
관측지점 밀도가 대기질 농도 시계열 해석에 미치는 영향: 공간 해상도에 따른 추세 변동성 분석
Abstract
Long-term analyses of air quality are crucial for understanding trends and evaluating the effectiveness of environmental policies. However, the reliability of such analyses can be significantly influenced by both the number and spatial arrangement of monitoring stations. This study investigates the effects of Korea’s expanded air quality monitoring network from 2001 to 2024 using quality-controlled data from AirKorea. Our findings reveal that both the density and distribution of monitoring sites play key roles in shaping average pollutant concentration estimates and trend interpretations. When monitoring sites are evenly distributed, the calculated averages align more closely with true values; conversely, networks concentrated in certain areas tend to introduce bias. After 2017, the swift increase in the number of monitoring locations led to greater variability in concentration deviations, most notably for nitrogen dioxide (NO2) and particulate matter. Regions such as Gangwon, Gyeongbuk, and Chungnam exhibited heightened sensitivity to these changes. These results emphasize that simply increasing the number of monitoring stations does not automatically enhance the robustness of long-term air quality analyses. Instead, ensuring spatial representativeness is critical to maintaining the integrity and accuracy of these studies. This perspective aligns with recent research advocating for a qualitative focus on monitoring network design rather than relying solely on expanding monitoring numbers.
Keywords:
Air quality monitoring, Monitoring network, Spatial representation, Trend analysis, Scenario-based evaluation1. 서 론
대기오염물질의 농도는 도시화 및 산업화의 진전에 따라 영향을 받으며, 이에 대한 통계적 분석은 환경 변화 모니터링, 대기오염 저감 정책의 수립, 그리고 환경 관리 전략의 평가를 위한 도구로 활용된다(Lee and Shin, 2022). 일반적으로, 대기오염물질에 대한 통계적 분석은 전국 또는 행정구역 단위별 평균 농도를 평가하거나 장기 추세와 계절적 변동을 종합적으로 검토하는 데 사용된다(Kim and Lee, 2018). 그러나 이러한 통계 분석 결과에 대한 정확성과 신뢰성은 관측자료의 질적 수준뿐 아니라, 관측자료를 생산하는 관측소의 공간적 분포와 관측소 밀도에 의해 크게 좌우된다(Su et al., 2022). 이는 같은 지역의 평균 농도라도 관측지점의 수와 위치 조건에 따라 평균값과 추세 해석이 상당히 달라질 수 있기 때문이다(Cha et al., 2023). 최근 연구에서도 이러한 의존성이 보고된 바 있다. 예를 들어, 대기질 측정망 밀도가 시공간 대기질 예측 정확도에 직접적인 영향을 미친다는 연구사례에서는 저가형 센서 기반의 고밀도 측정망이 PM2.5와 PM10 예측 정확도를 각각 25%, 15% 향상시켰음이 보고되었다(Cassard et al., 2020). 유럽 지역의 연구에서도 고밀도 센서 네트워크가 장기 농도 추세, 주간·계절 패턴 및 고농도 발생 시기의 특성을 재현하는 데 필수적임을 강조하였다(Peters et al., 2022).
대기오염물질의 시공간 분포는 비균질적이며, 특정 지역이나 조건(예: 배출원 밀집 지역, 지형적 또는 기상학적 조건에 영향을 받는 지역 등)에서 고농도 오염이 집중되는 현상이 발생한다(Lee and Shin, 2022; Lee and Lee, 2020). 대기오염 농도는 기상 및 배출 요인뿐만 아니라 교통량, 인구밀도, 산업활동, 재난재해, COVID-19 제한과 같은 사회·경제적 요인에도 크게 영향을 받는 것으로 보고되고 있다(Lee and Park, 2023; Lee et al., 2022a; Wong et al., 2021; Brauer et al., 2016). 따라서 관측지점의 수와 공간적 배치는 대기오염물질 농도의 추세(trend), 계절성(seasonality), 이상값(outlier) 탐지 등 다양한 통계적 특성에 영향을 줄 수 있다. 관측지점 수가 적을 경우 특정 지점의 값이 전체 평균을 과도하게 좌우하여 왜곡을 초래할 수 있으며, 반대로 관측지점 수가 늘어나더라도 신규 지점이 고농도 또는 저농도 지역에 편중될 경우 평균값은 안정적이지 않을 수 있다. 실제로 이탈리아 Varese 도시의 사례연구에서는 단일 측정소가 지역 전체의 PM2.5 농도를 대표하지 못할 가능성을 지적하며 공간 대표성의 중요성을 강조하였다(Yatkin et al., 2020).
대한민국의 대기질 관측망은 지난 20여 년간 지속적으로 확대되어 왔으며, 특히 2000년대 이후 권역별로 신규 관측소가 대거 설치되면서 관측지점 수가 급격히 증가하였다(Jung and Kim, 2024). 이러한 변화는 관측자료의 공간 해상도를 향상시키는 긍정적 효과를 가지지만, 동시에 장기 시계열 해석에서 데이터의 일관성(consistency)에 영향을 미칠 수 있다. 즉, 관측소가 적었던 시기의 평균 농도와 관측소가 증가한 이후의 평균 농도를 단순 비교하는 경우, 실제 대기질 변화뿐 아니라 관측지점 밀도 변화의 효과가 혼재되어 반영될 수 있다. 그럼에도 불구하고 기존 연구의 대부분은 대기질 추세 자체에만 초점을 맞추었으며, 관측지점 밀도 변화가 시계열 해석에 미치는 영향을 정량적으로 검증한 사례는 제한적이다.
따라서, 본 연구의 목표는 국내 대기질 관측지점의 연도별 변화가 대기오염물질의 평균 농도 및 추세 해석에 미치는 영향에 대하여 정량적으로 분석하는 것으로 설정하였다. 이를 위하여, 국내 대기질 관측망의 연도별 설치 변화와 시도별 대기오염물질의 평균값에 대한 특성을 기반으로 신규 관측소를 단계적으로 제외하는 시나리오를 설계하였다. 그리고 관측소의 확충이 오염물질별 평균 농도 및 추세에 미치는 영향을 평가하기 위하여, 개별 시나리오에 대한 통계 및 상호 변동성 관련 분석을 수행하였다. 정밀한 관측망 구축은 대기질 평가의 정확성과 직접적으로 연관되므로, 본 연구의 결과는 향후 보다 정교하고 신뢰성 높은 대기질 통계분석 및 환경정책 수립을 위한 중요한 과학적 근거로 사용될 수 있을 것이다.
2. 자료 및 방법
2. 1 대기질 관측자료
본 연구는 2001년부터 2024년에 이르는 기간 동안 축적된 국가 대기오염 측정망 자료를 바탕으로 관측지점의 확충이 대기질의 시공간적 변동에 미치는 영향을 분석하였다. 기본 데이터는 AirKorea (https://www.airkorea.or.kr)에서 제공하는 최종 확정값이며, 이 자료는 대기환경 주요 오염물질(SO2, CO, NO2, O3, PM10, PM2.5 등)의 시간별 평균 농도를 포함한다. 국내의 대기질 측정망은 도시대기, 도로변대기, 배경대기 축정망이 있으나, 여기서는 도시대기 자료를 우선적으로 고려하였다. 도시대기망이 생활권 노출 특성을 직접 반영하기 때문에 대기질 트렌드를 설명하는 데 핵심적 역할을 한다고 판단했기 때문이다.
AirKorea에서 제공하는 확정 자료는 모든 원자료가 동일하게 신뢰할 수 있는 것은 아니다. 센서 이상, 데이터 전송 오류, 그리고 설명하기 어려운 비정상 패턴은 빈번하게 발생한다. 그러나 Quality Control (QC) 과정을 거쳐 이와 같은 문제는 체계적으로 걸러내며, 이 과정 덕분에 최종 자료의 안정성은 상당히 보장된다(ME, 2024). 본 연구에서는 단순히 자료를 수집하는 것에서 그치지 않고, 각 관측소의 위치 좌표, 설치 시점, 운영 변동 내역까지 추적하여 시공간적 변화를 함께 분석하였다. 실제로 관측망 확충이나 이전 같은 변화는 오염도 해석에 큰 영향을 주는데, 이를 반영하지 않을 경우 장기적인 경향을 왜곡할 가능성이 있다.
데이터 전처리 과정에서는 네 가지 작업을 핵심적으로 수행하였다. 첫째, 시계열상의 결측치를 보정하였고, 둘째, 서로 다른 운영 기간을 가진 관측소 자료를 연결하였다. 셋째, 현저히 벗어나는 값(outlier)을 식별하고 제거했으며, 넷째, 데이터를 행정구역 단위로 매핑하여 지역 간 비교가 가능하도록 정리했다. 이러한 절차를 거침으로써 결국 지역별 대기오염물질 농도의 상대적 차이를 일정하게 평가할 수 있었으며, 불연속적인 관측망 변화를 최소화하는 데 효과적이다.
2. 2 시공간 분석 방법
국내 대기오염 관측망의 공간적 확장이 대기오염물질 농도 평가의 신뢰성에 미치는 영향에 대해 생각하면, 복잡하고 예측 불가한 양상을 볼 수 있다. 이 연구에서 집중한 첫 번째 관점은 해마다 변화하는 관측지점 수의 증감에 따라 지역별 대기오염 농도 평균값이 어떻게 진동하는지, 그 미세한 흐름에 있다. 연도별 각 지점의 변화 추이와 오염물질의 농도 수준의 관계를 분석하여 농도 통계에 관한 구조적 변화를 포착할 수 있을 것이다. 전국 및 시도별로 관측소 운영 시점을 기준 삼아 시계열 데이터를 여러 부분으로 나눴고, Bai and Perron (2003)의 시계열 분할(segmentation) 기법 중 특정 시점의 구조적 변화(Structural Break)를 집어내는 방향으로 잡았다. 실제로 미세먼지 이슈로 대기질 관측망이 급속도로 늘어나면서, 측정망의 변화가 대기오염 농도 해석에 어떤 상호작용을 일으키는지 심도 있는 분석이 필요하다(Cha et al., 2023). 따라서, 이 연구에서는 오염물질 농도의 평균값 산정 방식을 아래와 같이 정의하고, 그 변동성을 구체적으로 검증해 나갔다. 통계적 분석에 활용된 시도별 또는 연도별 각 오염물질의 평균 농도(xt) 는 다음과 같이 정의된다.
| (1) |
여기서, xi,t는 시점 t에서 i번째 관측지점의 농도, Nt는 해당 시점의 관측지점 수이다. 이때, Nt의 변화는 표본 평균의 통계적 특성에 직접적인 영향을 미치며, 특히 지점 간 농도 분산이 큰 경우 평균값의 변동성이 과대 또는 과소 추정되는 현상이 발생할 수 있다 (Wilks, 2020).
평균 농도값과 관측지점 수의 변화에 관한 변동 패턴을 분석하기 위하여 단순 선형회귀 모델을 도입하는 편이 실용적이다. 식(2)의 형태처럼, 두 변수량이 선형적으로 맞물린 구조를 사용하여 시간축을 따라 관련성을 파악할 수 있다.
| (2) |
여기서, yt는 해당 시점의 평균 농도, xt는 시간 t(연도)에 누적 관측소의 숫자, β0는 절편, β1은 추세 기울기, εt는 오차항을 각각 의미한다. 이런 모델을 사용함으로써 변화 추세의 심층적 패턴까지 해석하는 것이 가능하다. 또한, 전국 단위와 시도별 데이터가 얼마나 일관성 있게 움직이는지를 보기 위해 선형 상관분석과 회귀계수 비교 같은 정량적 방법을 추가로 적용하였다. 연도별 누적 관측소 수(xt)와 오염물질 평균 농도(yt) 사이의 선형적 연관성은 상관계수(r)로 정리했고, 이 식은 매우 보편적이면서도 해석에 중요한 역할을 했다.
| (3) |
위에서 언급한 방법론을 이용하여 궁극적으로는 관측망 확대가 장기 대기질 시계열 해석의 안정성이나 신뢰성에 어떻게 영향을 미치는 지에 관하여 정량적으로 평가하였다. 이와 관련된 여러 선행연구들은 대기질 장기 추세 분석 시 사용된 통계 모델과 변화 추세 해석의 객관성 확보 측면에서 본 연구의 방법론적 신뢰성을 뒷받침한다 (Park et al., 2020; Di et al., 2017).
3. 결 과
3. 1 관측지점 위치 변화 민감도 분석
관측지점의 위치가 대기오염물질 지역 평균 농도 산정에 어느 정도 영향을 미치는지 살펴보기 위해, 본 연구에서는 Bull’s Eye Test 방법을 적용하였다. 이 방법은 대기오염이 중심점에서 멀어질수록 지수적(가우시안 분포)으로 감소하는 특성을 전제로 하여, 제한된 관측지점들이 특정 공간 배열을 가질 때 전체 평균 농도와의 편차를 분석한다. 구체적으로, 25개 관측지점을 세 가지 배치 시나리오(격자형, 집중형, 무작위형)로 나누고 각각에 따른 공간적 대표성 및 민감도를 비교하였다(그림 1). 이러한 접근법은 대기질 관측망 설계 및 데이터 해석 과정에서 발생할 수 있는 대표성 문제를 실험적으로 탐구하는 데 중요한 방법론적 통찰을 제공한다(Hopf and Brown, 1986).
Conceptual illustration of the Bull’s Eye Test used in this study. The spatial distribution of measurement sites is divided into three scenarios: (left) grid measurement, representing evenly distributed sites across the domain; (center) concentrated measurement, where sites are clustered around the center; and (right) random measurement, in which sites are scattered without spatial regularity.
본 연구에서 적용한 Bull’s Eye Test의 세 가지 시나리오는 공간 대표성 개념에 초점을 맞춘 실험적 모델이므로 실제 대기질 관측망의 배치와는 몇 가지 중요한 차이가 존재한다. 특히, 대한민국의 대기질 관측소는 인구밀집 지역을 중심으로 집중 설치되어 있으며, 행정구역, 교통·산업 배출원 접근성, 관측소 유지 관리의 용이성, 주민 민원, 부지 확보 가능성 등 다양한 실질적 제약조건이 반영되어 설치되었다. 또한 도시 대기와 도로변, 배경, 산단 등 목적별로 서로 다른 유형의 측정망이 혼재하고, 신규 미세먼지 측정망 확대 과정에서 특정 관리 권역 대비 인구밀도가 낮은 일부 지역의 설치 밀도가 상대적으로 낮거나 불균등한 특징이 있다. 따라서, 관측망의 형태는 이상적 격자형 혹은 완전한 무작위 배치와는 다소 거리가 있다. 이러한 차이로 인해 실제 관측망은 공간적으로 불균일한 것으로 간주될 수 있으며, 이는 본 연구에서 제시된 실험적 배치 시나리오 결과와 일부 상이할 수 있음을 유의해야 한다.
그림 1에서 격자형 배치는 지역 전체를 균등한 간격으로 나누어 지점을 배치하는 방식으로, 이론적으로 전체 공간의 대표값을 가장 잘 반영할 수 있다고 여겨진다. 집중형은 특정 한 곳에 관측지를 집중배치하므로 지역 특성은 잘 드러나지만, 전반적 대표성에는 한계가 있고, 무작위형은 공간적 분포를 고려하지 않은 채 무작위로 배치해 참값과 편차 간 변동성이 크다. 실제 대도시 중심 관측망은 집중형과 비슷한 경향이 있고, 행정구역 단위로 균등 배치되는 경우는 격자형과 가까운 모습을 보인다. 이런 실험적 접근은 관측망 설계와 대기질 해석의 공간적 불확실성을 줄이는 데 있어 중요한 실마리를 제공함을 알 수 있다(Brown et al., 2015). 예를 들어, 대도시 중심부에 관측망이 집중된 경우는 집중형 시나리오와 유사한 특성을 보이며, 행정구역 내에서 균등하게 설치된 관측망은 격자형 시나리오와 근접한 패턴을 나타낸다. 반면에 공간 분포를 고려하지 않고 불균일하게 설치된 관측망은 무작위형 시나리오의 특징과 유사하다.
세 가지 다른 관측 시나리오에 따라 25개 관측지점의 데이터를 샘플링하여, 관측망 내 공간적 불균일성이 평균 농도 해석에 어떤 영향을 끼치는지 정량적으로 살펴보았다. 이러한 접근은 관측망의 대표성을 분석하는 선행 연구들에서 제시된 방법론과 일치하며, 공간 불균일성에 따른 통계적 변동성 평가에 주안점을 둔다(Brown et al., 2015). 그림 2에서 참값과 각 시나리오별 통계지표(평균, 표준편차, 최소/최대값, 중앙값)를 비교한 결과가 나타난다. Grid와 Random 시나리오는 각각 11.84±20.54, 15.79±22.79라는 평균값 범위를 보였으며, 참값의 평균인 16.24±23.02와 유사한 흐름을 나타냈다. 특히 Random 배치는 참값과 높은 일치도를 보여 공간 내 데이터 대표성 면에서 매우 효율적임을 시사한다(Su et al., 2022). 반면, Concentrated 시나리오는 다른 시나리오보다 평균과 중앙값이 눈에 띄게 높아 특정 지역에 샘플링이 집중된 결과, 데이터 분포가 왜곡될 위험성을 명확히 드러냈다. 최대값에서도 Grid (98.70), Concentrated (100.46), Random (88.78) 모두 참값(111.84)과 큰 차이가 없었으나, 최소값은 Grid (0.36), Random (0.02)가 참값(0)에 가까운 반면 Concentrated (33.48)는 상당한 편차를 보였다. 이런 결과는 공간적 데이터 통계에서 개별 관측지점의 대표성 확보가 필수적임을 다시 한번 강조하며, 제한된 공간에서의 집중적 샘플링이 전체 통계 특성에 왜곡을 줄 수 있다는 점을 분명히 한다(Brown et al., 2015).
Statistical comparison of true values and three measurement strategies(grid, concentrated, random). The bar chart presents key statistical indicators(mean, standard deviation, minimum, maximum, and median).
그림 3은 참값과 세 가지 관측 시나리오에서 샘플링된 데이터의 분포를 히스토그램과 커널밀도추정(Kernel Density Estimation, KDE) 곡선 형태로 나타낸다. 먼저, 참값의 분포는 0~20의 낮은 농도 구간에 자료가 집중되고, 고농도 값은 제한적으로 나타나며 꼬리가 긴 비대칭적 형태를 띤다. 이러한 분포 특성은 실제 대기오염 관측자료에서 흔히 볼 수 있는 패턴으로, 저농도 영역이 주도적이고 고농도는 국지적이고 일시적으로 발생함을 의미한다(Kim et al., 2024).
Histogram and kernel density estimation (KDE) curves of concentration distributions across four scenarios: the true underlying values(true) and three different measurement approaches(grid, concentrated, and random).
본 연구에서 수행한 시나리오별 샘플링 자료의 분포 특성 분석 결과는 다음과 같다. 먼저, 격자(Grid)기반 관측은 참값 분포의 전반적인 형태를 가장 충실히 반영하였다. 특히 낮은 농도 구간에서의 빈도 특성을 비교적 세밀하게 포착하였다는 점이 주목할 만하다. 다만, 관측지점 수가 제한될 경우 일부 농도 구간에서 참값 대비 과대 추정 또는 과소 추정이 발생할 가능성이 확인되었다. 이러한 한계는 기 구축된 관측망이 충분하지 않을 때 흔히 나타나는 문제로, 공간적 커버리지 불균형의 전형적 사례라 할 수 있다(Jerrett et al., 2005). 반면, 집중형(Concentrated) 배치 시나리오에서는 중·고농도 구간에 과도하게 관측점이 배치됨에 따라, 저농도 구간의 분포 특성을 전혀 설명하지 못하였다. 그 결과 전체적인 참값 분포와는 명확히 다른 양상이 나타났고, 통계적으로도 유의한 편차가 확인되었다. 이는 특정 오염원 주변에 관측소가 편중될 때, 실제 대기질의 ‘대표성’을 왜곡할 수 있다는 점을 실증적으로 보여준다. 비슷한 문제는 대도시권 오염원 주변의 모니터링 연구에서도 반복적으로 지적된 바 있다(Wilson et al., 2005). 마지막으로, 무작위(Random) 관측 배치는 참값 분포와 대체로 유사한 경향을 보였으나, 공간적으로 불균일한 분포 특성이 일부 구간에서 드러났다. 이것은 무작위 추출 특유의 불안정성에 기인하는데, 이러한 불균형은 개별 시점보다는 장기적 추세 분석 과정에서 더 심각한 문제를 야기할 수 있다(Baca-López et al. 2021; Yatkin et al., 2020). 이러한 결과는 대기질 관측망 구축에서 ‘대표성(representativeness)’이 얼마나 중요한지를 다시금 부각한다. 특히 좁은 지역에 관측이 집중될 경우, 전체 대기질 수준이나 장기적 추세 해석에서 큰 왜곡이 발생할 수 있음을 정책적으로 시사한다. 따라서 향후 관측망 설계에서는 단순히 오염도가 높은 구간보다, 공간적 분포 균형을 확보하는 전략적 접근이 필수적이다. 결론적으로, 장기 시계열 대기질 분석의 과학적 신뢰성을 확보하기 위해서는 균등하거나 최소한 불규칙성이 분산된 형태의 관측지점 배치가 필수적임을 제안한다(Stevens and Olsen, 2004).
3. 2 관측지점 수와 평균 농도 변화
그림 4는 2001년부터 2024년 기간 동안에 국내 대기질 관측망의 연도별 신규 관측소 설치 지점 수와 누적 지점 수를 나타낸다. 이 결과에서는 국내 관측망 설치 변화가 크게 세 단계별 기간으로 구분할 수 있다. 첫 번째 단계는 2001년부터 2007년까지 기간으로 이 시기에는 매년 평균 10여 개의 지점이 추가되며 누적 지점 수가 점진적으로 증가했으므로 완만한 성장기로 구분하였다. 두 번째 단계는 2008년부터 2016년까지의 기간이며 신규 관측소의 수가 현저히 줄어들어 연도별 5개 미만의 관측소만 추가되었다. 이에 따라 누적 지점 수의 증가세도 크게 둔화된 정체기로 구분할 수 있다. 마지막 단계는 2017년부터 2024년 기간으로, 특히 2018년과 2019년 사이에는 연간 60개 이상의 새로운 관측지점이 설치되며 누적 지점 수가 급격히 증가했다. 이후에도 지속적으로 새로운 지점들이 추가되어 2016년 249개였던 관측지점이 2024년에는 530개로 약 2.1배 늘어났기 때문에 급증기로 분류하였다. 이 기간 동안의 급격한 증가 원인은 정부의 ‘미세먼지 관리 특별대책’, ‘미세먼지 계절관리제’, ‘환경부 종합대책’ 등 국가 정책의 시행에 따른 것으로 판단된다(Jung and Kim, 2024; ME, 2017). 이러한 연도별 관측지점 수의 변화는 단순한 관측지점의 확장이 아니라 정책적, 사회적 요구와 직접적으로 연관되어 있다고 해석할 수 있다.
Annual and cumulative number of air quality monitoring stations installed in Korea from 2000 to 2024. Blue bars represent the annual number of stations newly installed, while the red line indicates the cumulative number of stations. The period is divided into three phases: gradual increase (2000~2007, shaded in blue), stagnation (2008~2016, shaded in green), and rapid increase (2017~2024, shaded in red), respectively.
연도별 관측소 수와 대기오염물질의 연평균 농도 변화 사이의 관계를 파악하고자 두 데이터 간 상관분석을 실시한 결과는 그림 5와 같다. 오존(O3)을 제외한 오염물질(SO2, CO, NO2, PM10, PM2.5)은 연도별 관측소 수와 강한 음의 상관관계를 보였다. 이는 관측소 수가 증가함에 따라 해당 지역의 연평균 농도가 점진적으로 감소하는 경향을 나타낸다. 특히 전체 기간 동안 관측지점의 수가 일정했던 서울을 제외한 수도권(경기, 인천)과 일부 광역시(부산, 울산)에서는 NO2와 PM2.5에서 약 -0.9에 달하는 높은 음의 상관계수가 산출되었다. 이는 기존 관측지점이 배출원이 밀집된 도심지에 소수의 관측소가 집중되어 있었으나, 신규 관측소가 근처 주거지 또는 교외 지역으로 확장되면서 대기오염물질의 지역 단위 평균 농도가 낮아지는 효과가 반영되는 것으로 판단된다. 한편 오존(O3)은 대부분의 지역에서 관측소 수가 늘어날수록 오존의 평균 농도가 증가하는 양의 상관관계를 보였다. 이는 오존이 전구물질 농도가 낮은 교외 및 배경 지역에서도 상대적으로 높은 농도를 나타내는 특성과 관측망 확장의 공간적 방향성이 상호작용한 결과로 판단된다.
Pearson correlation coefficients between the annual number of monitoring stations and (top) annual mean concentrations and (bottom) annual standard deviations of major air pollutants(SO2, CO, NO2, PM10, PM2.5, and O3) across administrative regions in Korea.
그림 5의 연도별 표준편차와의 상관관계는 연평균 농도와의 관계와 달리 전반적으로 낮은 상관계수를 보였으며, 지역별로 차이가 크게 나타났다. 예를 들어, 음의 상관관계가 나타난 일부 지역(예: 경남, 전남의 PM2.5)과, 상관관계가 거의 없거나 양의 상관관계를 나타낸 지역(예: 세종의 PM10, PM2.5)이 혼재하였다. 이러한 결과는 관측소 수의 증가가 농도 변동성에 미치는 영향이 지역 및 오염물질 특성에 따라 복합적임을 시사한다. 그리고 관측소 수 증가는 공간 대표성 향상에는 기여하나, 지역 내 연도별 농도 변동성을 설명하는 데는 한계가 있을 수 있음을 보여준다. 다만 SO2와 CO의 경우, 지점 중심의 배출원과 낮은 배출 수준 특성으로 인해 관측망 확충이 지역 간 농도의 공간적 편차를 줄이는 방향으로 작용하며 강한 음의 상관성이 나타나는 것으로 판단된다.
이상의 결과는 관측망 확충이 단순한 지점 수 증가를 넘어, 관측소의 공간적 배치 특성과 오염물질의 화학·물리적 생성 메커니즘과 밀접하게 연관되어 있음을 보여준다. 특히 평균 농도의 경우, 관측망 밀도 증가가 대표성 확보와 추세 해석의 안정성 향상에 기여하였으나, 표준편차와 같은 변동성 지표는 지역 및 오염물질에 따라 차별적인 반응을 보였다. 따라서 향후 대기질 시계열 분석 및 정책 활용에 있어서는 관측망 확충 효과를 평균 농도와 변동성 지표로 구분하여 평가하는 접근이 필요하다.
3. 3 관측지점의 수가 평균 농도에 미치는 영향도
시도별 관측소 확충이 대기오염물질 평균 농도에 미치는 정량적 영향을 분석하였다. 그림 4에서 나타난 관측지점 수의 증감 추세를 기준으로, 완만한 성장기, 둔화된 정체기, 급증기 등 세 시기를 구분하여 총 네 가지 운영 시나리오를 설계하였다. 첫 번째 시나리오(Scenario 1)는 2000년까지 설치된 기존 관측소 데이터를 활용하여 평균 농도를 산출하였으며, 두 번째와 세 번째 시나리오(Scenarios 2와 3)는 각각 2007년과 2016년까지 추가된 신규 관측소를 포함하였으나 이후 설치된 관측소는 제외되었다. 마지막으로 네 번째 시나리오(Scenario 4)는 2024년 현재 운영 중인 모든 관측소 데이터를 반영하여 실제 관측 기반의 평균 농도를 산출하였다. 이러한 체계적인 접근법을 통해 지역별로 확충된 관측소의 관측 데이터가 대기오염물질 평균 농도에 미치는 영향을 종합적으로 파악할 수 있다(Morss and Emanuel, 2002).
그림 6에서는 시나리오별 연평균 NO2 농도 변동 양상이 강원, 경기, 충남, 제주 지역 사례를 중심으로 제시된다. 분석 결과, 관측망 확충이 오염 농도의 변동성을 현저히 완화하는 효과를 가진 것으로 나타났다. 시나리오 1에서 3까지는 제한된 관측망 밀도를 기반으로 한 반면, 시나리오 4는 2024년까지 확장된 관측소를 포함해 상대적으로 안정적인 평균 농도 편차를 보여주었다. 이러한 결과는 신규 관측소 추가가 공간적 대표성에 지대한 영향을 미쳤음을 암시하며, 특히 관측지점이 급격히 늘어난 시기에는 시나리오 간 차이가 뚜렷하게 드러났다. 충남 지역에서는 관측지점 수 증가와 동시에 고농도 신규 관측소의 설치 및 강화된 배출 규제 정책이 복합적으로 작용하여 독특한 농도 변화 패턴이 관찰되었다. 본 연구는 관측망 확충이 단순한 관측 데이터의 증가에 그치지 않고, 공간적 대표성 확보와 더불어 장기 대기질 시계열 분석의 신뢰성 제고에 핵심적인 기여를 한다는 점을 명확히 확인하였다. 향후 대기질 관측망 구축 및 개선 방안에서는 관측소 수의 양적인 확대뿐 아니라, 각 지역 특성에 맞는 최적의 관측 위치 선정과 공간적 분포 전략이 필수적임을 강조한다(Seo et al., 2024).
Comparison of yearly mean NO2 concentrations under different monitoring station scenarios(Scenario 1~3 vs. Scenario 4).
이러한 비교를 정량적으로 분석하기 위하여 관측지 개수가 조정된 Scenario 1부터 3과 조정되지 않은 Scenario 4 간의 차이값을 Δ농도(Scenario-Scenario 4)로 정의하였다. Δ농도가 양수일 경우, 제한된 관측망이 특정 고농도 지점에 치우쳐 평균 농도를 과대 추정했음을 의미하며, 음수일 경우 신규 관측소가 고농도 지역에 추가되어 평균이 높아졌음을 의미한다. Δ농도가 0에 근접한 경우는 관측망 변화에도 평균 농도가 안정적으로 유지되었음을 시사한다.
그림 7은 Scenario 1부터 3과 Scenario 4 간의 차이를 기반으로 산출한 전국 평균 Δ농도의 연도별 변화를 보여준다. 전체적으로 Δ농도의 크기와 방향은 대기오염물질별로 상이하게 나타났으며, 이는 관측망의 수와 분포에 따른 농도 산정의 민감도가 오염물질별 특성에 따라 다르게 작용함을 반영한다. SO2와 NO2는 2010년대 이후부터 Δ농도의 증가가 뚜렷하게 나타났으며 특히 2018년 이후 그 차이가 확대되었다. 이는 상대적으로 국지적 배출원의 영향을 강하게 받는 기체 오염물질이 관측망 변화에 더 민감하게 반응했음을 의미한다. CO와 PM 계열(PM10, PM2.5) 또한 2018년 이후 시나리오 간 차이가 크게 확대되었으며, 장거리 수송 및 배경농도에 의해 영향을 받는 물질도 관측망의 공간 불균형에 민감할 수 있음을 확인하였다. 반면, O3의 경우 다른 Δ농도의 절대값이 상대적으로 작았으며, 이는 오존의 생성 및 소멸 과정이 다변수적 요인에 의해 지배되는 특성을 반영한다.
Annual changes in national average concentration differences of air pollutants(SO2, CO, NO2, O2, PM2, and PM2) calculated by comparing Scenarios 1~3 with Scenario 4 over the period from 2001 to 2024.
본 연구에서 시나리오별 농도 변화(Δ농도)의 비교 분석 결과, 눈에 띄는 패턴들이 나타났다. 특히 Scenario 1과 4 사이에서 가장 뚜렷한 차이가 관찰되었고, Scenario 2와 4, 그리고 3과 4 사이에서는 비교적 미미한 변화가 나타났다. 이로부터 연도별 관측지점 수 증가는 전국 평균 농도 산출의 대표성을 유의미하게 향상시킨다는 점을 시사한다. 대기오염물질별 농도 변동을 면밀히 분석한 결과, SO2는 2005년 이후로 지속적인 양(+)의 변화와 함께 과대 추정 경향을 보였다. CO는 2018년 경부터 상당한 변동 폭을 드러냈으며, NO2는 전체 기간 동안 점차 증가하다가 2020년 이후 급격한 상승세를 보였다. 미세먼지(PM10과 PM2.5) 농도는 특히 2018년 이후 급격한 증가 양상을 보였는데, 이는 국외에서 유입되는 대기오염물질과 복합적인 기상 요인 간 상호작용에서 기인한 것으로 해석된다 (Park et al., 2024).
그림 8은 관측지점의 설치 수 변화를 기준으로 세 시기, 즉 2001~2007년, 2008~2016년, 그리고 2017~2024년으로 구분하여 주요 대기오염물질별 농도 변화량을 바이올린 플롯으로 비교한 결과를 보여준다. 본 분석은 각 기간별 시나리오 간 농도 분포의 통계적 변이를 시각화함으로써, 대기오염 동향을 시공간적으로 종합적으로 평가하는 데 초점을 맞추었다.
National average concentration variations of air pollutants(SO2, CO, NO2, O3, PM10, and PM2.5) across three comparative measurement scenarios from 2001 to 2024.
SO2의 경우, 전체 기간에 걸쳐 Scenario 1부터 Scenario 4까지 상대적으로 높은 농도 분포를 보였으며, 특히 2000~2007년과 2008~2016년 구간에서 양(+)의 뚜렷한 편향이 관측되었다. 이는 해당 기간 동안 시행된 배출 저감 정책과 산업 구조의 변화와 깊은 연관성이 있음을 시사한다. 2017년부터 2024년까지는 시나리오 간 농도 차이가 점차 수렴하는 경향을 보였는데, 이는 최근 강화된 환경 규제와 기술 혁신의 효과가 반영된 것과 관련이 있다(Seo et al., 2024). 2017~2024년 기간에는 시나리오 간 차이가 점진적으로 수렴하는 경향을 보여, 최근의 강화된 환경 규제와 기술적 혁신의 효과를 반영한다.
CO 농도 변동성이 세 기간 동안 가장 컸던 것은 복합적인 배출원 특성과 지역별 배출 패턴의 차이에서 기인한다. 특히 2017년부터 2024년 구간에서 Scenario 1~4는 현저히 높은 농도 분포를 보여, 이러한 높은 변동성은 도시 내 교통량, 난방 사용, 산업 배출 등 다양한 요인들의 지역적 불균형에서 비롯된 것으로 판단된다(Hwang et al., 2023). 대조적으로 Scenario 2~4와 3~4에서는 보다 안정적인 농도 분포가 관찰되었는데, 이는 일부 시나리오에서 비교적 표준화된 관측망 구성을 통해 지역 대표성 확보가 어느 정도 이루어졌기 때문으로 해석된다.
NO2 농도는 초기 시기에 시나리오 간 유의미한 차이가 크지 않았으나, 2008년 이후부터는 특히 Scenario 1~4와 2~4에서 농도 분포가 일정한 양의 흐름을 보이기 시작했다. 2017년 이후 모든 시나리오에서 농도 증가가 관찰되었는데, 이는 급격한 도시화 진행과 도로 교통량의 증가에 따른 배출원 특성 변화가 직접적인 원인으로 작용한다. 대도시권을 중심으로 교통 혼잡도는 NOx 배출량에 큰 영향을 미치며, 출퇴근 시간대에 교통량 급증에 따른 NO2 농도 상승이 두드러진다 (Kim et al., 2016). 또한, 산업 및 에너지 소비 증가도 NO2 농도 변동에 일정 부분 기여한 것으로 보고된다 (Park et al., 2013). 부가적으로, NO2는 광화학 반응을 통해 O3과 입자상물질 생성에 관여하며, 이는 일사량과 온도에 크게 의존한다. 이로 인한 대기중의 농도 증가는 추가된 관측지점에서 전체 평균값에 기여할 수 있다.
O3은 대기 중에서 주로 질소산화물(NOx)과 휘발성유기화합물(VOCs)의 광화학 반응에 의해 생성되며, 특히 전구물질 농도의 변화와 기상 조건에 의해 복합적으로 영향을 받는다(Sindhu et al., 2025). 2017년부터 2024년 사이 Scenario 1~4에서 오존 농도 변동성이 두드러진 것은 이 기간 동안 전구물질 배출량의 변화와 더불어 온도 상승과 같은 기후변화 요인의 결합 효과에 기인한다. 특히 서울과 같은 대도시 지역에서는 도시화 및 교통 배출원의 운영 패턴 변화뿐 아니라 VOCs 저감 정책의 상대적 미흡이 오존 농도 증가에 영향력을 행사하였다(SI, 2025). 이러한 현상은 광화학적 스모그 발생을 악화시키고, 건강 및 환경에 미치는 부정적 영향이 증가함을 시사한다.
PM10과 PM2.5의 농도 분석에서는 시기별 뚜렷한 특성이 관찰되었다. 2000~2007년 기간 동안 PM10은 감소 추세를 보였으나, 2017~2024년 구간에서는 Scenario 1~4에서 양의 농도 분포가 확대되는 현상이 확인되었다. 반면 PM2.5는 2008~2016년 Scenario 2~4 구간에서 의미 있는 증가 분포를 보였으며, 2017~2024년에는 비교적 균일한 분포를 유지하였다. 이는 대기오염물질의 시공간적 변동성과 배출 기원의 복합적 상호작용에서 기인한다. 예를 들어, 서울 및 서산 지역에서 PM2.5 내 유기탄소(OC)와 탄소성분(EC)의 농도가 증가함에 따라 PM2.5 농도 자체가 상승하는 경향이 관찰되었고, 계절별 및 지역별 기상 조건과 국내외 입자상 물질의 영향을 받는 것으로 보고되었다(Lee et al., 2022b).
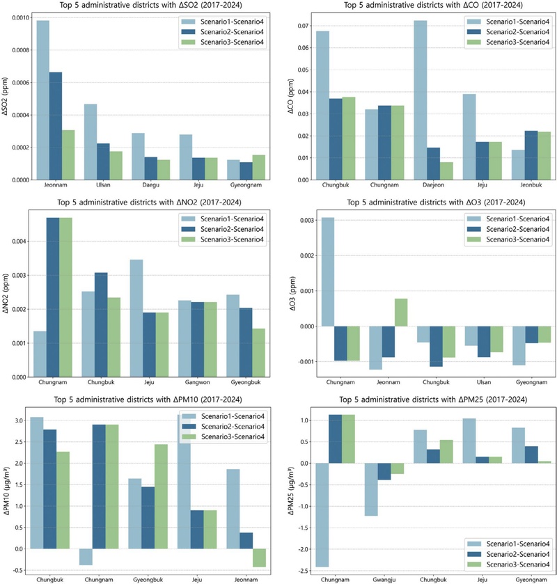
그림 9는 관측지점 수가 급격히 증가한 시기 동안, 대기오염물질별 농도 변화를 전국 평균값과 비교해 상위 5개 시도의 Δ농도 결과를 제시한다. 분석 결과, 오염물질별 농도 변화에 대한 지역별 민감도는 크게 차이를 보였다. 각 지역의 특화된 배출원이 농도 변화에 결정적 영향을 미치는 것으로 보인다. ΔSO2는 전남, 울산, 대구 등 산업 밀집 지역에서, ΔCO는 충북, 충남, 대전 등 내륙지역에서, ΔNO2는 충남, 충북, 제주에서 두드러진 변화를 나타냈다. ΔO3는 충남에서 특히 높은 변동성을 보였는데, 이는 오존 생성이 NOx 및 VOCs 등의 전구물질 배출량 변동과 복잡한 광화학 반응에 크게 의존하기 때문이다(Tian et al., 2025). ΔPM10과 ΔPM2.5는 충북과 충남에서 현저한 농도 변화를, 전남과 경북에서도 상당한 차이를 보여 이차 생성 입자 및 장거리 이동 오염물질의 영향을 강하게 시사한다(Ueda and Carmichael, 1995). 이러한 결과는 대기오염물질 농도의 공간적 비균일성을 강조하며, 획일적인 관리 방식을 넘어서 지역별 특성을 반영한 맞춤형 대기질 관리가 필요함을 나타낸다.
4. 요약 및 결론
본 연구는 국내 대기오염 측정망의 관측지점 밀도 변화가 대기질 농도 시계열 해석에 미치는 영향을 정량적으로 검증하고자, 2001년부터 2024년까지 Air Korea의 최종 확정 데이터를 사용해 전국 및 시·도 단위 주요 대기오염물질(PM10, PM2.5, NO2, SO2, CO, O3)의 장기 관측자료를 분석하였다. 관측망 확장 시기의 구조적 변동성을 반영하여 네 가지 관측 시나리오(Scenario 1~4)를 설정하고, 각각의 연평균 농도 및 농도 변화(Δ농도)를 비교하였다.
결과적으로, 관측지점이 고농도 지역에 불균등하게 분포할 경우, 전체 평균 농도 산출에 유의미한 오차가 발생함을 확인하였다. 특히 2017년 이후 관측망 확장에 따라 PM10, PM2.5, NO2 농도에서 변동성이 커진 것은 단순한 관측소 수 증대가 농도 안정성을 보장하지 않는다는 점을 명확히 보여준다. 시기별 분석을 통해 SO2와 NO2 농도는 관측망 변화에 민감하게 반응하는 반면, CO와 PM 계열은 배출 저감 정책과 장거리 이동의 영향으로 농도 변동 폭이 커진 점이 특징적이었다. 한편, O3은 상대적으로 변동 폭이 좁게 나타나, 광화학적 반응과 대기 순환이 복합적으로 작용함을 시사한다. 지역 단위로 살펴보면, 강원, 경북, 충남 지역에서 NO2와 미세먼지 농도의 변동성이 크게 나타났으며, 이는 지역별 특화된 산업 구조와 배출원 밀도가 관측망의 대표성에 미치는 중요한 요소임을 확인했다.
본 연구는 관측망 밀도와 공간 배치가 대기질 데이터의 정확성과 신뢰성에 미치는 영향을 실증한 점에서 의미가 있으며, 시나리오 분석을 통해 지역 맞춤형 대기질 관리의 필요성도 제안한다. 향후 연구에서는 고해상도 위성 관측자료와 수치 모델링을 통합한 다변량 분석이 보완되어야 하며, 이를 통해 관측망 확장 및 재배치가 대기질 추정에 미치는 영향을 더 정밀하게 평가할 수 있을 것이다.
Acknowledgments
이 논문은 2025년 서울특별시의 재원으로 서울연구원의 지원 (2025-PR-01)을 받아 수행되었습니다.
References
-
Baca-López, K., Fresno, C., Espinal-Enríquez, J., Martínez-García, M., Camacho-López, M.A., Flores-Merino, M.V., Hernández-Lemus, E. (2021) Spatio-tmporal representativeness of air quality monitoring stations in Mexico City: Implications for public health, Frontiers in Public Health, 8.
[https://doi.org/10.3389/fpubh.2020.536174]
-
Bai, J., Perron, P. (2003) Computation and analysis of multiple structural change models, Journal of Applied Econometrics, 18(1), 1-22.
[https://doi.org/10.1002/jae.659]
-
Brauer, M., Freedman, G., Frostad, J.J., Donkelaar, A.V., Martin, R.V., Dentener, F.J., Dingenen, R.V., Estep, K., Amini, H., Apte, J.S., Balakrishnan, K., Barregard, L., Broday, D.M., Feigin, V.L., Ghosh, S., Hopke, P.K., Knibbs, L.D., Kokubo, Y., Liu, Y., Ma, S., Morawska, L., Sangrador, J.L., Shaddick, G., Anderson, H.R., Vos, T., Forouzanfar, M.H., Burnett, R.T., Cohen, A.J. (2016) Ambient air pollution exposure estimation for the global burden of disease 2013, Environmental Science & Technology, 50(1), 79-88.
[https://doi.org/10.1021/acs.est.5b03709]
-
Brown, J.A., Robertson, B.L., Mcdonald, T.L. (2015) Spatially balanced sampling: application to environmental surveys, Procedia Environmental Sciences, 27, 6-9.
[https://doi.org/10.1016/j.proenv.2015.07.108]
-
Cassard, T., Jauvion, G., Lissmyr, D. (2020) High-resolution air quality prediction using low-cost sensors, ArXiv, abs/2006.12092, .
[https://doi.org/10.48550/arXiv.2006.12092]
-
Cha, H., Jun, C., Lee, J., Baik, J. (2023) Evaluation of air quality monitoring networks in Korea: focusing on wind direction and speed, Journal of Korean Society Hazard Mitigation, 23(2), 1-143, (in Korean with English abstract).
[https://doi.org/10.9798/KOSHAM.2023.23.2.1]
-
Di, Q., Dai, L., Wang, Y., Zanobetti, A., Choirat, C., Schwartz, J.D., Dominici, F. (2017) Association of short-term exposure to air pollution with mortality in older adults, Journal of the American Medical Association, 318(24), 2446-2456.
[https://doi.org/10.1001/jama.2017.17923]
-
Hopf, F.A., Brown, J.H. (1986) The Bull’s-Eye method for testing randomness in ecological communities, Ecology, 67(5), 1139-1155.
[https://doi.org/10.2307/1938670]
-
Hwang, K., Park, S., Lee, G.H., Noh, S., Kim, J., Lee, J., Park, J., Kim, J. (2023) Policy recommendation for region air quality management and change of air pollutants emission in ChungNam base on modified CAPSS, Journal of Korean Society for Atmospheric Environment, 39(4), 492-524, (in Korean with English abstract).
[https://doi.org/10.5572/KOSAE.2023.39.4.492]
-
Jerrett, M., Arain, A., Kanaroglou, P.S., Beckerman, B.S., Potoglou, D., Sahsuvaroglu, T., Morrison, J., Giovis, C. (2005) A review and evaluation of intraurban air pollution exposure models, Journal of Exposure Analysis and Environmental Epidemiology, 15, 185-204.
[https://doi.org/10.1038/sj.jea.7500388]
-
Jung, C.H., Kim, Y.P. (2024) Current status of air quality and greenhouse gas monitoring networks: case studies from various countries and implications for South Korea, Journal of Korean Society for Atmospheric Environment, 40(6), 704-732, (in Korean with English abstract).
[https://doi.org/10.5572/KOSAE.2024.40.6.704]
-
Kim, J.S., Choi, Y.J., Lee, K., Kim, S. (2016) Relation with activity of road mobile source and roadside nitrogen oxide concentration, Journal of Korean Society for Atmospheric Environment, 32(1), 9-20, (in Korean with English abstract).
[https://doi.org/10.5572/KOSAE.2016.32.1.009]
-
Kim, P., Shin, S., Kim, C.H., Park, J., Hwang, K., Kim, J.B., Park, J., Kim, J. (2024) Annual variations of PM10, PM2.5 and PM1.0 fraction at an urban site in Ansan, Korea, Journal of Environmental Analysis, Health and Toxicology, 27(3), 175-184, (in Korean with English abstract).
[https://doi.org/10.36278/jeaht.27.3.175]
-
Kim, Y.P., Lee, G. (2018) Trend of air quality in Seoul: policy and science, Aerosol and Air Qualiy Research, 18(9), 2141-2156.
[https://doi.org/10.4209/aaqr.2018.03.0081]
-
Lee, K., Choi, M., Park, S., Hong, C. (2022a) Characteristics of air quality measurements during the 2018 intensive observation period in Gangneung port, Journal of Korean Society for Atmospheric Environment, 38(4), 588-598, (in Korean with English abstract).
[https://doi.org/10.5572/KOSAE.2022.38.4.588]
-
Lee, K., Park, S. (2023) Monitoring and prediction of smoke emitted from the large explosion accident: 2015 Tianjin explosion case, Journal of Korean Society for Atmospheric Environment., 39(2), 178-189, (in Korean with English abstract).
[https://doi.org/10.5572/KOSAE.2023.39.2.178]
-
Lee, K.H., Lee, K.T. (2020) Characteristics of atmospheric aerosols based on column measurements by using machine learning clustering, Journal of Korean Society for Atmospheric Environment, 36, 608-619, (in Korean with English abstract).
[https://doi.org/10.5572/KOSAE.2020.36.5.608]
-
Lee, K.-H., Shin, S.-K. (2022) Effect of reduced emissions from thermal power plants in China on local air quality improvement, Journal of Korean Society for Atmospheric Environment, 38(2), 304-317, (in Korean with English abstract).
[https://doi.org/10.5572/KOSAE.2022.38.2.304]
-
Lee, Y.H., Teng, Z., Kim, K.A., Lee, K., Park, S.C., Lee, J.Y. (2022b) Characteristics of organic compounds in PM2.5 at Seosan: comparison of organic compounds in PM2.5 at Seoul, Journal of Korean Society of Environmental Engineers, 44(5), 150-160, (in Korean with English abstract).
[https://doi.org/10.4491/KSEE.2022.44.5.150]
- Ministry of Environment of Korea (ME) (2017) Comprehansive management plan for fine particulate matters. https://me.go.kr/home/file/readDownloadFile.do?fileId=152146&fileSeq=1
- Ministry of Environment of Korea (ME) (2024) Guidelines for the Installation and operation of the ambient air quality monitoring network, 11-1480523-005330-01, NIER-GP2024-001. https://dl.nanet.go.kr/SearchDetailView.do?cn=MONO12024000014624
-
Morss, R.E., Emanuel, K.A. (2002) Influence of added observations on analysis and forecast errors: Results from idealized systems, Quarterly Journal of the Royal Meteorological Society, 128(579), 285-321.
[https://doi.org/10.1256/00359000260498897]
-
Park, C., Oh, S., Ki, S.M., Choi, W., Bae, M.-S. (2020) Reflection of mitigation strategy for air pollution based on clean air policy support system: concentration analysis from the atmospheric monitoring network in the Seoul and Gwangju Areas, Journal of Korean Society for Atmospheric Environment, 36(2), 228-239, (in Korean with English abstract).
[https://doi.org/10.5572/KOSAE.2020.36.2.228]
-
Park, J., Kim, E., Kang, Y., Kim, S. (2024) Assessment of provincial air quality based on air quality index during 2016-2022, Journal of Korean Society for Atmospheric Environment, 40(2), 225-241, (in Korean with English abstract).
[https://doi.org/10.5572/KOSAE.2024.40.2.225]
-
Park, M.-J., Jo, Y.-M., Sung, D.-Y., Kim, M.-J., Park, Y.-K. (2013) Simulation study of NOx dispersion from power plant stack gas, Journal of Oil & Applied Science, 30(3), 540-550, (in Korean with English abstract).
[https://doi.org/10.12925/JKOCS.2013.30.3.540]
-
Peters, D.R., Popoola, O.A.M., Jones, R.L., Martin, N.A., Mills, J., Fonseca, E.R., Stidworthy, A., Forsyth, E., Carruthers, D., Dupuy-Todd, M., Douglas, F., Moore, K., Shah, R.U., Padilla, L.E., Alvarez, R.A. (2022) Evaluating uncertainty in sensor networks for urban air pollution insights, Atmospheric Measurement Technique, 15, 321-334.
[https://doi.org/10.5194/amt-15-321-2022]
-
Seo, J., Kang, Y., Kim, E., Jeong, S., Kim, J., Kim, S. (2024) Changes in domestic emissions impact on provincial PM2.5 and NO2 concentrations during the 1st to 4th seasonal PM management periods, Journal of Korean Society for Atmospheric Environment, 40(2), 242-262, (in Korean with English abstract).
[https://doi.org/10.5572/KOSAE.2024.40.2.242]
-
Sindhu, S., Jain, C.D., Ratnam, M.V. (2025) Understanding the effect of seasonal variability of VOCs and NOx on the ozone budget and its photochemical processing over a rural atmosphere, Environmental Science and Pollution Research International, 32(11), 6770-6783.
[https://doi.org/10.1007/s11356-025-36150-8]
-
Stevens, D.L., Olsen, A.R. (2004) Spatially balanced sampling of natural resources, Journal of the American Statistical Association, 99, 262-278.
[https://doi.org/10.1198/016214504000000250]
-
Su, L., Gao, C., Ren, X., Zhang, F., Cao, S., Zhang, S., Chen, T., Liu, M., Ni, B., Liu, M. (2022) Understanding the spatial representativeness of air quality monitoring network and its application to PM2.5 in the mainland china, Geoscience Frontiers, 13(3), 101370.
[https://doi.org/10.1016/j.gsf.2022.101370]
- The Seoul Institute (SI) (2025) Analysis of the relationship between precursor substances (VOCs) and ozone concentrations for improving ozone levels in Seoul, 2024-BR-09. https://www.si.re.kr/bbs/view.do?pstSn=2506260006&key=2024100039
-
Tian, Y., Wang, S., Jin, X. (2025) Global patterns and trends in ground-level ozone chemical formation regimes from 1996 to 2022, Atmospheric Chemistry Physics, 25(16), 9127-9149.
[https://doi.org/10.5194/acp-25-9127-2025]
-
Ueda, H., Carmichael, G.R. (1995) Formation of secondary pollutants during long-range transport and its contribution to air quality in East Asia, Terrestrial Atmospheric and Oceanic Sciences, 6, 487-500.
[https://doi.org/10.3319/TAO.1995.6.3.487(REC)]
- Wilks, D.S. (2020) Statistical methods in the atmospheric sciences (4th ed.), Academic Press.
-
Wilson, J.G., Kingham, S., Pearce, J.R., Sturman, A. (2005) A review of intraurban variations in particulate air pollution: Implications for epidemiological research, Atmospheric Environment, 39(34), 6444-6462.
[https://doi.org/10.1016/j.atmosenv.2005.07.030]
-
Wong, M.S., Zhu, R., Kwok, C.Y.T., Kwan, M., Santi, P., Liu, C.H., Qin, K., Lee, K., Heo, J., Li, H., Ratti, C. (2021) Association between NO2 concentrations and spatial configuration: a study of the impacts of COVID-19 lockdowns in 54 US cities, Environmental Research Letters, 16(5), 054064.
[https://doi.org/10.1088/1748-9326/abf396]
-
Yatkin, S., Gerboles, M., Belis, C.A., Karagulian, F., Lagler, F., Barbiere, M., Borowiak, A. (2020) Representativeness of an air quality monitoring station for PM2.5 and source apportionment over a small urban domain, Atmospheric Pollution Research, 11(2), 225-233.
[https://doi.org/10.1016/j.apr.2019.10.004]
이권호 (강릉원주대학교 복사위성연구소, 대기환경과학과 교수) (kwonho.lee@gmail.com)
신성균 (서울연구원 연구기획조정실 선임연구위원) (skyun@si.re.kr)
