeseul8241@rda.go.kr)


