Journal of Korean Society for Atmospheric Environment
[ Original Paper ]
Journal of Korean Society for Atmospheric Environment - Vol. 41, No. 5, pp.813-825
ISSN: 1598-7132 (Print) 2383-5346 (Online)
Print publication date 31 Oct 2025
Received 18 Aug 2025 Revised 28 Aug 2025 Accepted 28 Aug 2025
DOI: https://doi.org/10.5572/KOSAE.2025.41.5.813

2024년 대전지역 에어로졸 및 블랙카본의 광흡수계수와 배출원 분석

조이슬1) ; 임세희1), 2), * ; 윤원진1)
1)충남대학교 환경IT융합공학과
2)충남대학교 환경공학과
Light Absorption Coefficients and Source Apportionment of Aerosols and Black Carbon in Daejeon during 2024
I Seul Cho1) ; Saehee Lim1), 2), * ; Wonjin Youn1)
1)Department of Environmental IT Convergence Engineering, Chungnam National University, Daejeon, Republic of Korea
2)Department of Environmental Engineering, Chungnam National University, Daejeon, Republic of Korea

Correspondence to: *Tel : +82-(0)42-821-6678 E-mail : saehee.lim@cnu.ac.kr

Abstract

Black carbon (BC) is a major aerosol component affecting air quality, human health, and climate change. In this study, we measured aerosol light absorption coefficients and investigated the emission sources of BC in Daejeon during March~June, September, and November~December 2024. The BC absorption coefficient at 880 nm (babs,880) showed a seasonal pattern consistent with PM2.5 in terms of monthly means (highest in April, 3.1±1.6 Mm-1; lowest in September, 1.4±1.1 Mm-1), whereas daily average values of babs,880 above the 95th percentile were observed across different seasons. The contributions of fossil fuel combustion (79%) and biomass burning (21%) of light-absorbing aerosol reflect the typical emission characteristics of urban areas. During morning commuting hours, Daejeon showed the highest traffic density among the adjacent regions, with fossil fuel-derived babs,880 showed a distinct peak at 08:00~09:00 LT. Spatial correlation analysis of PM2.5 mass concentrations among thirteen air quality monitoring stations within Daejeon indicated that the basin topography facilitates similar pollutant transport patterns among peripheral areas and promotes the accumulation of locally emitted pollutants. Furthermore, babs,880 showed strong positive correlations with PM2.5 across the monitoring stations, demonstrating that the spatial distribution of PM2.5 and BC are jointly influenced by emission source types and topographic effects. Case studies revealed that, although fossil fuel combustion was the predominant year-round source in Daejeon, certain high PM2.5 episodes were influenced by biomass burning plumes transported from northeastern China. This study provides a basis for identifying BC sources in Daejeon and developing mitigation strategies.

Keywords:

Black carbon, Source apportionment, Light absorption coefficient, Traffic emission, Topographic effects

1. 서 론

블랙카본(black carbon, BC)은 화석연료와 식생의 불완전 연소로 인해 생성되는 대기 중 입자상 오염 물질이다(Bond et al., 2013). 2017년 기준 전 지구 인위적 BC 배출량은 약 6.2 Tg yr-1이며, 산불 배출량을 포함하면 총 전 세계 BC 배출량은 8.54 Tg yr-1에 달한다(Xu et al., 2021). 동아시아는 코크스 생산, 난방, 교통, 산업 등 다양한 배출원을 보유한 BC 배출 집중 지역이며, 특히 최근 수십 년간 디젤 차량의 급증이 배출 부담을 가중시켰다(Hoesly et al., 2018). BC는 교통 유래 대기오염물질의 대표 지표로 간주되며 인간 건강에 악영향을 미치는 주요 화학성분으로, 초미세먼지(PM2.5)의 질량농도보다 BC의 질량농도가 보다 신뢰도 높은 인자라고 보고된다(Janssen et al., 2011). BC 노출은 호흡기 질환(Lepeule et al., 2014; Jansen et al., 2005) 및 신경계 질환(Song et al., 2022; Gan et al., 2011)의 발생 위험을 증가시키는 것으로 보고되었다. 또한 발암 위험 역시 증가하는 것으로 나타났으며(Lequy et al., 2021; Lin et al., 2019), 일부 연구에서는 BC가 PM2.5 구성 성분 중 발암 가능성이 높은 핵심 성분으로 보고되었다(Yang et al., 2024).

BC는 오존과 함께 단기체류 기후변화 유발물질(short-lived climate forcer, SLCF)로서, 태양 복사 흡수, 구름 생성 과정 변형, 눈·얼음의 반사도 저하를 통해 기후변화를 촉진한다(Bond et al., 2013; Bond and Bergstrom, 2006). 또한 BC는 비-BC 에어로졸 성분과 혼합될 경우 광흡수 능력이 2배 이상 증가할 수 있으며, 이는 실험실 기반 실험, 현장 관측, 그리고 모델링 연구에서 모두 보고된 바 있다(Fierce et al., 2016; Peng et al., 2016; Mikhailov et al., 2006). 이러한 BC의 대기오염·건강·기후변화에 대한 복합적인 영향성으로 인해, 미국과 유럽에서는 공편익을 고려하여 에어로졸 광흡수계수에 대한 장기 관측 자료를 확보해왔으나(Collaud Coen et al., 2020), 국내의 경우 대부분이 단기 관측이거나 수도권에 국한되어 있어 지역 간 BC 배출 특성과 광학적 특성의 공간적 이질성을 충분히 반영하지 못하고 있다. 특히, 대전은 산업, 농업, 교통 등 다양한 BC 배출원이 공존하는 중부권 핵심 도시지만, 현재까지 BC를 중심으로 한 연구는 부족한 편이다. 이에 따라, 본 연구에서는 대전 대기 중 에어로졸 및 BC의 광학적 특성을 정량적으로 평가하고 복합적인 BC 배출 특성을 규명하고자 한다.


2. 방 법

2. 1 측정

측정은 2024년 3월 22일부터 12월 19일까지 대전광역시 유성구 궁동 충남대학교 대덕캠퍼스 공과대학 3호관 5층(36.37°N, 127.35°E)에서 수행되었으며, 7월, 8월, 10월에는 장비 점검 및 환경적 제약으로 측정이 이루어지지 못하였다(그림 1). 충남대학교는 도로, 주거지, 상업 시설이 밀집한 도심 지역에 위치해 대전 내 복합적인 오염원을 반영하는 입지적 특성을 지닌다. Tricolor Absorption Photometer (TAP, Brechtel Manufacturing)를 사용하여 365 nm, 528 nm, 652 nm 세 파장에서 에어로졸의 광흡수계수를 1초 해상도로 측정하였으며, TAP의 유량은 2 L min-1로 설정하였다.

Fig. 1.

Location of the measurement site in this study at Chungnam National University (CNU, 36.37°N, 127.35°E) in Daejeon, Republic of Korea. The zoomed-in satellite image shows the campus, which is surrounded by major roads, residential areas, and commercial facilities.

2. 2 BC의 광흡수계수 산출 및 오염원 분리

880 nm에서의 주요 광흡수 에어로졸은 BC로 알려져 있다(Yang et al., 2009; Ramachandran and Rajesh, 2007). TAP으로 측정한 세 파장에서의 광흡수계수에 광흡수의 파장 의존성을 나타내는 멱법칙(power-law)을 적용하여 880 nm에서의 광흡수계수(babs,880)를 산출하였고, 이를 BC의 광흡수계수로 사용하였다.

BC의 오염원 분리를 위해 Aethalometer 모델을 적용하여 화석연료 연소(fossil fuel, FF)와 식생소각(biomass burning, BB)을 구분하였다(Sandradewi et al., 2008). 계산에는 365 nm와 880 nm에서의 광흡수계수(babs,365, babs,880)를 사용하였으며, 식 (1)~(5)를 통해 365 nm와 880 nm에서의 FF 기원(babs,365,FF, babs,880,FF) 및 BB 기원(babs,365,BB, babs,880,BB) 광흡수계수와 FF 및 BB 기여도(fFF, fBB)를 산출하였다. BB와 FF의 기여도는 기본적으로 흡수 옹스트롱 지수(Absorption Ångström Exponent, AAE) 값을 활용하며, 각각 AAEFF와 AAEBB로 통칭한다. 최근 동북아시아 도심에서 사용되는 AAEFF와 AAEBB의 값은 0.9~1.1과 1.6~2.5 사이로 보고되었다(Zhang et al., 2024; Chen et al., 2022; Shen et al., 2021; Zheng et al., 2021; Xiao et al., 2020). AAE값이 약 1.0이면 화석연료 연소에서 기원한 BC가 풍부한 에어로졸로 간주하며, 이보다 더 큰 값은 식생소각 또는 먼지 기원의 에어로졸을 의미한다(Russell et al., 2010). 본 연구에서는 AAEFF와 AAEBB를 각각 0.9와 2.0으로 설정하였다. 한편, 365 nm와 880 nm 사이에서의 AAE (AAE365-880)는 식(6)을 이용해 산출하였다.

babs,365,FFbabs,880,FF=365880-AAEFF(1) 
babs,365,BBbabs,880,BB=365880-AAEBB(2) 
babs,λ=babs,FF,λ+babs,BB,λ(3) 
fFF%=babs,FF,880babs,880×100(4) 
fBB%=100-fFF(5) 
AAE=lnbabs,λ1babs,λ2lnλ1λ2(6) 

2. 3 기상 및 대기질 자료 수집과 공간상관성 분석

측정 지점의 기상요소는 충남대학교에서 약 3.5 km만큼 동쪽으로 떨어진 대전광역시 유성구 구성동에 위치한 기상청 대전지방기상청 기상자료를 사용하였다. PM2.5, NO2, CO 농도 자료는 충남대학교에 약 3.5 km만큼 서쪽으로 떨어진 대전광역시 유성구 노은동 측정소(도시대기측정망) 자료를 사용하였다. 한편, 공간상관성 분석 시에는 대전광역시 내 13개 대기 측정소(문창동, 읍내동, 구성동, 문평동, 성남동, 정림동, 둔산동, 노은동, 대성동, 상대동, 관평동, 대흥동, 월평동)의 PM2.5 자료를 사용하였다. 공간상관성은 각 측정소에서 관측된 오염물질 농도의 시간적 변동 패턴이 기준 지점과 얼마나 유사한지를 나타내며, 이를 위해 공간편차를 이용할 수 있다. PM2.5 농도의 공간편차는 특정 지점 s에서 t일에 측정된 농도와 같은 날 기준 지점에서 측정된 평균 농도의 차로 정의된다(Lee et al., 2025; Seo et al., 2024). 이 개념은 식(7)과 같이 나타낼 수 있다.

χt,s=χ-t+εt,s(7) 

여기서 χ-t는 전체 측정소에서 측정된 PM2.5 농도의 공간평균 시계열을 나타내며, ε(t,s)는 각 지점별 특성을 지닌 공간 편차의 시계열을 의미한다. 대전 내 각 측정소의 PM2.5 일평균 자료로 χ-t을 산출한 뒤, 이를 바탕으로 ε(t,s)을 구해 노은동 측정소와 다른 지점 간 공간상관성을 분석하였다. 기준 지점과 비교 지점이 양의 상관성을 보이면, 두 지역이 배출원과 수용지의 관계이거나 유사한 배출 특성 및 환경 조건으로 인해 대기오염물질의 국지적 변동을 함께 공유하는 것이다. 반면 음의 상관성을 보일 경우, 두 지역의 국지적 변동성이 전혀 일치하는 것으로 해석한다(Seo et al., 2024). 한편 BC와 PM2.5의 상관성을 조사하기 위하여, 충남대학교에서 측정한 BC의 광흡수계수(babs,880)와 대전 내 13개 측정소에서 측정된 PM2.5간의 상관 분석을 추가적으로 진행하였다. 이 경우 기준 물질(babs,880)과 비교물질(PM2.5)이 상이하므로, 앞서 사용한 공간 편차 기반의 공간상관성 분석을 적용하지 않고 단순 상관계수를 이용하였다.


3. 결과 및 고찰

3. 1 PM2.5 농도와 BC 광흡수계수의 시계열 분석

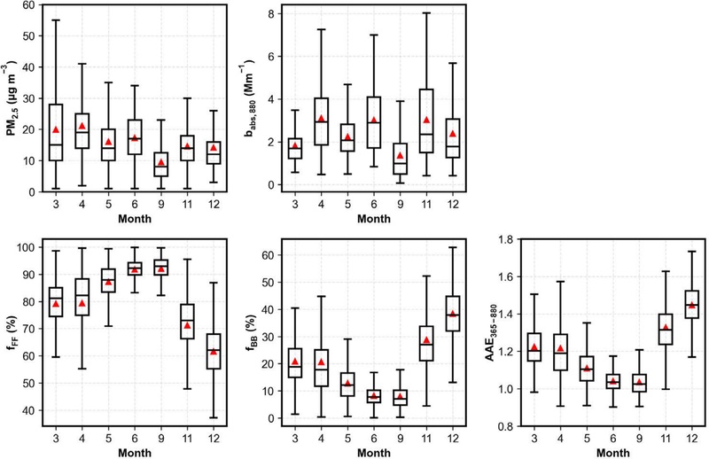
그림 2는 PM2.5와 babs,880의 일평균 시계열을 나타낸다. 전체 관측기간 동안(2024년 3~6월, 9월, 11~12월) PM2.5의 평균 농도는 19±11 μg m-3이었으며, WHO 권고기준인 15 μg m-3을 초과한 경우는 총 관측일수(203일) 중 약 36%에 해당하는 73일이었다. PM2.5 일평균 농도 상위 5% (30 μg m-3)에 해당하는 고농도 사례는 총 7일이었는데, 3월 29~30일, 4월 7일, 4월 17~18일, 5월 23~24일에 발생하여 봄철에 집중되었다. 월평균 PM2.5 농도 기준으로는 4월이 21±11 μg m-3로 가장 높았고, 9월이 10±7 μg m-3로 가장 낮았다(그림 3, 표 1). 한편, BC의 광흡수계수(babs,880)의 전체 평균은 2.5±1.6 Mm-1이었으며, 월평균 최대값은 4월 (3.1±1.6 Mm-1), 최소값은 9월 (1.4±1.1 Mm-1)에 나타나 PM2.5와 동일한 계절분포 경향성을 보였다. babs,880 일평균 값 상위 5%에 해당하는 사례는 총 7일로, 4월, 6월, 9월, 11월, 12월 등 다양한 시기에 분포하였다. 즉, PM2.5는 주로 봄에 높았던 반면, babs,880은 높은 흡광 계수 사례가 계절 전반에 걸쳐 나타났다.

Fig. 2.

Daily variations of PM2.5 mass concentration and babs,880 over the measurement period.

Fig. 3.

Monthly variations of PM2.5, babs,880, fFF, fBB, and AAE365-880. Each boxplot shows the interquartile range (25th-75th percentiles) with the median represented as a horizontal line, and the whiskers denote the 5th and 95th percentiles. Red triangles indicate the monthly mean values.

Monthly statistics (mean ± standard deviation) of PM2.5, babs,880, fFF, fBB, and AAE365-880.

전체 기간 동안 BC의 오염원 기여도는 FF가 평균 79%, BB가 21%로 약 4 : 1의 비율을 보여, FF가 대전 지역에서 BC 배출원의 주요 구성 요소임을 보여준다. 특히 3월에는 동일 건물 옥상에서 High Volume Sampler (TE-HVPLUS-BLX, TISCH)로 채취한 Quartz 필터로 △14C 기반의 동위원소(EC) 분석을 수행하였다. fM (14C/12C)값을 활용하여 현대(비화석) 및 화석연료 기여도를 평가한 결과, 3월 FF의 기여도는 약 67%로 나타났다. 이는 AAE를 활용하여 평가한 결과(fFF: 79%)와 유사한 수준이었으며, 약 10%의 차이는 측정 방법의 차이에서 기인한 것으로 판단된다. 따라서 본 연구에서 산출한 fFF 값은 일정 수준의 타당성을 가진다고 볼 수 있다. fFF는 6월과 9월에 92%로 가장 높았으며, 12월에는 62%로 가장 낮았다. 또 다른 오염원 지표인 AAE365-880 역시 6월과 9월에 1.0±0.1로 가장 낮고, 12월에 1.5±0.1로 가장 높았다. 이러한 결과는 여름철에는 화석연료 배출이 우세하고, 겨울철에는 복합적인 BC 배출원이 작용함을 시사한다.

3. 2 BC 광흡수계수의 일변화 분석

그림 4는 BC의 광흡수계수(babs,880,FF, babs,880,BB)와 3가지 대기오염물질(PM2.5, NO2, CO)의 일변화 그래프이다. babs,880,FF는 오전 출근시간대(08:00~09:00 LD)에 뚜렷한 피크를 보인 후 감소하다가, 16:00 LT 이후 다시 지속적으로 증가하는 경향을 보였다. 이와 동시에 PM2.5, NO2, CO 농도도 출근시간대에 함께 증가하여, 차량 배출원으로부터 기인한 BC 영향이 크게 작용함을 확인하였다.

Fig. 4.

Diurnal variations of babs,880,FF, babs,880,BB, PM2.5 mass concentration, NO2, and CO. Circle markers denote hourly mean values, error bars represent the standard deviation.

차량 배출원의 영향을 파악하기 위해 2023년 교통량 자료(Korea Transport Institute, 2025) 및 2024년 차량 등록 대수 자료(Ministry of Land, Infrastructure and Transport, 2025)를 활용하였으며, 지역 면적을 고려해 이를 단위 면적(km2)당 교통량 및 등록대수로 환산하였다. 그림 5는 대전과 인근 지역(세종, 충남, 충북, 경기)의 교통량 밀도의 일변화를 나타낸 것이다. 대전은 출퇴근 시간대에 뚜렷한 교통량 증가를 나타냈으며, 그 교통량 밀도는 인근 지역(충남, 충북, 경기)에 비해 현저히 높았다. 특히, 차량 등록 대수 밀도 또한 대전이 가장 높아(표 2), 대전은 도시 내부적으로 차량 보급과 통행 밀집도가 큰 지역임을 보여준다. 이러한 결과는 대전이 연중 차량 배출원 BC의 영향을 크게 받는 지역임을 시사한다.

Fig. 5.

Diurnal variation of traffic volume density in Daejeon and adjacent regions (Sejong, Chungnam, Chungbuk, Gyeonggi).

Vehicle registration density in Daejeon and adjacent regions (Sejong, Chungnam, Chungbuk, Gyeonggi) in 2024.

3. 3 PM2.5 고농도 사례 분석

측정 기간 동안 일평균 PM2.5 농도가 가장 높았던 두 날은 2024년 4월 17일(50 μg m-3)과 2024년 3월 29일(40 μg m-3)이었다. 특히 4월 17일은 관측기간 중 BC의 BB 기여도가 가장 높았던 사례로 fFF : fBB가 44 : 56이었다. 이때 babs,880,FF와 babs,880,BB는 모두 1.8 Mm-1이었으며, 3월 29일의 경우 fFF : fBB는 73 : 27, babs,880,FF와 babs,880,BB는 1.4 Mm-1와 0.3 Mm-1이었다. 기류 분석은 미국 해양대기청(National Oceanic and Atmospheric Administration, NOAA) 대기자원연구소 (Air Resources Laboratory, ARL)에서 개발한 Hybrid Single-Particle Lagrangian Integrated Trajectory (HYSPLIT) 모델을 이용하여 72시간 역궤적을 계산하였다(Stein et al., 2015). 그 결과, 4월 17일의 기류는 300 m, 500 m, 1000 m 모든 고도에서 중국 북동부 기원을 보였다(그림 6a). 또한, NASA Fire Information for Resource Management System (FIRMS)에서 제공하는 MODIS (Moderate Resolution Imaging Spectroradiometer) 위성의 화재 발생 지점(fire spot) 자료에서도 동일 기간 중국 북동부에서 식생소각이 활발히 발생하였다(그림 6b). 일반적으로 농업 잔재물 소각은 수확 후 비경작기인 10~11월과 이듬해 3~4월에 집중된다. 선행연구에 따르면, 2015년 11월 초 중국 북동부에서 발생한 대규모 농작물 소각이 국내 PM2.5 농도 증가에 상당한 영향을 미쳤으며(Lee et al., 2021), 위성 관측 데이터 기반 머신러닝 분석을 통해 중국 북동부에서의 농업 잔재물이 매년 3월 16일부터 4월 20일 사이에 가장 빈번하게 발생한다고 보고되었다(Bai et al., 2022). 즉, 이러한 결과는 2024년 4월 17일에 대전에서 관측된 고농도 PM2.5가 중국 북동부에서 기원한 농업 잔재물 소각 영향을 크게 받았을 가능성을 시사하며, 국외에서 발생한 식생소각 기원의 오염물질이 장거리 이동을 통해 국내 대기질 악화에 직접적으로 기여할 수 있음을 보여준다.

Fig. 6.

HYSPLIT backward trajectories on Apr 17, 2024 (Daily mean PM2.5: 50 μg m-3), with red, blue, and green lines representing transport pathways at altitudes of 300 m, 500 m, and 1000 m, respectively (a), and MODIS fire map (b). The MODIS fire map shows thermal anomalies as red points(approximately center of a 1 km pixel) detected from satellite observations.

한편 그림 7은 3월 29일에 유입된 기류의 궤적을 나타낸다. 측정 지점에서 300 m와 500 m 고도의 기류는 모두 24시간 이상 1 km 이하의 고도에서 한반도에 체류하여, 국지 오염원의 영향을 크게 받았을 가능성이 있다. 이러한 특성으로 미루어 볼 때, 대전 인근 국내 배출원에서 발생한 고농도 PM2.5가 직접적으로 기여했을 것으로 판단된다. 반면, 1000 m 고도의 기류는 시베리아에서 기원하여 몽골과 중국 북동부를 거쳐 유입되었다. 이날 평균 풍속은 2 m s-1 미만으로 낮아 대체로 대기가 정체되는 조건이었을 것으로 판단된다. 따라서 이러한 기상조건에서 주로 국지배출된 오염물질의 축적으로 고농도가 발생했을 가능성이 크다. 한편, 장거리 수송 오염물질의 유입이 고농도 발생에 일부 영향을 미쳤을 가능성도 있다. 추가적으로, 다른 PM2.5 고농도 사례인 4월 7일(PM2.5: 35 μg m-3)과 5월 24일(PM2.5: 34 μg m-3)의 역궤적도 검토하였다(그림 미제시). 4월 7일에는 모든 고도에서 중국 북동부 기류의 유입이 관찰된 반면, 5월 24일에는 이와 대조적으로 한반도 주변에서 재순환된 기류가 대전으로 유입되는 패턴이 나타났다. 이러한 비교는 중국 북동부 농업 잔재물 소각의 영향이 3~4월에 반복적으로 관찰됨을 보여준다.

Fig. 7.

HYSPLIT backward trajectories on Mar 29, 2024 (Daily mean PM2.5: 40 μg m-3), with red, blue, and green lines representing transport pathways at altitudes of 300 m, 500 m, and 1000 m.

3. 4 PM2.5 및 babs,880의 공간상관성 분석

그림 8은 노은동 측정소와 대전의 다른 측정소에서 측정된 PM2.5 농도 간 공간상관성을 전체 측정기간과 월별로 제시한 것이다. 이때 p값이 0.05 미만인 경우만 표시하였다. 노은동은 대전 외곽 지역 측정소와 높은 양의 상관성을 보인 반면, 중심부 측정소와는 음의 상관성을 보였다. 이는 대전이 식장산, 보문산 등으로 둘러싸인 분지 지형이어서(그림 10) 외곽 지역 간 오염물질 이동 패턴이 유사하며, 이러한 지형적 특성으로 인해 중심부 저지대에서는 오염물질이 빠져나가지 못하고 갇혀 국지적 오염이 강화될 가능성을 시사한다.

Fig. 8.

Spatial correlation of PM2.5 concentrations between the reference site (Noeun-dong monitoring station; marked with a black asterisk) and other monitoring stations in Daejeon. Colored circles indicate the locations of the monitoring stations, with the color scale representing correlation coefficient(r) for statistically significant cases(p<0.05).

그림 9는 충남대학교에서 관측한 babs,880과 노은동을 포함한 대전의 각 측정소의 PM2.5 농도 간 상관성을 나타낸 것이다. 3월의 경우 모든 지점에서 p>0.05로 통계적 유의성이 낮아 지도에 나타내지 않았다. babs,880은 대전의 대부분의 측정소의 PM2.5와 높은 양의 상관성을 보였다. 이는 충남대학교가 노은동 측정소보다 대전 중심부에 더 가까워, 중심부와 외곽의 경계에 위치함으로써 두 지역의 특성을 반영하기 때문이다. 또한 BC는 주로 자동차에서 배출되는 국지 배출원의 영향을 크게 받으므로, 중심부에서 발생하는 국지 배출 PM2.5와도 상관성이 높은 것으로 해석된다. 이러한 결과는 PM2.5와 BC의 공간분포 특성이 배출원 유형, 기상 조건뿐만 아니라 지형 요인에도 영향을 받음을 시사하며, 특히 대전과 같은 분지 지형의 지역에서는 그 영향이 더욱 뚜렷하게 나타날 수 있다.

Fig. 9.

Spatial correlation of babs,880 measured at the reference site (Chungnam National University, CNU; marked with a black triangle) and PM2.5 concentrations measured at all monitoring stations in Daejeon. Colored circles indicate the locations of the monitoring stations, with the color scale representing correlation coefficient(r) for statistically significant cases(p<0.05).

Fig. 10.

Topographic contour plot of Daejeon, with color scale representing elevation.


4. 결 론

본 연구는 2024년 3월 22일부터 12월 19일까지 (7~8월과 10월 제외) 대전광역시 도심부에서 TAP을 사용하여 에어로졸의 광흡수계수를 관측하였다. 측정 기간 PM2.5의 평균 농도는 19±11 μg m-3이었으며, 일평균 농도의 상위 5%에 해당하는 고농도 사례는 총 7일로, 주로 봄철에 집중되었다. PM2.5와 babs,880은 모두 4월에 최대, 9월에 최소였다. Aethalometer 모델을 적용한 BC의 오염원 기여도 분석 결과, FF와 BB의 평균 기여도는 각각 79%와 21%로, 대전 지역에서 FF가 주요 BC의 배출원임을 확인하였다. 일변화 분석에서 출근시간대에 babs,880,FF가 현저히 증가하였으며, 이는 자동차 배출의 영향을 강하게 반영하는 것으로 해석된다. 실제로 교통량 분석에 따르면, 대전은 단위면적당 교통량과 차량 등록 대수가 모두 가장 높아, 도시 내부적으로 차량과 통행이 집중되는 구조적 특성을 보였다. PM2.5 고농도 사례 분석 결과 4월 17일은 측정 기간 중 BB의 영향이 가장 컸으며(fBB: 56%), 3월 29일에는 FF가 73%로 우세하여 배출원 구성에서 뚜렷한 차이를 보였다. 공기역궤적 분석에 따르면, 4월 17일에는 중국 북동부에서 기원한 농업 잔재물 소각의 영향이 두드러졌고, 3월 29일에는 장거리 이송과 국지 배출의 복합적인 영향이 확인되었다. PM2.5 공간상관성 분석 결과, 대전의 외곽 지역 간 높은 상관성이 관찰되어 대전의 분지 지형에 따른 영향을 확인하였으며, 이에 따라 국지 배출된 입자상 오염물질이 저지대에서 정체될 가능성이 있는 것으로 나타났다. 한편, 충남대학교에서 측정한 babs,880은 대전 대부분의 측정소에서 관측된 PM2.5와 높은 양의 상관성을 보였다. 이는 해당 측정 지점이 대전의 중심부와 외곽의 경계에 위치해 두 영역의 영향을 복합적으로 받기 때문으로 해석되며, 지형적 특성이 공간 분포에 미치는 영향을 시사한다.

향후에는 강한 북서풍이 우세한 1~2월의 관측 자료를 확보한다면, 겨울철 광흡수 에어로졸의 고농도 발생 특성과 국외 기원의 유입 특성을 보다 정밀하게 규명할 수 있을 것이다. 또한, 기체 및 에어로졸 화학 성분 분석이나 위성·모델링 기반 연구와 연계하여 장기관측이 수행될 필요성이 있다. 이를 통해, 대전의 지역적 배출원 특성을 더욱 정밀하게 규명하고 국내외 타 지역과의 수준 비교 연구를 통해 대전의 특성을 상대적으로 평가할 수 있을 것이다. 이러한 관측 기반 연구결과는 BC의 배출원 추적과 더불어 향후 오염 저감 정책 수립의 과학적 근거로 활용될 수 있을 것으로 기대된다.

Acknowledgments

본 연구는 대전녹색환경지원센터의 2024년도 연구개발사업 지원에 의해 이루어진 것이며, 이에 감사드립니다. 또한 본 연구는 2025년도 정부 (산업통상자원부, RS-2025-02263037, 산업혁신인재성장지원사업)의 재원으로 한국산업기술진흥원의 지원과 2025년도 정부 (환경부, YL-WE-22-002, 폐자원에너지화전문인력 양성사업)의 재원으로 수도권매립지 관리공사의 지원과 4단계 두뇌한국21 사업 (4단계 BK21 사업)의 지원을 받아 수행되었습니다. 본 연구에 활용된 지상 관측 자료 (대기오염물질 농도, 종관기상)를 제공해주신 한국환경공단과 기상청에 감사드립니다.

References

  • Bai, B., Zhao, H., Zhang, S., Li, X., Zhang, X., Xiu, A. (2022) Forecasting crop residue fires in northeastern china using machine learning, Atmosphere, 13(10), 1616. [https://doi.org/10.3390/atmos13101616]
  • Bond, T.C., Bergstrom, R.W. (2006) Light absorption by carbonaceous particles: An investigative review, Aerosol Science and Technology, 40(1), 27-67. [https://doi.org/10.1080/02786820500421521]
  • Bond, T.C., Doherty, S.J., Fahey, D.W., Forster, P.M., Berntsen, T., DeAngelo, B.J., Flanner, M.G., Ghan, S., Karcher, B., Koch, D. (2013) Bounding the role of black carbon in the climate system: A scientific assessment, Journal of Geophysical Research: Atmospheres, 118(11), 5380-5552. [https://doi.org/10.1002/jgrd.50171]
  • Chen, W., Cao, X., Ran, H., Chen, T., Yang, B., Zheng, X. (2022) Concentration and source allocation of black carbon by AE-33 model in urban area of Shenzhen, southern China, Journal of Environmental Health Science and Engineering, 20(1), 469-483. [https://doi.org/10.1007/s40201-022-00793-3]
  • Collaud Coen, M., Andrews, E., Alastuey, A., Arsov, T.P., Backman, J., Brem, B.T., Bukowiecki, N., Couret, C., Eleftheriadis, K., Flentje, H. (2020) Multidecadal trend analysis of in situ aerosol radiative properties around the world, Atmospheric Chemistry and Physics, 20(14), 8867-8908. [https://doi.org/10.5194/acp-20-8867-2020]
  • Fierce, L., Bond, T.C., Bauer, S.E., Mena, F., Riemer, N. (2016) Black carbon absorption at the global scale is affected by particle-scale diversity in composition, Nature Communications, 7(1), 12361. [https://doi.org/10.1038/ncomms12361]
  • Gan, W., Koehoorn, M., Davies, H., Demers, P., Tamburic, L., Brauer, M. (2011) Long-term exposure to traffic-related air pollution and the risk of coronary heart disease hospitalization and mortality, Epidemiology, 22(1), S30. [https://doi.org/10.1289/ehp.1002511]
  • Hoesly, R.M., Smith, S.J., Feng, L., Klimont, Z., Janssens-Maenhout, G., Pitkanen, T., Seibert, J.J., Vu, L., Andres, R.J., Bolt, R.M., Bond, T.C., Dawidowski, L., Kholod, N., Kurokawa, J.I., Li, M., Liu, L., Lu, Z., Moura, M.C.P., O’Rourke, P.R., Zhang, Q. (2018) Historical (1750-2014) anthropogenic emissions of reactive gases and aerosols from the Community Emissions Data System (CEDS), Geoscientific Model Development, 11(1), 369-408. [https://doi.org/10.5194/gmd-11-369-2018]
  • Jansen, K.L., Larson, T.V., Koenig, J.Q., Mar, T.F., Fields, C., Stewart, J., Lippmann, M. (2005) Associations between health effects and particulate matter and black carbon in subjects with respiratory disease, Environmental Health Perspectives, 113(12), 1741-1746. [https://doi.org/10.1289/ehp.8153]
  • Janssen, N.A., Hoek, G., Simic-Lawson, M., Fischer, P., Van Bree, L., Ten Brink, H., Keuken, M., Atkinson, R.W., Anderson, H.R., Brunekreef, B. (2011) Black carbon as an additional indicator of the adverse health effects of airborne particles compared with PM10 and PM2.5. Environmental Health Perspectives, 119(12), 1691-1699. [https://doi.org/10.1289/ehp.1003369]
  • Korea Transport Institute (2025) Traffic volume data. https://viewt.ktdb.go.kr, (in Korean, accessed on Aug. 1, 2025).
  • Lee, E., Yu, N., Choi, S., Han, J., Oh, S.M., Yoo, H.-J., Kim, S., Seo, J., Lim, S. (2025) Spatial correlation analysis of carbonaceous aerosols and air pollutants observed in Anmyeondo Global Atmosphere Watch (GAW) regional station, Journal of the Korean Society for Atmospheric Environment, (in Korean with English abstract). 41(2), 372-389. [https://doi.org/10.5572/KOSAE.2025.41.2.372]
  • Lee, J.-J., Lee, J.-B., Kim, O., Heo, G., Lee, H., Lee, D., Kim, D.-g., Lee, S.-D. (2021) Crop residue burning in Northeast China and its impact on PM2.5 concentrations in South Korea, Atmosphere, 12(9), 1212. [https://doi.org/10.3390/atmos12091212]
  • Lepeule, J., Litonjua, A.A., Coull, B., Koutrakis, P., Sparrow, D., Vokonas, P.S., Schwartz, J. (2014) Long-term effects of traffic particles on lung function decline in the elderly, American Journal of Respiratory and Critical Care Medicine, 190(5), 542-548. [https://doi.org/10.1164/rccm.201402-0350OC]
  • Lequy, E., Siemiatycki, J., de Hoogh, K., Vienneau, D., Dupuy, J.-F., Gares, V., Hertel, O., Christensen, J.H., Zhivin, S., Goldberg, M. (2021) Contribution of long-term exposure to outdoor black carbon to the carcinogenicity of air pollution: Evidence regarding risk of cancer in the gazel cohort, Environmental Health Perspectives, 129(3), 037005. [https://doi.org/10.1289/EHP8719]
  • Lin, W., Dai, J., Liu, R., Zhai, Y., Yue, D., Hu, Q. (2019) Integrated assessment of health risk and climate effects of black carbon in the Pearl River Delta region, China, Environmental Research, 176, 108522. [https://doi.org/10.1016/j.envres.2019.06.003]
  • Mikhailov, E., Vlasenko, S., Podgorny, I., Ramanathan, V., Corrigan, C. (2006) Optical properties of soot-water drop agglomerates: An experimental study, Journal of Geophysical Research: Atmospheres, 111(D7). [https://doi.org/10.1029/2005JD006389]
  • Ministry of Land, Infrastructure and Transport (2025) Vehicle registration status, https://stat.molit.go.kr, (in Korean, accessed on Aug. 1, 2025).
  • Peng, J., Hu, M., Guo, S., Du, Z., Zheng, J., Shang, D., Levy Zamora, M., Zeng, L., Shao, M., Wu, Y.-S. (2016) Markedly enhanced absorption and direct radiative forcing of black carbon under polluted urban environments, Proceedings of the National Academy of Sciences, 113(16), 4266-4271. [https://doi.org/10.1073/pnas.1602310113]
  • Ramachandran, S., Rajesh, T. (2007) Black carbon aerosol mass concentrations over Ahmedabad, an urban location in western India: comparison with urban sites in Asia, Europe, Canada, and the United States, Journal of Geophysical Research: Atmospheres, 112(D6). [https://doi.org/10.1029/2006JD007488]
  • Russell, P., Bergstrom, R., Shinozuka, Y., Clarke, A., DeCarlo, P., Jimenez, J., Livingston, J., Redemann, J., Dubovik, O., Strawa, A. (2010) Absorption Angstrom Exponent in AERONET and related data as an indicator of aerosol composition, Atmospheric Chemistry and Physics, 10(3), 1155-1169. [https://doi.org/10.5194/acp-10-1155-2010]
  • Sandradewi, J., Prevot, A.S., Szidat, S., Perron, N., Alfarra, M.R., Lanz, V.A., Weingartner, E., Baltensperger, U. (2008) Using aerosol light absorption measurements for the quantitative determination of wood burning and traffic emission contributions to particulate matter, Environmental Science & Technology, 42(9), 3316-3323. [https://doi.org/10.1021/es702253m]
  • Seo, J., Kwon, J.-E., Kim, J., Yoon, D.-O., Kim, K., Lee, K., Kim, J. (2024) Spatial correlation analysis of local variability in PM2.5 in the Chungcheong area, Journal of Korean Society for Atmospheric Environment, 40(1), 131-148, (in Korean with English abstract). [https://doi.org/10.5572/KOSAE.2024.40.1.131]
  • Shen, L., Wang, H., Kong, X., Zhang, C., Shi, S., Zhu, B. (2021) Characterization of black carbon aerosol in the Yangtze River Delta, China: Seasonal variation and source apportionment, Atmospheric Pollution Research, 12(1), 195-209. [https://doi.org/10.1016/j.apr.2020.08.035]
  • Song, X., Hu, Y., Ma, Y., Jiang, L., Wang, X., Shi, A., Zhao, J., Liu, Y., Liu, Y., Tang, J. (2022) Is short-term and long-term exposure to black carbon associated with cardiovascular and respiratory diseases? A systematic review and meta-analysis based on evidence reliability, BMJ Open, 12(5), e049516. [https://doi.org/10.1136/bmjopen-2021-049516]
  • Stein, A.F., Draxler, R.R., Rolph, G.D., Stunder, B.J., Cohen, M.D., Ngan, F. (2015) NOAA’s HYSPLIT atmospheric transport and dispersion modeling system, Bulletin of the American Meteorological Society, 96(12), 2059-2077. [https://doi.org/10.1175/BAMS-D-14-00110.1]
  • Xiao, S., Yu, X., Zhu, B., Kumar, K.R., Li, M., Li, L. (2020) Characterization and source apportionment of black carbon aerosol in the Nanjing Jiangbei New Area based on two years of measurements from Aethalometer, Journal of Aerosol Science, 139, 105461. [https://doi.org/10.1016/j.jaerosci.2019.105461]
  • Xu, H., Ren, Y. a., Zhang, W., Meng, W., Yun, X., Yu, X., Li, J., Zhang, Y., Shen, G., Ma, J. (2021) Updated global black carbon emissions from 1960 to 2017: improvements, trends, and drivers, Environmental Science & Technology, 55(12), 7869-7879. [https://doi.org/10.1021/acs.est.1c03117]
  • Yang, L., Kang, N., Wang, N., Zhang, X., Liu, S., Li, H., Cao, L., Xue, T., Li, Z., Ji, J. (2024) Specifying the Associations between PM2.5 Constituents and Gastrointestinal Cancer Incidence: Findings from a Prospective Cohort Study in Beijing, China, Environmental Science & Technology, 58(49), 21489-21498. [https://doi.org/10.1021/acs.est.4c10986]
  • Yang, M., Howell, S., Zhuang, J., Huebert, B. (2009) Attribution of aerosol light absorption to black carbon, brown carbon, and dust in China-interpretations of atmospheric measurements during EAST-AIRE, Atmospheric Chemistry and Physics, 9(6), 2035-2050. [https://doi.org/10.5194/acp-9-2035-2009]
  • Zhang, Y., Han, Y., Dong, L., Deng, X., Ye, D., Shao, S. (2024) Spatiotemporal variations and source on black carbon over Chongqing, China: Long-term changes and observational experiments, Science of the Total Environment, 946, 174127. [https://doi.org/10.1016/j.scitotenv.2024.174127]
  • Zheng, H., Kong, S., Chen, N., Fan, Z., Zhang, Y., Yao, L., Cheng, Y., Zheng, S., Yan, Y., Liu, D. (2021) A method to dynamically constrain black carbon aerosol sources with online monitored potassium, npj Climate and Atmospheric Science, 4(1), 43. [https://doi.org/10.1038/s41612-021-00200-y]
Authors Information

조이슬 (충남대학교 환경IT융합공학과 석사과정) (iseuljo22@gmail.com)

임세희 (충남대학교 환경공학과 및 환경IT융합공학과 교수) (saehee.lim@cnu.ac.kr)

윤원진 (충남대학교 환경IT융합공학과 석사과정) (wnjny00n@gmail.com)

Fig. 1.

Fig. 1.
Location of the measurement site in this study at Chungnam National University (CNU, 36.37°N, 127.35°E) in Daejeon, Republic of Korea. The zoomed-in satellite image shows the campus, which is surrounded by major roads, residential areas, and commercial facilities.

Fig. 2.

Fig. 2.
Daily variations of PM2.5 mass concentration and babs,880 over the measurement period.

Fig. 3.

Fig. 3.
Monthly variations of PM2.5, babs,880, fFF, fBB, and AAE365-880. Each boxplot shows the interquartile range (25th-75th percentiles) with the median represented as a horizontal line, and the whiskers denote the 5th and 95th percentiles. Red triangles indicate the monthly mean values.

Fig. 4.

Fig. 4.
Diurnal variations of babs,880,FF, babs,880,BB, PM2.5 mass concentration, NO2, and CO. Circle markers denote hourly mean values, error bars represent the standard deviation.

Fig. 5.

Fig. 5.
Diurnal variation of traffic volume density in Daejeon and adjacent regions (Sejong, Chungnam, Chungbuk, Gyeonggi).

Fig. 6.

Fig. 6.
HYSPLIT backward trajectories on Apr 17, 2024 (Daily mean PM2.5: 50 μg m-3), with red, blue, and green lines representing transport pathways at altitudes of 300 m, 500 m, and 1000 m, respectively (a), and MODIS fire map (b). The MODIS fire map shows thermal anomalies as red points(approximately center of a 1 km pixel) detected from satellite observations.

Fig. 7.

Fig. 7.
HYSPLIT backward trajectories on Mar 29, 2024 (Daily mean PM2.5: 40 μg m-3), with red, blue, and green lines representing transport pathways at altitudes of 300 m, 500 m, and 1000 m.

Fig. 8.

Fig. 8.
Spatial correlation of PM2.5 concentrations between the reference site (Noeun-dong monitoring station; marked with a black asterisk) and other monitoring stations in Daejeon. Colored circles indicate the locations of the monitoring stations, with the color scale representing correlation coefficient(r) for statistically significant cases(p<0.05).

Fig. 9.

Fig. 9.
Spatial correlation of babs,880 measured at the reference site (Chungnam National University, CNU; marked with a black triangle) and PM2.5 concentrations measured at all monitoring stations in Daejeon. Colored circles indicate the locations of the monitoring stations, with the color scale representing correlation coefficient(r) for statistically significant cases(p<0.05).

Fig. 10.

Fig. 10.
Topographic contour plot of Daejeon, with color scale representing elevation.

Table 1.

Monthly statistics (mean ± standard deviation) of PM2.5, babs,880, fFF, fBB, and AAE365-880.

Month PM2.5 (μg m-3) babs,880(Mm-1) fFF (%) fBB (%) AAE365-880
Mar 20±13 1.8±0.8 79±10 21±10 1.2±0.1
Apr 21±11 3.1±1.6 79±13 21±13 1.2±0.2
May 16±10 2.2±1.0 87±7 13±7 1.1±0.1
Jun 17±7 3.0±1.5 92±4 8±4 1.0±0.1
Sep 9±7 1.4±1.1 92±5 8±5 1.0±0.1
Nov 15±7 2.8±1.9 70±12 30±12 1.3±0.2
Dec 14±8 2.4±1.7 62±10 38±10 1.5±0.1

Table 2.

Vehicle registration density in Daejeon and adjacent regions (Sejong, Chungnam, Chungbuk, Gyeonggi) in 2024.

Region Vehicle registration density (Unit: vehicles km-2)
Daejeon 137
Sejong 43
Chungnam 15
Chungbuk 13
Gyeonggi 65