Journal of Korean Society for Atmospheric Environment
[ Original Paper ]
Journal of Korean Society for Atmospheric Environment - Vol. 41, No. 4, pp.622-644
ISSN: 1598-7132 (Print) 2383-5346 (Online)
Print publication date 31 Aug 2025
Received 13 Jun 2025 Revised 15 Jul 2025 Accepted 16 Jul 2025
DOI: https://doi.org/10.5572/KOSAE.2025.41.4.622

대기화학-에어로졸-구름-복사 과정이 상호작용하는 전지구시스템모델 (UKESM) 내 서로 다른 대기화학 과정 적용에 따른 동아시아 지역 대기질과 기후 모의 성능 평가

윤대옥* ; 송형규
충북대학교 지구과학교육과
Assessments of Air Quality and Climate Simulations over East Asia Using Different Atmospheric Chemistry Schemes in the UK Earth System Model with Interactive Chemistry-Aerosol-Cloud-Radiation Processes
Daeok Youn* ; Hyunggyu Song
Department of Earth Science Education, Chungbuk National University, Chung-buk 28644, Republic of Korea

Correspondence to: *Tel : +82-(0)43-261-2738 E-mail : dyoun@chungbuk.ac.kr

Abstract

Earth System Models (ESMs) are advanced modeling frameworks designed for both sub-seasonal weather prediction and long-term climate analysis. Unlike traditional global models, ESMs incorporate fully interactive atmospheric chemistry, aerosols, clouds, and radiation processes. The coupling of atmospheric chemistry and aerosol physics in the atmosphere enables ESMs to simulate weather and climate realistically by accounting for feedbacks between meteorology and atmospheric chemistry-aerosol-cloud-radiation interactions, which leads to support quantitative assessment of how air pollutants influence regional climate and air quality. In this study, we utilized the UK Earth System Model (UKESM) that includes fully interactive chemistry-aerosol-cloud-radiation processes and simulates the whole atmosphere from the surface to the mesosphere. We conducted 30-year numerical simulations using two configurations of the UKESM, each with a different atmospheric chemistry scheme. The first couples Strattrop, a simplified chemistry scheme designed for whole-atmosphere simulations on a global scale. The second couples CRI, an extended version of Strattrop with enhanced ozone chemistry. To assess their simulation performance over East Asia, simulated results of UKESM-Strattrop and UKESM-CRI were compared with reanalysis data and satellite observations over the period 2003~2010. Both UKESM reasonably simulated surface air temperature compared to ERA5, but UKESM-CRI exhibited weaker performance over the ocean. For precipitation, both models overestimated summer rainfall with UKESM-CRI showing a lower correlation with ERA5. Through comparisons between the two current models, it is noted that the enhanced ozone chemistry did not improve the simulation of surface temperature and precipitation. In comparisons of simulated air quality results, UKESM-CRI showed better performance in simulating air pollutants such as sulfur dioxide and ozone. Both simulations overestimated aerosol optical depth compared to satellite data, likely due to the insufficient representation of secondary organic aerosols in UKESM. However, current global model evaluation study of climate and air quality over East Asia, as a first attempt, sheds light on future advanced ESM studies of simulating air quality and climate simultaneously in that UKESM can simulate air pollutants and climate over East Asia to an agreeable degree. Therefore, UKESM is expected to serve as a useful tool for predicting both air quality and climate at the same time and for climate change assessment.

Keywords:

UKESM, Strattrop, CRI, Ozone, East Asia

1. 서 론

대기 중으로 직접 배출되는 대기오염물질이나 대기 중에서 이차 생성되는 오존과 에어로졸은 생태계와 인체 건강에 악영향을 미치고, 대기 중에서 대기 복사 수지에 영향을 주어 기후 변화를 유발하는 요인이 된다(Lelieveld et al., 2015; Boucher et al., 2013; Myhre et al., 2013). 예를 들어 질소산화물과 휘발성 유기 화합물(Volatile Organic Compounds, VOCs)은 대류권 내 오존 농도를 증가시켜 생태계와 인체 건강에 악영향을 미치고, 지면 온도와도 연관되어 있다(Seo et al., 2018). 에어로졸은 호흡기에 악영향을 미치며, 이들 중 흡습성 에어로졸은 구름응결핵으로 작용하여 구름의 특성을 변화시켜 지표면 일사량과 강수 패턴에 영향을 주어 기상과 기후에 단기적·장기적 영향을 유발할 수 있다(Szopa et al., 2021; Rosenfeld et al., 2014).

대기오염물질이 생태계, 인간, 그리고 기후 변화에 미치는 부정적인 인식이 확산됨에 따라, 대기오염물질의 농도가 높은 동아시아 지역의 주요 배출국인 중국, 일본, 대한민국에서는 대기오염물질을 저감하기 위해 노력해오고 있다(Szopa et al., 2021; Turnock et al., 2020). 중국은 대기오염방지 및 관리법(Air Pollution Prevention and Control Law; Dong, 2017)을 비롯한 여러 법을 제정하고 주요 산업 부문의 배출 규제를 강화하여 대기오염물질을 감소시키고 있다(Hepburn et al., 2021; Zheng et al., 2018). 일본은 산업 부문의 배출 기준을 강화하고 저공해 차량 보급 제도를 시행함으로써 대기오염물질 배출을 저감시켜 왔다(MOEJ, 2022; Kurokawa and Ohara, 2020). 대한민국도 석탄화력발전소의 단계적 폐쇄, 노후 디젤 차량의 운행 제한 등 다양한 정책을 통해 대기오염물질을 점진적으로 줄여왔다(Han et al., 2022). 이와 같은 주요 배출국들의 노력에도 불구하고 동아시아 지역은 여전히 대기오염물질 농도가 세계에서 가장 높은 핫스팟(hot spot)이므로, 이들이 동아시아 지역의 대기질과 기후 변화에 미치는 영향은 무시할 수 없는 수준이다(Jin et al., 2023; Szopa et al., 2021).

이처럼 기후 시스템의 중요한 요인으로 작용하고 있는 대기오염물질은 배출원, 지형, 기상 조건, 그리고 대기 중에서 일어나는 복잡한 물리·열역학·화학과정에 따라 시공간적으로 끊임없이 변화한다(Seinfeld and Pandis, 2016). 또한 이들은 대기 복사 수지와 구름의 물리적 특성에 영향을 주어 대기 순환과 강수 패턴을 변화시키며, 변동된 기후 시스템은 다시 대기오염물질의 농도와 분포를 변화시키는 복잡한 피드백 구조를 형성한다(Fan et al., 2016). 이처럼 대기오염물질과 기후 시스템은 서로 긴밀하게 상호작용하기 때문에 동아시아 지역의 대기질과 기후 변화를 정확히 예측하기 위해서는, 대기화학 과정과 에어로졸 물리 과정이 결합되어 대기오염물질과 기후 사이의 상호작용을 고려할 수 있는 지구시스템모델(Earth System Model, ESM)을 이용한 수치 모의 실험이 절실하다(Hao et al., 2023; Danabasoglu et al., 2020; Sellar et al., 2019; Collins et al., 2017).

그러나 최근까지 동아시아 지역에서 대기오염물질이 기후에 미치는 영향을 분석한 연구들은 대부분 기후 모델을 이용하였다. Dong et al. (2019)은 기후 모델인 Hadley Centre Global Environment Model version 3 (HadGEM3; Hewitt et al., 2011)을 이용하여 1970년부터 2000년까지 동아시아에서 증가한 에어로졸이 태평양 적도수렴대의 남하 및 동아시아 여름철 몬순의 약화를 유도할 수 있음을 제시하였다. Zhuang et al. (2023)은 지역 규모 기후 모델인 RegCCMS (Wang et al., 2010)를 이용하여 증가된 에어로졸의 복사 강제력이 대기 하층 온도와 구름, 강수 패턴에 영향을 주어 동아시아 지역의 여름철 몬순 강도를 약화시킬 수 있음을 보고하였다. Recchia and Lucarini (2023)는 기후모델인 Planet Simulator (PlaSim; Fraedrich et al., 2005)를 활용하여 인도, 동남아시아, 그리고 중국 동부 지역에서 에어로졸의 증가가 여름철 강수 감소와 밀접한 연관이 있음을 규명하였다.

기후모델은 대기오염물질과 기후 간의 상호작용을 고려하는 대신에, 대기오염물질에 의한 복사 강제력을 일정한 값으로 대기에 처방하고 있다. 이는 배출원, 지형, 기상 조건, 계절 등에 따라 시공간적으로 크게 달라지는 대기오염물질의 실제 특성을 반영하지 못하는 방식이다(Kalisoras et al., 2024). 즉, 대기오염물질의 영향이 상호작용하지 않는 기존의 기후모델은 전지구 또는 지역 규모에서의 대기질 및 기후 변화 예측에 근본적인 한계를 지닐 수밖에 없다(Thornhill et al., 2021; Mulcahy et al., 2020; Tsigaridis et al., 2014; Ghan et al., 2012).

이러한 한계를 극복하고 대기오염물질과 기후 사이의 상호작용을 고려하기 위해 대기화학-에어로졸 과정을 전지구기후모델에 연계시킨 전지구시스템모델(Earth System Model; ESM)이 개발되어 활용되고 있다. 대표적으로 Community Earth System Model (CESM; Hurrell et al., 2013)에는 고정된 기상장을 입력으로 사용하는 오프라인(offline) 전지구 대기화학 수치모델인 Goddard Earth Observing System Chemistry (GEOS-Chem; Henze et al., 2007), Model for Ozone and Related Chemical Tracers (MOZART; Brasseur et al., 1998) 메커니즘을 기반으로 오존과 에어로졸을 전지구 규모에서 모의하는 Community Atmosphere Model with Chemistry (CAM-Chem; Lamarque et al., 2012), 그리고 대류권부터 중간권 및 열권 하부까지의 대기 조성 변화를 모의할 수 있는 Whole Atmosphere Community Climate Model (WACCM; Emmons et al., 2020)이 연계되어 있다. 즉, 최신 ESM은 기후모델이 모의하던 대기의 물리-역학 과정과 더불어 이에 영향을 주는 해양, 산림, 도시, 자연과 인간 활동에 의한 물질 배출과 같은 지표면의 다양한 과정까지도 다루어 현실 지구계와 매우 유사한 가상의 지구계를 구현할 수 있으므로, 대기 연구를 위한 실험실로 활용되고 있다(Youn et al., 2022).

이 연구에서는 대기화학-에어로졸 과정이 연계되어 있는 최신 ESM 중 하나로서, 지표에서 중간권계면까지의 전체대기(Whole-atmosphere)를 모의할 수 있는 대기화학-에어로졸 과정 (United Kingdom Chemsitry and Aerosol, UKCA; Morgenstern et al., 2009)이 연동되어 있는 영국 Met Office의 최신 전지구시스템모델(United Kingdom Earth System Model, UKESM; Sellar et al., 2019)을 이용하였다. UKESM은 전체대기에 대해 대기화학-에어로졸-구름-복사가 상호작용하며, 대기-해양-지면-해빙이 연동된 모델이다. 즉, UKESM은 기존의 기후모델이 모의하던 기상학적 현상 외에도 생지화학 과정과 대기화학 과정, 에어로졸 과정, 구름 물리 과정, 복사 과정 등의 복합적인 지구시스템 요소들 간의 상호작용도 고려하는 가장 진보된 가상의 지구 대기 실험실이라 할 수 있다. UKESM을 활용하면, 인간 활동과 자연 생태계, 그리고 자연재해로 인해 배출된 물질과 함께 대기 중 이차 생성되는 에어로졸과 오존이 기후에 미치는 영향도 고려할 수 있다(Youn and Song, 2025). 이러한 점에서 UKESM은 동아시아 지역의 대기환경과 기후 변화를 종합적으로 이해하고, 예측하기 위한 핵심 연구 도구로써 활용될 가능성이 큰 모델이다.

본 연구에서는 UKESM에 대류권부터 중층대기의 전체대기를 포괄하는 기본 대기화학 과정인 Stratosphere-troposphere chemistry scheme (Strattrop; Archibald et al., 2020)과 Strattrop의 오존 화학 과정을 섬세화하여 계산량이 더욱 방대해진 Common Representative Intermediates chemistry scheme (CRI; Jenkin et al., 2008)의 두 가지 대기화학 과정을 연동하였다. 서로 다른 두 가지 대기화학 과정이 각각 적용된 UKESM을 Coupled Model Intercomparison Project Phase 6 (CMIP6; Eyring et al., 2016) 타입으로 1981~2010년간 수치 모의하였으며, 2003~2010년의 8년간 모의 결과를 동아시아 지역에 대해 중점을 두고 여러 재분석자료 및 관측자료와 비교 분석한다. 이를 통해 기본 대기화학 과정이 적용되어 있는 UKESM의 모의 수준을 평가하고, 오존 화학 과정이 강화된 대기화학 과정이 동아시아 지역의 기후와 대기오염물질의 모의 정확도를 향상시키는지도 살펴보고자 한다. 본 논문은 UKESM을 기반으로 전지구 기후 모의 결과를 분석한 선행 연구(Youn and Song, 2025)를 바탕으로 한 것이며, 대한민국이 위치한 동아시아 지역을 중심으로 비교 분석한 것이다. 제2절에서는 UKESM에 대한 개요와 UKESM 모의 결과의 비교 분석을 위해 사용된 여러 재분석자료 및 관측자료에 대해 기술한다. 제3절에서는 서로 다른 두 대기화학 과정이 적용된 UKESM의 모의 결과를 지상 기온, 강수량, 이산화황, 오존, 그리고 에어로졸 광학 두께와 같은 변수들에 대하여 재분석자료, 관측자료와 비교 분석한 결과를 제시한다. 마지막으로 제4절에서는 결론 및 토의로 마무리한다.


2. 모델 및 자료

2. 1 모델 개요: UKESM과 UKCA

UKESM은 영국 Met Office의 전지구 규모 지구시스템모델(ESM)로 CMIP6 및 Intergovernmental Panel on Climate Change (IPCC) 평가보고서에도 참여하고 있는 모델이다. Met Office의 기후 모델인 Hadley Centre Global Environment Model version 3 -Global Coupled configuration 3.1 (HadGEM3-GC3.1; Kuhlbrodt et al., 2018; Williams et al., 2018)을 기반으로 개발되었다. UKESM은 기후 모델의 대기, 지면, 해양, 해빙 모델에 생지화학, 식생, 대기화학, 에어로졸, 구름 물리, 복사 과정까지 수치적으로 모의함으로써 과거 기후 재현과 미래 기후 예측에 활용될 수 있다.

UKESM에 연동되어 있는 대기화학-에어로졸 모델은 United Kingdom Chemistry and Aerosol (UKCA; Morgenstern et al., 2009)로, 대류권부터 중층대기까지의 전체대기에 대한 대기화학 과정, 에어로졸 과정, 그리고 이들 사이의 상호작용을 모의한다. 가장 복잡한 대기화학 과정인 CRI의 경우 최대 700개의 대기 중 화학 반응을 계산하며, 대기화학 과정 solver는 ASAD Newton-Raphson solver (Wild and Prather, 2000)를 사용하고 있다. 에어로졸 과정 모의에는 GLObal Model of Aerosol Processes-mode (GLOMAP-mode; Mann et al., 2010) 모델을 사용하고 있다. GLOMAP-mode는 입자의 크기에 따라 Nucleation, Aitken, Accumulation, Coarse의 네 가지 모드(mode)로 구성되며, 각 모드는 입자의 흡습성(hygroscopicity)을 고려하여 수용성(soluble) 및 불용성(insoluble)으로 세분화되어 총 7개의 에어로졸 모드로 확장된다. 각 모드에 포함되어 있는 에어로졸은 블랙카본(Black carbon; BC), 유기탄소(Organic carbon; OC), 황산염(Sulphate; SU), 암모늄(NH4), 질산염(NO3), 해염(Sea salt; SS), 먼지(Dust; DU)이며, GLOMAP-mode는 이들의 질량과 수 농도를 동시에 수치 모의한다(표 1; Abraham et al., 2025).

Description of the seven aerosol modes implemented in the GLOMAP-mode aerosol microphysics scheme including their geometric mean radius size ranges (r- in nm), aerosol compositions, and the geometric standard deviations. Compositions are sulphate (SU, represented as sulfuric acid), black carbon (BC), organic carbon (OC, assumed as organic matter with an OM : OC ratio of 1.4), sea salt (SS), ammonium (NH₄), nitrate (NO₃), and mineral dust (DU) (see Table 46 in UKCA Technical Description; Abraham et al., 2025).

본 연구에서 적용한 UKCA의 두 가지 대기화학 과정은 기본 구성인 Stratosphere-troposphere chemistry scheme (Strattrop; Archibald et al., 2020)과 Strattrop에 오존 화학 과정을 섬세화한 Common Representative Intermediates chemistry scheme (CRI; Jenkin et al., 2008) 과정이다. Strattrop은 UKESM의 표준 대기화학 과정으로 사용되고 있으며, 87개 화학종으로 283개의 반응을 모의한다. CRI는 Strattrop을 확장한 것으로, Strattrop에서 단일 종으로 단순화되었던 비메탄 휘발성 유기 화합물(Non-methane Volatile Organic Compounds, NMVOCs)을 에텐, 프로펜, 아세틸렌 등 개별 화합물로 세분화하여 오존 생성 및 2차 에어로졸 형성 과정을 강화시킨 것이 특징이다 (Archer-Nicholls et al., 2021). 즉, CRI는 VOC/NOX 농도 비율 변화에 따른 오존 생성을 보다 정확하게 모의할 수 있어 도시 및 산업 지역에서 오존 예측의 정확도를 높일 수 있는 것으로 알려져 있다(Archer-Nicholls et al., 2021). 본 연구의 두 가지 대기화학 과정에 따른 UKESM 과거 수치모의는 각각 UKESM-Strattrop와 UKESM-CRI로 명명하였다. UKESM과 UKCA의 보다 자세한 설명은 Youn and Song (2025)에 기술되어 있다.

2. 2 재분석자료: ERA5와 CAMS

ECMWF ReAnalysis version 5 (ERA5; Hersbach et al., 2020)는 European Centre for Medium-Range Weather Forecasts (ECMWF)에서 개발한 것으로 기존 ERA-Interim 재분석자료를 완전히 대체하는 5세대 재분석자료다. 1940년부터 현재까지의 기상 현황을 전지구규모에 대해 중위도 기준 약 30 km (0.25°×0.25°)의 공간 해상도와 1시간 단위의 시간 해상도로 제공하고 있다. ERA5는 위성, 레이더, 라디오존데, 지상 관측소 등 다양한 과거 관측자료와 ECMWF의 수치 모델 모의 결과를 4차원 동화(4D-Var) 기법을 적용하여 온도, 습도, 풍속, 강수량, 기압 등 주요 기상 변수들의 과거 기상 상태를 매우 유사하게 재현하고 있다고 평가받고 있다(Tarek et al., 2020). Copernicus Atmosphere Monitoring Service (CAMS; Inness et al., 2019)는 ECMWF가 운영하는 전지구 대기화학 물질 및 에어로졸 분석 시스템으로, 과거 기후에 대한 재분석자료(CAMS reanalysis)와 실시간 일별 예측자료(CAMS daily forecast)를 모두 제공하고 있다. CAMS는 여러 위성자료와 지상 관측자료를 이용하여 화학수송 모델(Chemical Transport Model; CTM)을 수치 모의하고, 이를 앙상블(Ensemble) 평균하여 생성한 데이터를 재분석자료로서 제공한다. 수평으로 중위도 기준 약 80 km (0.75°×0.75°)의 공간 해상도와 3시간 간격의 시간 해상도를 가지며 오존, 이산화질소, 일산화탄소 등 주요 대기화학 물질 정보를 포함한 자료를 제공하고 있어 기후 연구와 대기질 분석에 중요한 역할을 한다.

본 연구에서 사용한 ERA5 자료는 Copernicus Cli-mate Change Service (C3S)가 운영하는 Climate Data Store (CDS; https://cds.climate.copernicus.eu/datasets/reanalysis-era5-single-levels?tab=download; last access: March 1st, 2025)에서 1시간 간격의 지상 자료(ERA5 hourly data on single levels)를 Python2 스크립트를 통해 2003~2010년의 8년치 자료를 일괄적으로 내려받았다. CAMS의 경우 C3S가 운영하는 Atmosphere Data Store (ADS; https://ads.atmosphere.copernicus.eu/datasets/cams-global-reanalysis-eac4?tab=download; last access: March 1st, 2025)을 통해 3시간 간격의 2003~2010년의 8년치 자료를 내려받았다 (CAMS global reanalysis version 4). ERA5는 UKESM이 모의한 기상장 비교에 이용하고 CAMS는 이산화황과 오존을 비교하는 데 각각 활용한다.

2. 3 오존 위성자료: TOMS

UKESM이 모의한 오존 결과와 비교하기 위해 사용된 CAMS 재분석자료의 모의 정확성을 파악하기 위해 Total Ozone Mapping Spectrometer (TOMS; Prospero et al., 2002) 위성자료를 활용한다. TOMS는 Nimbus-7, Earth Probe 등 여러 위성에 탑재되어 전지구적 오존 분포를 1978년부터 2005년까지 장기간 관측하였으며, 특히 성층권 오존홀 감지에 크게 기여하였다. 본 연구에서 사용한 자료는 Earth Probe 위성에 탑재되어 관측된 자료이며 Level 3의 월별 평균 오존 전량 자료로, 공간 해상도는 위경도 1° × 1.25°이다. 본 자료의 경우 1996년 12월부터 2005년 12월 15일까지 제공하므로, 이 중 2003년 1월부터 2005년 11월의 월평균된 자료들을 NASA가 운영하는 Goddard Earth Sciences Data and Information Services Center (GES DICS)에서 Python 기반 LAADS Application Programming Interface (API)를 이용해 내려받았다(https://daac.gsfc.nasa.gov/datasets/TOMSEPL3mtoz_008/summary?keywords=TOMS; last access: March 1st, 2025).

2. 4 에어로졸 위성자료: MODIS

UKESM이 모의한 에어로졸은 Moderate Resolution Imaging Spectroradiometer (MODIS; Justice et al., 2002) 위성자료와 비교한다. MODIS는 Terra와 Aqua 위성에 탑재되어 에어로졸을 포함한 다양한 대기 및 지표 변수들을 관측하였으며, 에어로졸 광학 두께, 에어로졸의 크기 분포 등을 위경도 약 1°×1°의 공간해상도와 함께 일, 월 단위로 산출하는 고해상도 자료이다. 따라서 에어로졸의 시공간적 분포와 농도 변화를 정밀하게 파악할 수 있다(Remer et al., 2005; Kaufman et al., 2002). 본 연구에서는 Terra 위성의 MODIS 센서를 통해 산출된 Level-3 월평균 AOD 자료 (MOD08_M3)를 사용하였다. 자료는 NASA의 Level-1 and Atmosphere Archive and Distribution System Distributed Active Archive Center (LAADS DAAC; https://ladsweb.modaps.eosdis.nasa.gov/archive/allData/61/MOD08_M3/; last access: March 1st, 2025)에서 Python 기반 LAADS Application Programming Interface (API)를 활용하여 수집하였다.


3. 동아시아 지역 모의 결과 비교 분석

본 절에서는 서로 다른 두 가지 대기화학 과정을 적용한 두 UKESM의 수치 모의 결과를 기반으로, 동아시아 지역의 과거 기후 및 대기오염물질에 대한 모의 성능을 재분석자료 및 위성 관측자료와 비교하고, 그 결과를 분석하여 제시한다. 본 연구에서 사용한 두 가지 대기화학 과정은 Met Office가 개발한 모든 수치 모델의 기본 대기화학 과정으로 적용하고 있는 Strattrop 과정과 Strattrop에 오존 화학 과정을 강화한 CRI 과정이다. Strattrop이 연동된 UKESM은 UKESM-Strattrop, CRI가 연동된 UKESM은 UKESM-CRI로 명명하였다.

두 UKESM을 CentOS-8 리눅스 클러스터 환경에 설치하고, 1981년부터 2010년까지 약 30년간 CMIP6 타입으로 각각 4개 계산 노드상의 256개의 코어를 사용하여 수치 모의를 수행하였다. 전체 30년간 수치 모의에 걸리는 시간의 경우 UKESM-Strattrop은 약 63,360분이었고 UKESM-CRI는 약 107,721분이 소요되어 CRI의 계산 시간이 Strattrop에 비해 약 1.7배 증가하였다. 모의 결과의 비교 분석은 관측자료와 재분석자료들의 가용 기간을 고려하여 2003년부터 2010년까지 8년간의 수치 모의 결과를 재분석 및 관측자료와 비교하는 방식으로 수행되었다. 두 UKESM 모델의 모의 실험 설계 방법과 두 대기화학 과정에 대한 보다 자세한 설명은 Youn and Song (2025)에 기술되어 있다.

3. 1 기본 기상 변수

3. 1. 1 지상 기온 (Surface Air Temperatrue; Tsfc)

2003~2010년 기간 동안 UKESM-StratTrop와 UKESM-CRI이 모의한 일평균 지상 기온의 공간 분포를 ERA5 재분석자료와 비교하였다(그림 1). 먼저 ERA5의 공간 분포를 살펴보면, 북서태평양 및 이와 인접한 동남아시아 대륙에서는 약 20℃ 이상의 높은 기온을 보이고 중국, 몽골과 같은 내륙 지역에서는 약 5℃ 이하로 낮은 기온을 보이고 있다. 이는 동아시아 지역의 전형적인 지상 기온 분포이다(그림 1a). UKESM-StratTrop과 ERA5의 차이를 살펴보면, 해양 지역에서는 ±1℃ 이내의 작은 차이를 보여 전반적으로 유사한 공간 분포를 보였으나, 중국, 만주, 대한민국 등 내륙 지역에서는 약 -2℃ 정도로 낮게 모의되었음을 확인할 수 있다(그림 1b). UKESM-CRI과 ERA5의 차이에서는 내륙에서의 차이가 보다 심화되어 최대 -4℃ 차이를 보였으며, 북서태평양에서도 약 -2℃ 정도 낮게 모의하여 UKESM-Strattrop에 비해 ERA5와 차이가 비교적 크게 나타났다(그림 1c).

Fig. 1.

Comparisons between 8-year (2003~2010) averaged surface air temperature (Tsfc) distributions from ERA5 reanalysis and two UKESM simulations over East Asia: (a) ERA5 spatial distribution, (b) the difference between UKESM-Strattrop and ERA5, and (c) the difference between UKESM-CRI and ERA5 respectively.

2003~2010년 기간 동안, 지상 기온의 시간에 따른 추이가 ERA5와 유사한지 파악하기 위해 동아시아 지역에 대해 공간 평균된 일평균 시계열을 ERA5와 비교하였다(그림 2a). 전반적으로 두 UKESM 모두 ERA5와 매우 유사한 변동 패턴과 진폭을 보였으나 겨울철(12~2월)과 여름철(6~8월)에는 ±4℃ 이내의 차이를 보였다.

Fig. 2.

(a) Daily averaged Tsfc time-series of ERA5 reanalysis data (black line), UKESM-Strattrop simulated result (blue line), and UKESM-CRI simulated result (red line) between January 2003 to December 2010. Monthly box plots of daily averaged Tsfc differences for the period 2003~2010 between (b) UKESM-Strattrop and ERA5 reanalysis data and (c) UKESM-CRI and ERA5 are presented with standard deviations (box) and maximum/minimum daily means (whiskers).

이러한 특성은 월별 평균 기온 차이로 나타낸 상자그림(box plot)에서도 동일하게 나타났다(그림 2b, 2c). 겨울철에는 두 모델 모두 ERA5에 비해 기온을 낮게 모의하여 UKESM-Strattrop은 약 -1.0℃, UKESM-CRI는 약 -0.5℃ 정도의 중앙값을 보였으며 분산도 다소 크게 나타났다. 여름철의 경우, UKESM-Strattrop은 기온을 과대 모의하여 중앙값이 최대 약 +1.0℃로 나타났다. 오존 화학 과정이 강화된 UKESM-CRI도 유사한 양상을 보였지만, 중앙값은 최대 +0.8℃로 다소 낮아 상대적으로 차이가 줄어들었다.

시계열과 상자그림 분석에서 보인 계절별 차이를 자세히 파악하기 위해, 각 계절별 산점도를 이용하여 추가적인 비교 분석을 수행하였다(그림 3). 각 산점도에는 ERA5와의 상관 관계를 정량적으로 분석하기 위해, 선형 회귀식(y=ax+b), 결정계수(R2), 평균제곱근오차(root mean square error, RMSE)도 함께 표출하였다. 봄철(MAM)의 경우, 선형 회귀 분석에서 UKESM-Strattrop와 UKESM-CRI의 기울기는 각각 0.96과 0.89로 나타났으며, 두 모델 모두 결정계수(R2)가 0.9에 근접하여 높은 상관성을 보였다. 가을철(SON)에서도 이와 유사한 결과가 나타나, 두 모델 모두 봄철과 가을철에서는 ERA5와 매우 유사하게 모의한 것으로 확인되었다(그림 3a, 3c).

Fig. 3.

Scatter plots of daily averaged Tsfc between two UKESM’s simulated results and ERA5 reanalysis data for the four seasons over January 2003 to December 2010. The straight lines from linear regression method are shown in blue (UKESM-Strattrop and ERA5) and red (UKESM-CRI and ERA5) colors. The equation of best fit, the coefficients of determination (R2), and the root mean square error (RMSE) are also shown for each season.

그러나 여름철(JJA)의 경우, 선형 회귀 기울기는 두 모델 모두 1에 근접하였으나 결정계수는 UKESM-Strattrop이 0.618, UKESM-CRI는 0.515로 봄철, 가을철에 비해 상대적으로 낮은 수치를 보였다(그림 3b). 겨울철(DJF)에서는 두 UKESM의 선형 기울기가 약 0.5로 낮은 수치를 보였으며 결정계수도 UKESM-Strattrop는 0.232, UKESM-CRI는 0.244에 머물러 봄, 가을에 비해 모의 성능이 상대적으로 떨어지는 것으로 나타났다(그림 3d). 이와 같은 UKESM의 겨울철 기온 모의 성능의 저하는, UKESM 개발진이 제시한 바와 같이, 북반구 겨울철 황산염 에어로졸을 합리적으로 모의하지 못하는 것에서 기인하는 것으로 판단된다(Hardacre et al., 2021). 황산염 에어로졸 과정을 개선한 최신 UKESM에서는 이러한 문제가 상당 부분 개선된 것으로 분석되었으므로 이를 활용한 후속 연구가 필요하다(Mulcahy et al., 2023).

3. 1. 2 강수량(Precipitation; PRCP)

2003~2010년 기간 동안 두 UKESM에서 모의된 일평균 강수량의 공간 분포를 ERA5와의 차이로 살펴보았다(그림 4). ERA5의 공간 분포는 중국 남동부와 북서태평양의 저위도를 중심으로 최대 15 mm day-1 이상의 높은 강수량을 보였으며, 고위도 내륙 지역으로 올라갈수록 강수량이 감소하여 몽골의 경우 약 1 mm day-1 미만의 낮은 강수량을 나타내었다(그림 4a). UKESM-Strattrop과 ERA5의 차이를 살펴보았을 때, 중위도 내륙 지역에서는 차이가 거의 나타나지 않았으나 ERA5에서 많은 강수량을 보였던 중국 남부 지역과 북서태평양, 그리고 동남아시아를 중심으로 뚜렷한 차이를 보였다. UKESM-Strattrop은 ERA5에 비하여 중국 남부 지역과 북서태평양에서는 약 4 mm day-1 정도 과대 모의한 반면 동남아시아에서는 약 -4.0 mm day-1 정도 강수량을 적게 모의하여 지역에 따라 상반된 차이를 보였다(그림 4b). UKESM-CRI와 ERA5 간의 공간 분포 차이에서도 이와 동일한 양상이 나타났으나 전반적으로 UKESM-Strattrop에 비해 강수량을 약 1 mm day-1 정도 낮게 모의한 것으로 나타났다. 이로 인하여 UKESM-Strattrop이 ERA5에 비해 과대 모의하였던 중국 남부 지역과 북서태평양에서는 차이가 줄어들어 일부 개선된 모의 결과를 보였으나, 과소 모의가 나타났던 동남아시아 지역에서는 오히려 차이가 커지는 양상을 보였다. 이와 같이 UKESM의 강수 모의 결과가 ERA5와 차이를 보이는 것은 Zadra et al. (2018)이 지적한 바와 같이, 대류 과정을 여전히 전지구기후모델(Global Climate Model)과 유사한 방식으로 모수화하고 있는 UKESM의 계통적 오류(systematic error)로 보인다.

Fig. 4.

Same as Fig. 1 except for precipitation (PRCP).

강수의 시간에 따른 추이를 ERA5와 유사하게 모의하는지 분석하기 위해 동아시아 지역에 대해 공간 평균한 2003~2010년 기간에 대한 일강수량 시계열과 일평균의 차이에 대한 상자그림을 제시하였다(그림 5). 먼저 시계열을 살펴보았을 때 두 모델 모두 전반적으로 유사한 추이를 모의하였으며, 강수량이 가장 많은 여름철에서도 ERA5와 거의 일치하는 결과를 나타냈다(그림 5a). 그러나 세부적으로 살펴보면, 전 기간에 걸쳐 두 모델과 ERA5 사이에 일정 수준의 강수량 차이가 발생하였다. 이를 구체적으로 파악하기 위해 두 UKESM과 ERA5와의 월평균 차이에 대한 상자그림(box plot)을 분석하였다. UKESM-Stratrop과 ERA5의 차이의 상자 그림의 경우 강수량이 적은 1~4월과 11~12월 기간에는 중앙값도 약 0.0~0.3 mm day-1 범위로 나타났으며 변동폭도 크지 않았다. 그러나 강수가 집중되는 시기인 5~10월에서는 중앙값이 최대 +1.0 mm day-1로 과대 모의하였으며 변동폭도 다소 크게 나타났다(그림 5b). UKESM-CRI와 ERA5의 상자그림에서도 이와 유사한 결과를 보였으나, 5~10월의 중앙값이 약 0.8 mm day-1로 UKESM-Strattrop에 비하여 ERA5와의 차이가 다소 줄어들었다.

Fig. 5.

Same as Fig. 2 except for PRCP.

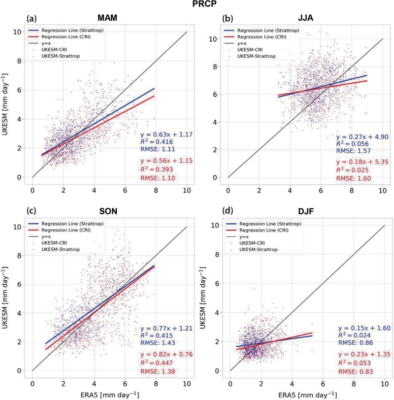
두 UKESM과 ERA5 사이의 계절별 상관성을 분석하기 위해 각 계절에 대한 산점도를 제시하였다(그림 6). 봄철(MAM)과 가을철(SON)의 경우 선형 추세도 매우 유사하고 RMSE도 비교적 작게 나타났다(그림 6a, 6c). 특히 가을철의 경우 UKESM-Strattrop의 선형 기울기는 0.77, 결정계수(R2)는 0.415를 나타냈으며 UKESM-CRI도 각각 0.82와 0.447을 보여 UKESM-CRI의 강수 모의 성능이 일부 개선되는 모습을 보였다. 그러나 강수가 빈번한 여름철(JJA)에는 UKESM-Strattrop의 기울기가 0.27, 결정계수도 0.056을 보여 모의 성능이 다소 떨어졌으며, UKESM-CRI도 기울기가 0.18, 결정 계수가 0.025로 나타나 UKE-SM-Strattrop보다 더 낮은 모의 정확도를 보였다(그림 6b). 겨울철(DJF)은 강수량이 적은 특성으로 인해 RMSE가 여름철보다 작았으나, 선형 추세는 UKE-SM-Strattrop이 0.15, UKESM-CRI가 0.23으로 낮게 산출되어 모의 성능이 다른 계절에 비해 상대적으로 낮은 것으로 나타났다(그림 6d). 여름철 강수 모의 성능 저하가 나타나는 원인으로 CMIP6에 참여한 여러 ESM의 모의 결과에서도 보인 바와 같이, UKESM이 여름철 강수대(rainband) 형성에 중요한 북서태평양 아열대 고기압의 위치 및 강도에서 ERA5와 차이가 발생했을 가능성이 있다(Shi et al., 2023). 겨울철의 경우, 중위도 제트류 및 스톰 트랙(Storm track)의 위치가 ERA5와 상이했을 가능성이 있으나 추후 이와 관련한 정밀한 분석이 요구된다(Priestley et al., 2020; Zappa et al., 2013).

Fig. 6.

Same as Fig.3 except for PRCP.

3. 2 주요 대기오염물질

3. 2. 1 이산화황(SO2)

두 UKESM의 이산화황 모의 결과를 CAMS 재분석자료와 비교 분석하였다. 먼저 2003~2010년 기간 월평균된 CAMS 재분석자료의 공간 분포를 살펴보면, 산업 시설이 밀집해 있는 중국 화북 지역을 중심으로 최대 0.8 ppm 이상의 고농도가 나타났다(그림 7a). 대한민국에서는 0.2 ppm 수준으로 낮게 나타났으며 인위적 배출원이 거의 없는 해양 지역에서는 0.01 ppm 이하로 매우 낮은 분포를 보였다. UKESM-Strattrop과 CAMS의 차이의 공간 분포를 살펴보면, 중국과 우리나라를 중심으로 음의 차이가 나타났으나 고농도를 보이는 중국 화북 지역의 경우 약 +0.40 ppm으로 양의 차이가 나타났다 (그림 7b). UKESM-CRI와 CAMS의 차이의 공간 분포에서도 UKESM-Strattrop과 CAMS 차이의 공간 분포와 유사한 결과를 보였으나 중국 화북 지역과 한반도 북부 등 일부 지역에서는 모델과 재분석자료 사이의 차이가 줄어들어 개선된 모의 결과를 보였다(그림 7c).

Fig. 7.

Similar to Fig. 1, but for SO₂ compared with CAMS reanalysis data.

시간에 따른 변동성을 CAMS 재분석자료와 유사하게 모의하는지 분석하기 위해, 동아시아 지역에 대해 공간 평균한 2003~2010년 월평균 시계열과 월평균 차이에 대한 상자그림을 제시하였다(그림 8). 먼저 시계열을 살펴보았을 때, 전반적으로 두 UKESM 모두 CAMS와 유사한 추이를 보였으나, 연료 소비가 증가하는 겨울철에서는 두 모델 모두 최대 +0.6 ppbv의 양의 차이를 나타냈다(그림 8a). 이와 같은 특징은 CAMS와의 월별 기온 차이에 대한 상자그림에서도 확인할 수 있었다. UKESM-Strattrop과 CAMS의 상자그림을 살펴보면 1~2월 및 10~12월에서 CAMS보다 최대 +0.7 ppbv 정도 높게 모의하였으며 1월과 12월에는 다른 달에 비해 분산도 크게 나타났다(그림 8b). 반면, UKESM-CRI는 1월을 제외하고 12월과 2월에 UKESM-Strattrop에 비해 CAMS와의 차이가 상대적으로 줄어들었다. 또한 2월과 11월, 12월의 경우 중앙값이 약 0.0 ppbv에 근접하였으며 분산도 작게 나타나, UKESM-Strattrop에 비해 개선된 모의 결과를 보였다(그림 8c). UKESM-CRI가 UKESM-Strat-trop과 동일한 황 화학 과정을 사용함에도 SO2 모의 성능에서 개선을 보인 것은, CRI에서 보다 정교하게 구현된 NMVOCs 화학 과정들이 OH 및 O3와 같은 주요 산화제 농도를 변화시켜 SO2의 황산염 전환 반응을 강화시킨 결과로 판단된다(Seinfeld and Pandis, 2016). 이러한 연쇄 반응 메커니즘에 대한 정량적인 분석은 향후 추가적인 연구를 통해 규명하고자 한다.

Fig. 8.

Similar to Fig. 2, but for monthly averaged SO₂ compared with CAMS reanalysis data.

3. 2. 2 오존 전량 (Total Column Ozone, TCO)

2003~2010년에 대해 월평균된 CAMS의 TCO 공간 분포 특징을 살펴보면 40°N 이상의 고위도 지역에서 약 325~375 DU의 높은 농도를 보이며, 저위도 지역으로 갈수록 농도가 감소하는 분포를 보였다(그림 9a). UKESM-Strattrop과 CAMS의 차이의 공간 분포를 살펴본 결과, UKESM-Strattrop은 동아시아 전역에서 CAMS에 비해 TCO를 높게 모의하였다. 특히, 30°N 이남 지역에서는 CAMS에 비하여 최대 +40 DU 이상 높게 모의하였으며 고위도 지역에서도 약 +25 DU의 차이를 보였다(그림 9b). 반면, UKESM-CRI와 CAMS 간의 차이의 공간 분포에서는 앞서 UKESM-Strattrop에 비해 차이가 대폭 줄어든 것을 확인할 수 있었다. 또한 UKESM-Strattrop이 +40 DU 이상 과대 모의한 30°N 이남 지역에서 +20 DU 이하로 차이가 줄어들었으며, 고위도 지역에서도 +5 DU 이하로 차이가 감소하여 UKESM-CRI의 모의 결과가 개선된 것을 확인할 수 있었다(그림 9c).

Fig. 9.

Similar to Fig. 1, but for TCO compared with CAMS reanalysis data.

CAMS 재분석자료와 시간에 따른 추이를 유사하게 모의하는지 평가하기 위해, 2003~2010년에 대해 공간 평균된 월평균 시계열을 분석하였다(그림 10). 또한 CAMS 재분석자료의 오존 모의 정확성을 검증하기 위해 TOMS 위성 관측자료를 함께 표출하였다. TOMS 자료는 제공 기간을 고려하여 2003년 1월부터 2005년 11월까지 제시하였다. 먼저, TOMS 관측자료의 특성을 살펴본 결과, 3월에서 5월 사이에 최댓값을 나타냈으며, 9월부터 12월 사이에는 최솟값을 기록하는 뚜렷한 계절 변동성을 확인할 수 있었다. CAMS의 경우, TOMS와 비교하였을 때 매우 유사한 패턴을 보였다. 또한 TOMS와 수치적으로도 큰 차이가 없어 높은 모의 정확도를 확인할 수 있었다. UKE-SM-Strattrop의 경우, 시간에 따른 변동성은 CAMS와 유사하게 나타났으나 2005년 1~5월을 제외하면 전반적으로 CAMS에 비해 약 +10~20 DU 높은 값을 나타냈다. 반면, UKESM-CRI는 CAMS와 매우 유사한 변동성을 보임과 동시에 전 기간에 걸쳐 차이가 감소하여 모의 성능이 향상된 것으로 나타났다. 눈여겨볼 만한 점은 2008년 이후 두 UKESM의 TCO 값이 매우 유사해지는 특성이며, 이는 서로 다른 화학 과정에 따른 UKESM의 대류권과 성층권 오존 모의 특성에 대한 면밀한 분석의 수행이 필요하다는 점을 강조한다.

Fig. 10.

Monthly-averaged timeseries of TCO from Jan. 2003 to Dec. 2010. The black solid line represents ERA5 reanalysis data, and the red and blue dashed lines correspond to UKESM-Strattrop and UKESM-CRI, respectively.

시계열에서 보인 계절별 차이를 자세히 분석하기 위해 2003~2010년 기간에 대한 계절별 산점도를 제시하였다(그림 11). 여름철(JJA)의 경우 UKESM-Strattrop과 UKESM-CRI의 기울기는 모두 1에 근접한 0.94와 0.83, 결정계수(R2)는 각각 0.553과 0.635로 나타나, CAMS와 가장 유사하게 모의하는 계절로 나타났다(그림 11b). 반면, 가을철(SON)에는 두 모델 모두 기울기와 결정계수가 매우 낮아 모의 성능이 상대적으로 저조하였다. 구체적으로 UKESM-Strattrop의 경우 기울기가 0.21, 결정계수 0.040을 보였으며, UKESM-CRI는 각각 0.03과 0.001로 매우 낮은 값을 보였다(그림 11c). 봄철(MAM)과 겨울철(DJF)에서는 두 모델의 기울기가 비교적 유사하게 나타났지만, 결정계수의 경우 다른 계절에 비해 상대적으로 낮게 나타났다(그림 11a, 11d). 봄철에는 UKESM-Strat-trop과 UKESM-CRI의 기울기가 각각 0.60과 0.59로 근접했지만, 결정계수는 각각 0.171과 0.219로 낮게 나타났다. 그러나 공간 분포 비교와 시계열 비교에서 보인 바와 같이, 모든 계절에 대해 UKESM-CRI의 RMSE가 UKESM-Strattrop보다 낮게 나타나, 오존 화학 과정이 강화된 CRI 과정이 기존 UKESM의 오존 과대 모의 현상을 개선할 수 있음을 확인할 수 있었다. 한편, Youn and Song (2025)에 제시한 바와 같이 CRI의 NMVOCs 배출량 자체가 Strattrop에 비해 약 1.7배 높기 때문에, 이로 인하여 증가된 라디칼(radical)들이 오존 생성량을 감소시켰을 가능성이 있다 (Praske et al., 2018; Crounse et al., 2013). 따라서 CRI 적용에 따른 오존 모의 성능 개선이 화학 과정의 정교화에 기인한 것인지, 입력 배출량의 차이에 따른 것인지 밝히기 위한 후속 연구가 필요하다.

Fig. 11.

Same as Fig. 3 except for TCO.

3. 2. 3. 에어로졸 광학 두께 (Aerosol Optical Depth, AOD)

2003~2010년에 대해 월평균된 MODIS의 AOD 공간 분포를 살펴보면, 인위적 배출원이 집중 분포하고 있는 중국 화북 지역에서 약 0.6 이상의 높은 AOD 값이 나타났으며, 우리나라와 일본의 경우 약 0.3 정도를 보였다(그림 12a). UKESM-Strattrop과 MODIS의 모의 결과와 위성자료의 차이의 공간 분포를 살펴보면 중국 화북 지역부터 서해에 이르는 고농도 AOD 지역에서는 약 -0.2의 음의 차이가 나타났으나 그외 대륙에서는 전반적으로 양의 차이를 보였다 (그림 12b). UKESM-CRI와 MODIS에 대한 차이의 공간 분포에서도 UKESM-Strattrop와 MODIS의 결과와 유사하여 모의 성능의 뚜렷한 개선은 보이지 않았다 (그림 12c).

Fig. 12.

Similar to Fig. 1, but for AOD compared with MODIS data.

두 UKESM이 계절에 따른 AOD 변동을 유사하게 모의하는지 분석하기 위해, 각 계절별로 평균된 AOD 공간 분포를 MODIS 자료와 비교하였다(그림 13). MODIS를 살펴보면, 봄철(MAM)에는 산업 시설이 밀집하고 있는 중국 내륙 및 인접 해안 지역에서 0.8 이상으로 높은 수치를 보였다. 여름철(JJA)에는 동일한 지역에서 최대 1.0까지 증가하여 모든 계절 중에서 가장 높은 수치를 나타냈다. 가을철(SON)에는 해당 지역의 AOD 값이 0.4~0.6 범위를 보이며 봄철과 여름철에 비해 낮아졌으며, 겨울철(DJF)은 중국의 일부 해안 지역을 제외하면 대부분의 지역에서 0.2 이하로 가장 낮은 분포를 보였다.

Fig. 13.

Comparisons of seasonal averaged AOD over East Asia between MODIS observations and UKESM model simulations. The rows represent different data sources: MODIS (top), UKESM-Strattrop (middle), and UKESM-CRI (bottom). The columns correspond to the four seasons: MAM (March~May), JJA (June~August), SON (September~November), and DJF (December~February) respectively.

두 UKESM의 계절별 변동성을 MODIS와 비교한 결과, 계절별 에어로졸 농도의 공간 분포 및 변동 양상을 MODIS 자료와 유사하게 모의하는 것으로 확인되었다. 특히 MODIS에서 모든 계절 중 가장 높은 에어로졸이 관측된 여름철 (JJA)에서, 두 모델 모두 MODIS와 유사한 공간 분포를 보였다. 그러나 계절별로 자세히 살펴보면, 두 UKESM 모델 모두 봄철 (MAM)에는 MODIS에서 관측된 중국 화북 지역의 고농도 에어로졸을 모의하지 못하였다. 또한 겨울철에는 MODIS에서 약 0.2 수준으로 매우 낮게 나타난 중국 서부 지역의 AOD를 약 1.0까지 과대 모의하였다. 오존 화학 과정이 강화된 UKESM-CRI의 경우에는 모든 계절에 걸쳐 UKESM-Strattrop보다도 과대 모의하여, 에어로졸 모의 결과를 개선시키지 못한 것으로 나타났다. 이러한 결과는 UKESM CRI에서 증가된 NMVOC 배출량이 SOA 생성을 촉진한 데 기인한 것으로 보이나 UKESM에서 AOD를 과대 모의하는 현상을 명확히 규명하기 위한 추가 연구가 필요하다.


4. 결론 및 토의

본 연구에서는 지표면부터 중간권계면까지의 전체 대기를 모의하는 대기화학-에어로졸 모델(UKCA)이 연동되어 있는 영국 Met Office의 최신 전지구시스템 모델(UKESM)을 이용하여 동아시아 지역의 기후와 대기오염물질 모의 성능을 평가하였다. UKESM은 기후모델에서 진보된 것으로 기존 기후모델과 달리 최신 대기화학-에어로졸 모델(UKCA)을 연동하여 대기오염물질과 기후 간의 상호작용까지 고려하므로, 기후모델을 대체할 수 있는 지구 대기의 실험실로서의 활용 가치가 크다.

본 논문에서는 이러한 UKESM의 특성을 바탕으로, 기본 대기화학 과정(Strattrop)이 적용되어 있는 UKESM 수치 모의 결과(UKESM-Strattrop)와 Strattrop에 오존 관련 화학 과정을 세분화시킨 대기화학 과정(CRI)을 적용한 수치 모의 결과(UKESM-CRI)를 재분석자료 및 관측자료와 비교 분석하였다. 이를 통해 기본적인 UKESM (UKESM-Strattrop)의 수치 모의 성능을 평가하였다. 또한 오존 화학 과정이 정교화된 UKESM (UKESM-CRI)이 동아시아 지역의 기후와 대기질 모의 정확성을 개선시킬 수 있는 가능성을 확인하였다.

2003~2010년 기간 동안 대기화학 과정을 달리한 두 UKESM의 지상 기온 모의 결과는 ERA5 재분석자료와 비교적 유사한 분포를 나타냈으나, 오존 화학 과정이 강화된 UKESM-CRI의 경우 UKESM-Strattrop에선 큰 차이가 발생하지 않았던 해양에서 약 -2℃의 차이를 보였다. 일평균 지상 기온 시계열 비교에서는 두 실험 모두 ERA5와 전반적인 추이는 유사하였으나 여름철에는 최대 +1℃, 겨울철에는 -1℃의 차이를 보였다. 이러한 차이는 월별 차이에 대한 상자그림과 계절별 일평균 산점도에서도 확인되었다. 특히, 겨울철은 두 UKESM 모두 결정계수가 0.6 이하로 나타났으며 RMSE도 UKESM-Strattrop, UKESM-CRI가 각각 1.77℃, 1.86℃으로 다른 계절에 비해 다소 크게 나타나 모의 성능이 상대적으로 낮은 것으로 분석되었다. 이러한 여름철과 겨울철의 모의 성능 저하는 강수 모의 비교에서도 확인할 수 있었다. 강수의 월별 상자그림과 계절별 산점도에서 제시한 바와 같이, 강수가 많이 발생하는 여름철의 경우 두 모델 모두 ERA5에 비해 최대 +2 mm 정도로 과대 모의하였다. 또한 상관계수도 UKESM-Strattrop와 ERA5는 0.056, UKESM-CRI과 ERA5는 0.025로 UKESM-CRI의 모의 성능이 상대적으로 더 떨어졌으며, 겨울철에서도 비슷한 양상을 보였다. 즉, 오존 화학 과정이 강화되었다 하더라도 지상 기온과 강수 모의의 정확도를 개선시키지는 못하였다.

일부 대기오염물질에 대해서는 UKESM-CRI가 UKESM-Strattrop에 비하여 상대적으로 더 나은 모의 결과를 보였다. 이산화황의 경우 두 UKESM 모두 인위적 배출원이 밀집한 중국 화북 지역에서 과소 모의하였으나, UKESM-CRI는 이러한 차이가 상대적으로 줄어들었다. 또한 오존 전량(TCO) 비교에서도 UKESM-Strattrop은 CAMS 재분석자료에 비해 최대 +40 DU 이상 과대 모의하였으나, UKESM-CRI는 최대 +20 DU 정도의 차이를 보여 차이가 대폭 줄어들었다. TCO의 시계열과 계절별 산점도 비교에서도 기존의 UKESM-Strattrop에 비하여 CAMS와의 정량적인 차이가 대폭 줄어들어, CRI 적용에 따른 UKESM의 대기오염물질에 대한 모의 성능 향상을 확인할 수 있었다. 다만 AOD의 경우, 두 UKESM 모두 MODIS 위성 관측자료에 비해 전반적으로 높은 값을 모의하였다. 특히 UKESM-CRI의 경우, 모든 계절에서 UKESM-Strattrop보다 더 높은 AOD 값을 모의하여 MODIS 관측자료와의 차이가 더욱 크게 나타나 개선된 모의 결과를 보이지 않았다.

본 연구를 통해 오존 화학 과정이 강화된 CRI 과정을 고려하지 않더라도, 방대한 계산량을 줄여주는 단순화된 Strattrop 과정이 담긴 UKESM만으로도 동아시아 지역의 기후를 합리적으로 모의할 수 있음을 확인하였다. 이는 CRI 과정이 적용되어도 에어로졸 모의 성능은 개선시키지 못한 것과 관련이 있을 것으로 판단한다. 한편으로 CRI 과정으로의 대체는 이산화황과 오존과 같은 주요 대기오염물질의 모의 성능을 개선시키는 데는 효과적인 것으로 나타났다. 오존 화학 과정이 강화되었음에도 에어로졸 모의 성능이 개선되지 못한 이유로 현재 UKESM의 에어로졸 모델(GLOMAP-mode)의 한계로 인해 UKESM-CRI 모의 결과에서 에어로졸 모의 성능의 뚜렷한 개선은 나타나지 않았으며, 이는 에어로졸의 직간접적 영향이 큰 지상 기온 및 강수와 같은 주요 기상 변수의 모의 성능에도 유의미한 개선이 이루어지지 않은 원인으로 작용한 것으로 판단된다. 또한 오존이 지구 복사 수지와 대기 순환에 영향을 주어 기상과 기후를 변화시킴에도 불구하고, 본 연구에서 사용된 UKESM이 이를 합리적으로 반영하지 못하여 주요 기상 변수의 모의 성능이 기대만큼 향상되지 못한 것으로 보인다 (Nowack et al., 2018; Iglesias‐Suarez et al., 2018).

따라서 최신 에어로졸 과정(Abraham et al., 2025)과 함께 최신 구름 물리 과정(Park, 2014)을 적용시켜 UKESM의 모의 정확도를 보다 향상시키는 연구가 필요하다. CRI에 최신 에어로졸 과정을 적용할 경우, 정교한 SOA 메커니즘에 의해 계산 비용이 다소 증가되는 CRI의 단점에도 불구하고 동아시아 지역의 미세먼지 모의 정확도를 높이는 데 기여할 수 있을 것이다(Zhu et al., 2022; Wu et al., 2021). 추가적으로 대기화학-에어로졸이 기후와 상호작용하는 지구시스템모델의 활용성과 필요성을 보다 명확히 검증하기 위해, 단순화된 대기오염물질 처리 방식을 사용하는 기존 기후모델과 본 연구의 수치 모의 결과를 비교 분석하는 후속 연구도 필요한 것으로 판단된다.

Acknowledgments

This work was supproted by Chungbuk National University and funded by the Korea Meteorological Administration Research and Development Program under Grant (RS-2023-00241809).

References

  • Abraham, N.L., Archer-Nicholls, S., Archibald, A.T., Bellouin, N., Boucher, O., Boutle, I., Braesicke, P., Bushell, A., Carr, N., Carslaw, K., Collins, B., Dalvi, M., Dearden, C., Dennison, F., Emmerson, K., Folberth, G., Gordon, H., Grosvenor, D., Hayman, G., Haywood, J., Hemmings, J.C.P., Hewitt, A.J., Johnson, C., Jones, A.C., Kipling, Z., Luhar, A.K., Macintyre, H., Mann, G., Merikanto, J., Morgenstern, O., Mulcahy, J., Norris, C.M., O’Connor, F., Ordoñez, C., Osprey, S., Pringle, K., Pyle, J., Rae, J., Reddington, C., Richardson, M., Savage, N., Sellar, A., Spracklen, D., Stier, P., Teixeira, J.C., Turnock, S.T., Telford, P., Wallwork, J.G., Weber, J., West, R., Wilkinson, J.M., Woodhouse, M.T., Woodward, S., Chim, M.M., Aubry, T.J., Marshall, L., Schmidt, A. (2025) Unified Model Documentation Paper 084: United Kingdom Chemistry and Aerosol (UKCA) Technical Description (UM vn13.8), Met Office, Exeter, UK, unpublished technical document.
  • Archer-Nicholls, S., Abraham, N.L., Shin, Y.M., Weber, J., Russo, M.R., Lowe, D., Utembe, S.R., O'Connor, F.M., Kerridge, B., Latter, B., Siddans, R., Jenkin, M., Wild, O., Archibald, A.T. (2021) The Common Representative Intermediates Mechanism Version 2 in the United Kingdom Chemistry and Aerosols Model, Journal of Advances in Modeling Earth Systems, 13(5), e2020MS002420. [https://doi.org/10.1029/2020MS002420]
  • Archibald, A.T., O’Connor, F.M., Abraham, N.L., Braesicke, P., Dalvi, M., Folberth, G.A., Hardiman, S.C., Johnson, C.E., Morgenstern, O., Mulcahy, J.P., Richardson, M., Roberts, C.J., Sanchez, C., Sellar, A., Turnock, S.T., Woodhouse, M.T., Young, P.J., Zeng, G., Hewitt, A.J. (2020) Description and evaluation of the UKCA stratosphere-troposphere chemistry (UKCA StratTrop) as implemented in UKESM1, Geoscientific Model Development, 13, 1223-1266. [https://doi.org/10.5194/gmd-13-1223-2020]
  • Boucher, O., Randall, D., Artaxo, P., Bretherton, C., Feingold, G., Forster, P., Kerminen, V.-M., Kondo, Y., Liao, H., Lohmann, U., Rasch, P., Satheesh, S.K., Sherwood, S., Stevens, B., Zhang, X.Y. (2013) Clouds and aerosols, in Climate Change 2013: The Physical Science Basis. Contribution of Working Group I to the Fifth Assessment Report of the Intergovernmental Panel on Climate Change. Edited by T.F. Stocker, D. Qin, G.-K. Plattner, M. Tignor, S.K. Allen, J. Boschung, A. Nauels, Y. Xia, V. Bex, P.M. Midgley, Cambridge University Press, Cambridge, United Kingdom and New York, NY, USA, 571-657. [https://doi.org/10.1017/CBO9781107415324.016]
  • Brasseur, G.P., Hauglustaine, D.A., Walters, S., Rasch, P.J., Müller, J.-F., Granier, C., Tie, X.X. (1998) MOZART, a global chemical transport model for ozone and related chemical tracers: 1. Model description, Journal of Geophysical Research: Atmospheres, 103(D21), 28265-28289. [https://doi.org/10.1029/98JD02397]
  • Collins, W.J., Lamarque, J.-F., Schulz, M., Boucher, O., Eyring, V., Hegglin, M.I., Maycock, A., Myhre, G., Prather, M., Shindell, D., Smith, S.J. (2017) AerChemMIP: Quantifying the effects of chemistry and aerosols in CMIP6, Geoscientific Model Development, 10(2), 585-607. [https://doi.org/10.5194/gmd-10-585-2017]
  • Crounse, J.D., Nielsen, L.B., Jørgensen, S., Kjaergaard, H.G., Wennberg, P.O. (2013). Autoxidation of organic compounds in the atmosphere, Journal of Physical Chemistry Letters, 4(19), 3513-3520. [https://doi.org/10.1021/jz4019207]
  • Danabasoglu, G., Lamarque, J.-F., Bacmeister, J., Bailey, D.A., DuVivier, A.K., Edwards, J., Emmons, L.K., Fasullo, J., Garcia, R., Gettelman, A., Hannay, C., Holland, M.M., Large, W.G., Lauritzen, P.H., Lawrence, D.M., Lenaerts, J.T.M., Lindsay, K., Lipscomb, W.H., Mills, M.J., Neale, R., Oleson, K.W., Otto-Bliesner, B., Phillips, A.S., Sacks, W., Tilmes, S., van Kampenhout, L., Vertenstein, M., Bertini, A., Dennis, J., Deser, C., Fox-Kemper, B., Kay, J.E., Kinnison, D., Kushner, P.J., Larson, V.E., Long, M.C., Mickelson, S., Moore, J.K., Nienhouse, E., Polvani, L., Rasch, P.J., Strand, W.G. (2020) The Community Earth System Model Version 2 (CESM2), Journal of Advances in Modeling Earth Systems, 12(2), e2019MS 001916. [https://doi.org/10.1029/2019MS001916]
  • Dong, B., Wilcox, L.J., Highwood, E.J., Sutton, R.T. (2019) Impacts of recent decadal changes in Asian aerosols on the East Asian summer monsoon: roles of aerosol-radiation and aerosol-cloud interactions, Climate Dynamics, 53, 3235-3256. [https://doi.org/10.1007/s00382-019-04698-0]
  • Dong, G.-H. (2017) Ambient Air Pollution and Health Impact in China, Springer, Singapore. [https://doi.org/10.1007/978-981-10-5657-4]
  • Emmons, L.K., Schwantes, R.H., Orlando, J.J., Tyndall, G., Kinnison, D., Lamarque, J.-F., Marsh, D., Mills, M.J., Tilmes, S., Bardeen, C., Buchholz, R.R., Conley, A., Gettelman, A., Garcia, R., Simpson, I., Blake, D.R., Meinardi, S., Pétron, G. (2020) The Chemistry Mechanism in the Community Earth System Model version 2 (CESM2), Journal of Advances in Modeling Earth Systems, 12(4). [https://doi.org/10.1029/2019MS001882]
  • Eyring, V., Bony, S., Meehl, G.A., Senior, C.A., Stevens, B., Stouffer, R.J., Taylor, K.E. (2016) Overview of the Coupled Model Intercomparison Project Phase 6 (CMIP6) experimental design and organization, Geoscientific Model Development, 9(5), 1937-1958. [https://doi.org/10.5194/gmd-9-1937-2016]
  • Fan, J., Wang, Y., Rosenfeld, D., Liu, X. (2016) Review of aerosol-cloud interactions: Mechanisms, significance, and challenges, Journal of the Atmospheric Sciences, 73(11), 4221-4252. [https://doi.org/10.1175/JAS-D-16-0037.1]
  • Fraedrich, K., Jansen, H., Kirk, E., Luksch, U., Lunkeit, F. (2005) The Planet Simulator: Towards a user friendly model, Meteorologische Zeitschrift, 14(3), 299-304. [https://doi.org/10.1127/0941-2948/2005/0043]
  • Ghan, S.J., Liu, X., Easter, R.C., Zaveri, R.A., Rasch, P.J., Yoon, J., Eaton, B. (2012) Toward a minimal representation of aerosols in climate models: Comparative decomposition of aerosol direct, semidirect, and indirect radiative forcing, Journal of Climate, 25(19), 6461-6476. [https://doi.org/10.1175/JCLI-D-11-00650.1]
  • Han, H., Kum, H., Kim, Y.-P., Jung, C.-H. (2022) Evaluation of the Effectiveness and Efficiency of Atmospheric Particulates Reduction Policy: The Case of South Korea, Asian Journal of Atmospheric Environment, 16(2), 130-142. [https://doi.org/10.5572/ajae.2021.130]
  • Hao, X., Jiang, Y., Yang, X.-Q., Liu, X., Zhang, Y., Wang, M., Liang, Y., Wang, Y. (2023) Impacts of anthropogenic emissions over South Asia on East Asian spring climate: Two possible dynamical pathways, Journal of Climate, 36(8), 3231-3244. [https://doi.org/10.1175/JCLI-D-22-0049.1]
  • Hardacre, S., Mulcahy, J.P., Pope, R., Jones, C.E., Rumbold, S.T., Li, C. (2021) Evaluation of sulphur species and improved SO₂ dry-deposition parameterization in UKESM1, UKESM Technical Note, UK Met Office, 18 pp.
  • Hepburn, C., Qi, Y., Stern, N., Ward, B., Xie, C., Zenghelis, D. (2021) Towards carbon neutrality and China’s 14th Five-Year Plan: Clean energy transition, sustainable urban development, and investment priorities, Environmental Science and Ecotechnology, 8, 100130. [https://doi.org/10.1016/j.ese.2021.100130]
  • Henze, D.K., Hakami, A., Seinfeld, J.H. (2007) Development of the adjoint of GEOS-Chem, Atmospheric Chemistry and Physics, 7, 2413-2433. [https://doi.org/10.5194/acp-7-2413-2007]
  • Hersbach, H., Bell, B., Berrisford, P., Hirahara, S., Horányi, A., Muñoz-Sabater, J., Nicolas, J., Peubey, C., Radu, R., Schepers, D., Simmons, A., Soci, C., Abdalla, S., Abellan, X., Balsamo, G., Bechtold, P., Biavati, G., Bidlot, J., Bonavita, M., De Chiara, G., Dahlgren, P., Dee, D., Diamantakis, M., Dragani, R., Flemming, J., Forbes, R., Fuentes, M., Geer, A., Haimberger, L., Healy, S., Hogan, R.J., Hólm, E., Janisková, M., Keeley, S., Laloyaux, P., Lopez, P., Lupu, C., Radnoti, G., de Rosnay, P., Rozum, I., Vamborg, F., Villaume, S., Thépaut, J.-N. (2020) The ERA5 global reanalysis, Quarterly Journal of the Royal Meteorological Society, 146, 1999-2049. [https://doi.org/10.1002/qj.3803]
  • Hewitt, H.T., Copsey, D., Culverwell, I.D., Harris, C.M., Hill, R.S.R., Keen, A.B., McLaren, A.J., Hunke, E.C. (2011) Design and implementation of the infrastructure of Had-GEM3: the next-generation Met Office climate modelling system, Geoscientific Model Development, 4, 223-253. [https://doi.org/10.5194/gmd-4-223-2011]
  • Hurrell, J.W., Holland, M.M., Gent, P.R., Ghan, S., Kay, J.E., Kushner, P.J., Lamarque, J.-F., Large, W.G., Lawrence, D., Lindsay, K., Lipscomb, W.H., Long, M.C., Mahowald, N., Marsh, D.R., Neale, R.B., Rasch, P., Vavrus, S., Vertenstein, M., Bader, D., Collins, W.D., Hack, J.J., Kiehl, J., Marshall, S. (2013) The Community Earth System Model: A Framework for Collaborative Research, Bulletin of the American Meteorological Society, 94, 1339-1360. [https://doi.org/10.1175/BAMS-D-12-00121.1]
  • Iglesias Suarez, F., Kinnison, D.E., Rap, A., Maycock, A.C., Wild, O., Young, P.J. (2018). Key drivers of ozone change and its radiative forcing over the 21st century, Atmospheric Chemistry and Physics, 18, 6121-6139. [https://doi.org/10.5194/acp-18-6121-2018]
  • Inness, A., Ades, M., Agustí-Panareda, A., Barré, J., Benedictow, A., Blechschmidt, A.-M., Dominguez, J.J., Engelen, R., Eskes, H., Flemming, J., Huijnen, V., Jones, L., Kipling, Z., Massart, S., Parrington, M., Peuch, V.-H., Razinger, M., Remy, S., Schulz, M., Suttie, M. (2019) The CAMS reanalysis of atmospheric composition, Atmospheric Chemistry and Physics, 19, 3515-3556. [https://doi.org/10.5194/acp-19-3515-2019]
  • Jenkin, M.E., Watson, L.A., Utembe, S.R., Shallcross, D.E., Halloran, P., Hanlon, M.R., Rickard, A.R. (2008) A Common Representative Intermediates (CRI) mechanism for VOC degradation. Part 1: Gas phase mechanism development, Atmospheric Environment, 42(31), 7185-7195. [https://doi.org/10.1016/j.atmosenv.2008.07.028]
  • Jin, S., Ma, Y., Huang, Z., Huang, J., Gong, W., Liu, B., Wang, W., Fan, R., Li, H. (2023) A comprehensive reappraisal of long-term aerosol characteristics, trends, and variability in Asia, Atmospheric Chemistry and Physics, 23, 8187-8210. [https://doi.org/10.5194/acp-23-8187-2023]
  • Justice, C.O., Townshend, J.R.G., Vermote, E.F., Masuoka, E., Wolfe, R.E., Saleous, N., Roy, D.P., Morisette, J.T. (2002) An overview of MODIS land data processing and product status, Remote Sensing of Environment, 83(1-2), 3-15. [https://doi.org/10.1016/S0034-4257(02)00084-6]
  • Kalisoras, A., Georgoulias, A.K., Akritidis, D., Allen, R.J., Naik, V., Kuo, C., Szopa, S., Nabat, P., Olivié, D., van Noije, T., Le Sager, P., Neubauer, D., Oshima, N., Mulcahy, J., Horowitz, L.W., Zanis, P. (2024) Decomposing the effective radiative forcing of anthropogenic aerosols based on CMIP6 Earth system models, Atmospheric Chemistry and Physics, 24, 7837-7872. [https://doi.org/10.5194/acp-24-7837-2024]
  • Kaufman, Y., Tanré, D., Boucher, O. (2002) A satellite view of aerosols in the climate system, Nature, 419, 215-223. [https://doi.org/10.1038/nature01091]
  • Kuhlbrodt, T., Jones, C.G., Sellar, A., Storkey, D., Blockley, E., Stringer, M., Roberts, M., Wood, R., Vellinga, M., Waters, J., Howard, T., Lee, R.W., Comer, R., Hill, R., Calvert, D., Siahaan, A., Smith, D.M., Vidale, P.L., Alderson, S. (2018) The Low-Resolution Version of HadGEM3 GC3.1: Development and Evaluation for Global Climate, Journal of Advances in Modeling Earth Systems, 10(11), 2865-2888. [https://doi.org/10.1029/2018MS001370]
  • Kurokawa, J., Ohara, T. (2020) Long-term historical trends in air pollutant emissions in Asia: Regional Emission inventory in ASia (REAS) version 3, Atmospheric Chemistry and Physics, 20(21), 12761-12793. [https://doi.org/10.5194/acp-20-12761-2020]
  • Lamarque, J.-F., Emmons, L.K., Hess, P.G., Kinnison, D.E., Tilmes, S., Vitt, F., Heald, C.L., Holland, E.A., Lauritzen, P.H., Neu, J., Orlando, J.J., Rasch, P.J., Tyndall, G.K. (2012) CAM-chem: description and evaluation of interactive atmospheric chemistry in the Community Earth System Model, Geoscientific Model Development, 5, 369-411. [https://doi.org/10.5194/gmd-5-369-2012]
  • Lelieveld, J., Evans, J., Fnais, M., Giannadaki, D., Pozzer, A. (2015) The contribution of outdoor air pollution sources to premature mortality on a global scale, Nature, 525, 367-371. [https://doi.org/10.1038/nature15371]
  • Mann, G.W., Carslaw, K.S., Spracklen, D.V., Ridley, D.A., Manktelow, P.T., Chipperfield, M.P., Pickering, S.J., Johnson, C.E. (2010) Description and evaluation of GLOMAP-mode: A modal global aerosol microphysics model for the UKCA composition-climate model, Geoscientific Model Development, 3, 519-551. [https://doi.org/10.5194/gmd-3-519-2010]
  • Ministry of the Environment, Japan (MOEJ) (2022) Results of automatic measurement of volatile organic compounds (VOC) components. Retrieved from https://www.env.go.jp/air/osen/voc/monitoring.html, .
  • Morgenstern, O., Braesicke, P., O’Connor, F.M., Bushell, A.C., Johnson, C.E., Osprey, S.M., Pyle, J.A. (2009) Evaluation of the new UKCA climate-composition model - Part 1: The stratosphere, Geoscientific Model Development, 2(1), 43-57. [https://doi.org/10.5194/gmd-2-43-2009]
  • Mulcahy, J.P., Johnson, C., Jones, C.G., Povey, A.C., Scott, C.E., Sellar, A., Turnock, S.T., Woodhouse, M.T., Abraham, N.L., Andrews, M.B., Bellouin, N., Browse, J., Carslaw, K.S., Dalvi, M., Folberth, G.A., Glover, M., Grosvenor, D.P., Hardacre, C., Hill, R., Johnson, B., Jones, A., Kipling, Z., Mann, G., Mollard, J., O’Connor, F.M., Palmiéri, J., Reddington, C., Rumbold, S.T., Richardson, M., Schutgens, N.A.J., Stier, P., Stringer, M., Tang, Y., Walton, J., Woodward, S., Yool, A. (2020) Description and evaluation of aerosol in UKESM1 and HadGEM3-GC3.1 CMIP6 historical simulations, Geoscientific Model Development, 13(12), 6383-6423. [https://doi.org/10.5194/gmd-13-6383-2020]
  • Mulcahy, J.P., Jones, C.G., Rumbold, S.T., Kuhlbrodt, T., Dittus, A.J., Blockley, E.W., Yool, A., Walton, J., Hardacre, C., Andrews, T., Bodas-Salcedo, A., Stringer, M., de Mora, L., Harris, P., Hill, R., Kelley, D., Robertson, E., Tang, Y. (2023) UKESM1.1: Development and evaluation of an updated configuration of the UK Earth System Model, Geoscientific Model Development, 16, 1569-1600. [https://doi.org/10.5194/gmd-16-1569-2023]
  • Myhre, G., Samset, B.H., Schulz, M., Balkanski, Y., Bauer, S., Berntsen, T.K., Bian, H., Bellouin, N., Chin, M., Diehl, T., Easter, R.C., Feichter, J., Ghan, S.J., Hauglustaine, D., Iversen, T., Kinne, S., Kirkevåg, A., Lamarque, J.-F., Lin, G., Liu, X., Lund, M.T., Luo, G., Ma, X., van Noije, T., Penner, J.E., Rasch, P.J., Ruiz, A., Seland, Ø., Skeie, R.B., Stier, P., Takemura, T., Tsigaridis, K., Wang, P., Wang, Z., Xu, L., Yu, H., Yu, F., Yoon, J.-H., Zhang, K., Zhang, H., Zhou, C. (2013) Radiative forcing of the direct aerosol effect from AeroCom Phase II simulations, Atmospheric Chemistry and Physics, 13, 1853-1877. [https://doi.org/10.5194/acp-13-1853-2013]
  • Nowack, P.J., Abraham, N.L., Braesicke, P., Pyle, J.A. (2018) The impact of stratospheric ozone feedbacks on climate sensitivity estimates, Journal of Geophysical Research: Atmospheres, 123, 4630-4641. [https://doi.org/10.1002/2017JD027943]
  • Park, S. (2014) A Unified Convection Scheme (UNICON). Part I: Formulation, Journal of the Atmospheric Sciences, 71(11), 3902-3930. [https://doi.org/10.1175/JAS-D-13-0233.1]
  • Praske, E., Otkjær, R.V., Crounse, J.D., Hethcox, J.C., Stoltz, B.M., Kjaergaard, H.G., Wennberg, P.O. (2018) Atmospheric autoxidation is increasingly important in urban and suburban North America, Proceedings of the National Academy of Sciences of the United States of America, 115(1), 64-69. [https://doi.org/10.1073/pnas.1715540115]
  • Priestley, M.D.K., Catto, J.L., Booth, J.F. (2020) How well are extratropical cyclones represented in the CMIP6 models? Geophysical Research Letters, 47, e2020GL087993. [https://doi.org/10.1029/2020GL087993]
  • Prospero, J.M., Ginoux, P., Torres, O., Nicholson, S.E., Gill, T.E. (2002) Environmental characterization of global sources of atmospheric soil dust identified with the Nimbus 7 Total Ozone Mapping Spectrometer (TOMS) absorbing aerosol product, Reviews of Geophysics, 40(1), 1002. [https://doi.org/10.1029/2000RG000095]
  • Recchia, L.G., Lucarini, V. (2023) Modelling the effect of aerosol and greenhouse gas forcing on the South Asian and East Asian monsoons with an intermediate-complexity climate model, Earth System Dynamics, 14, 697-722. [https://doi.org/10.5194/esd-14-697-2023]
  • Remer, L.A., Kaufman, Y.J., Tanré, D., Mattoo, S., Chu, D.A., Martins, J.V., Li, R.-R., Ichoku, C., Levy, R.C., Kleidman, R.G., Eck, T.F., Vermote, E., Holben, B.N. (2005) The MODIS aerosol algorithm, products, and validation, Journal of the Atmospheric Sciences, 62(4), 947-973. [https://doi.org/10.1175/JAS3385.1]
  • Rosenfeld, D., Andreae, M.O., Asmi, A., Chin, M., de Leeuw, G., Donovan, D.P., Kahn, R., Kinne, S., Kivekäs, N., Kulmala, M., Lau, W., Schmidt, K.S., Suni, T., Wagner, T., Wild, M., Quaas, J. (2014). Global observations of aerosolcloud-precipitationclimate interactions, Reviews of Geophysics, 52(4), 750-808. [https://doi.org/10.1002/2013RG000441]
  • Seinfeld, J.H., Pandis, S.N. (2016) Atmospheric chemistry and physics: From air pollution to climate change (3rd ed.). Hoboken, NJ: John Wiley and Sons.
  • Sellar, A.A., Jones, C.G., Mulcahy, J.P., Tang, Y., Yool, A., Wiltshire, A., O’Connor, F.M., Stringer, M., Hill, R., Palmieri, J., Wood-ward, S., de Mora, L., Kuhlbrodt, T., Rumbold, S.T., Kelley, D.I., Ellis, R., Johnson, C.E., Walton, J., Abraham, N. L., Andrews, M.B., Andrews, T., Archibald, A.T., Berthou, S., Burke, E., Blockley, E., Carslaw, K., Dalvi, M., Edwards, J., Folberth, G.A., Gedney, N., Griffiths, P.T., Harper, A.B., Hendry, M.A., Hewitt, A.J., Johnson, B., Jones, A., Jones, C.D., Keeble, J., Liddicoat, S., Morgenstern, O., Parker, R.J., Predoi, V., Robertson, E., Siahaan, A., Smith, R.S., Swaminathan, R., Woodhouse, M.T., Zeng, G., Zerroukat, M. (2019) UKESM1: Description and evaluation of the U.K. Earth System Model, Journal of Advances in Modeling Earth Systems, 11(12), 4513-4558. [https://doi.org/10.1029/2019MS001739]
  • Seo, J., Park, D.-S.R., Kim, J.-Y., Youn, D., Lim, Y.-B., Kim, Y. (2018) Effects of meteorology and emissions on urban air quality: a quantitative statistical approach to long-term records (1999-2016) in Seoul, South Korea, Atmospheric Chemistry and Physics, 18, 16121-16137. [https://doi.org/10.5194/acp-18-16121-2018]
  • Shi, X., Song, F., Wang, W., Zhou, T., Chen, H., Guo, Y. (2023) Meiyu Front Assessment in CMIP6 Earth System Models During the East Asian Summer Monsoon, Geoscientific Model Development, 16, 1569-1588. [https://doi.org/10.5194/gmd-16-1569-2023]
  • Szopa, S., Naik, V., Adhikary, B., Artaxo, P., Berntsen, T., Collins, W.D., Fuzzi, S., Gallardo, L., Kiendler-Scharr, A., Klimont, Z., Liao, H., Unger, N., Zanis, P. (2021) Short-lived climate forcers, in Climate Change 2021: The Physical Science Basis. Contribution of Working Group I to the Sixth Assessment Report of the Intergovernmental Panel on Climate Change. Edited by V. Masson-Delmotte, P. Zhai, A. Pirani, S.L. Connors, C. Péan, S. Berger, N. Caud, Y. Chen, L. Goldfarb, M.I. Gomis, M. Huang, K. Leitzell, E. Lonnoy, J.B.R. Matthews, T.K. Maycock, T. Waterfield, O. Yelekçi, R. Yu, B. Zhou. Cambridge University Press, Cambridge, United Kingdom and New York, NY, USA, pp. 817-922. [https://doi.org/10.1017/9781009157896.008]
  • Tarek, M., Brissette, F.P., Arsenault, R. (2020) Evaluation of the ERA5 reanalysis as a potential reference dataset for hydrological modelling over North America, Hydrology and Earth System Sciences, 24, 2527-2544. [https://doi.org/10.5194/hess-24-2527-2020]
  • Thornhill, G., Collins, W., Olivié, D., Skeie, R.B., Archibald, A., Bauer, S., Checa-Garcia, R., Fiedler, S., Folberth, G., Gjermundsen, A., Horowitz, L., Lamarque, J.-F., Michou, M., Mulcahy, J., Nabat, P., Naik, V., O'Connor, F. M., Paulot, F., Schulz, M., Scott, C.E., Séférian, R., Smith, C., Takemura, T., Tilmes, S., Tsigaridis, K., Weber, J. (2021) Climate-driven chemistry and aerosol feedbacks in CMIP6 Earth system models, Atmospheric Chemistry and Physics, 21, 1105-1126. [https://doi.org/10.5194/acp-21-1105-2021]
  • Tsigaridis, K., Daskalakis, N., Kanakidou, M., Adams, P.J., Artaxo, P., Bahadur, R., Balkanski, Y., Bauer, S.E., Bellouin, N., Benedetti, A., Bergman, T., Berntsen, T.K., Beukes, J.P., Bian, H., Carslaw, K.S., Chin, M., Curci, G., Diehl, T., Easter, R.C., Ghan, S.J., Gong, S.L., Hodzic, A., Hoyle, C.R., Iversen, T., Jathar, S., Jimenez, J.L., Kaiser, J.W., Kirkevåg, A., Koch, D., Kokkola, H., Lee, Y.H., Lin, G., Liu, X., Luo, G., Ma, X., Mann, G.W., Mihalopoulos, N., Morcrette, J.-J., Müller, J.-F., Myhre, G., Myriokefalitakis, S., Ng, N.L., O’Donnell, D., Penner, J.E., Pozzoli, L., Pringle, K.J., Russell, L.M., Schulz, M., Sciare, J., Seland, Ø., Shindell, D.T., Sillman, S., Skeie, R.B., Spracklen, D., Stavrakou, T., Steenrod, S.D., Takemura, T., Tiitta, P., Tilmes, S., Tost, H., van Noije, T., van Zyl, P.G., von Salzen, K., Yu, F., Wang, Z., Wang, Z., Zaveri, R.A., Zhang, H., Zhang, K., Zhang, Q., Zhang, X. (2014) The AeroCom evaluation and intercomparison of organic aerosol in global models, Atmospheric Chemistry and Physics, 14, 10845-10895. [https://doi.org/10.5194/acp-14-10845-2014]
  • Turnock, S.T., Allen, R.J., Andrews, M., Bauer, S.E., Deushi, M., Emmons, L., Good, P., Horowitz, L., John, J.G., Michou, M., Nabat, P., Naik, V., Neubauer, D., O’Connor, F.M., Olivié, D., Oshima, N., Schulz, M., Sellar, A., Shim, S., Takemura, T., Tilmes, S., Tsigaridis, K., Wu, T., Zhang, J. (2020) Historical and future changes in air pollutants from CMIP6 models, Atmospheric Chemistry and Physics, 20(23), 14547-14579. [https://doi.org/10.5194/acp-20-14547-2020]
  • Wang, T.J., Li, S., Shen, Y., Deng, J.J., Xie, M. (2010) Investigations on direct and indirect effect of nitrate on temperature and precipitation in China using a regional climate chemistry modeling system, Journal of Geophysical Research: Atmospheres, 115, D00K26. [https://doi.org/10.1029/2009JD013264]
  • Wild, O., Prather, M.J. (2000) Excitation of the primary tropospheric chemical mode in a global three-dimensional model, Journal of Geophysical Research: Atmospheres, 105(D20), 24,647-24,660. [https://doi.org/10.1029/2000JD900399]
  • Williams, K.D., Copsey, D., Blockley, E.W., Bodas-Salcedo, A., Calvert, D., Comer, R., Davis, P., Graham, T., Hewitt, H.T., Hill, R., Hyder, P., Ineson, S., Johns, T.C., Keen, A.B., Lee, R.W., Megann, A., Milton, S.F., Rae, J.G.L., Roberts, M.J., Scaife, A.A., Schiemann, R., Storkey, D., Thorpe, L., Watterson, I.G., Walters, D.N., West, A., Wood, R.A., Woollings, T., Xavier, P.K. (2018) The Met Office Global Coupled Model 3.0 and 3.1 (GC3.0 and GC3.1) Configurations, Journal of Advances in Modeling Earth Systems, 10(2), 357-380. [https://doi.org/10.1002/2017MS001115]
  • Wu, K., Zhu, S., Liu, Y., Wang, H., Yang, X., Liu, L., Dabdub, D., Cappa, C.D. (2021) Modeling ammonia and its uptake by secondary organic aerosol over China, Journal of Geophysical Research: Atmospheres, 126(7). [https://doi.org/10.1029/2020JD034109]
  • Youn, D., Song, H., Park, S. (2022) An Installation and Model Assessment of the UM, U.K. Earth System Model, in a Linux Cluster, Journal of the Korean Earth Science Society, 43(6), 691-711. [https://doi.org/10.5467/JKESS.2022.43.6.691]
  • Youn, D., Song, H. (2025) Comparisons between UKESM CMIP6 Historical Simulations depending on two Atmospheric Chemistry Schemes: Part I. Global Scale Analysis, Journal of Korean Earth Science Society, 46(1), 19-34, (in Korean with English abstract). [https://doi.org/10.5467/JKESS.2025.46.1.19]
  • Zadra, A., Williams, K., Frassoni, A., Rixen, M., Adames, Á.F., Berner, J., Bouyssel, F., Casati, B., Christensen, H., Ek, M.B., Flato, G., Huang, Y., Judt, F., Lin, H., Maloney, E., Merryfield, W., Van Niekerk, A., Rackow, T., Saito, K., Wedi, N., Yadav, P. (2018) Systematic errors in weather and climate models: Nature, origins, and ways forward, Bulletin of the American Meteorological Society, 99(4), 691-710. [https://doi.org/10.1175/BAMSD170287.1]
  • Zappa, G., Shaffrey, L.C., Hodges, K.I. (2013) The ability of CMIP5 models to simulate North Atlantic extratropical cyclones, Journal of Climate, 26, 5379-5396. [https://doi.org/10.1175/JCLI-D-12-00501.1]
  • Zheng, B., Tong, D., Li, M., Liu, F., Hong, C., Geng, G., Li, H., Li, X., Peng, L., Qi, J., Yan, L., Zhang, Y., Zhao, H., Zheng, Y., He, K., Zhang, Q. (2018) Trends in China’s anthropogenic emissions since 2010 as the consequence of clean air actions, Atmospheric Chemistry and Physics, 18, 14095-14111. [https://doi.org/10.5194/acp-18-14095-2018]
  • Zhuang, B., Gao, Y., Hu, Y., Wang, Y., Huang, K., Li, J., Ji, D., Wang, Y. (2023) Interaction between different mixing aerosol direct effects and East Asian summer monsoon, Climate Dynamics, 61, 1157-1176. [https://doi.org/10.1007/s00382-022-06552-1]
  • Zhu, S., Wu, K., Nizkorodov, S.A., Dabdub, D. (2022) Modeling reactive ammonia uptake by secondary organic aerosol in a changing climate: A WRF CMAQ evaluation, Frontiers in Environmental Science, 10, 867908. [https://doi.org/10.3389/fenvs.2022.867908]

윤대옥 (충북대학교 지구과학교육과 교수) (dyoun@chungbuk.ac.kr)

송형규 (충북대학교 지구과학교육과 박사과정 수료) (ifp1095@chungbuk.ac.kr)

Fig. 1.

Fig. 1.
Comparisons between 8-year (2003~2010) averaged surface air temperature (Tsfc) distributions from ERA5 reanalysis and two UKESM simulations over East Asia: (a) ERA5 spatial distribution, (b) the difference between UKESM-Strattrop and ERA5, and (c) the difference between UKESM-CRI and ERA5 respectively.

Fig. 2.

Fig. 2.
(a) Daily averaged Tsfc time-series of ERA5 reanalysis data (black line), UKESM-Strattrop simulated result (blue line), and UKESM-CRI simulated result (red line) between January 2003 to December 2010. Monthly box plots of daily averaged Tsfc differences for the period 2003~2010 between (b) UKESM-Strattrop and ERA5 reanalysis data and (c) UKESM-CRI and ERA5 are presented with standard deviations (box) and maximum/minimum daily means (whiskers).

Fig. 3.

Fig. 3.
Scatter plots of daily averaged Tsfc between two UKESM’s simulated results and ERA5 reanalysis data for the four seasons over January 2003 to December 2010. The straight lines from linear regression method are shown in blue (UKESM-Strattrop and ERA5) and red (UKESM-CRI and ERA5) colors. The equation of best fit, the coefficients of determination (R2), and the root mean square error (RMSE) are also shown for each season.

Fig. 4.

Fig. 4.
Same as Fig. 1 except for precipitation (PRCP).

Fig. 5.

Fig. 5.
Same as Fig. 2 except for PRCP.

Fig. 6.

Fig. 6.
Same as Fig.3 except for PRCP.

Fig. 7.

Fig. 7.
Similar to Fig. 1, but for SO₂ compared with CAMS reanalysis data.

Fig. 8.

Fig. 8.
Similar to Fig. 2, but for monthly averaged SO₂ compared with CAMS reanalysis data.

Fig. 9.

Fig. 9.
Similar to Fig. 1, but for TCO compared with CAMS reanalysis data.

Fig. 10.

Fig. 10.
Monthly-averaged timeseries of TCO from Jan. 2003 to Dec. 2010. The black solid line represents ERA5 reanalysis data, and the red and blue dashed lines correspond to UKESM-Strattrop and UKESM-CRI, respectively.

Fig. 11.

Fig. 11.
Same as Fig. 3 except for TCO.

Fig. 12.

Fig. 12.
Similar to Fig. 1, but for AOD compared with MODIS data.

Fig. 13.

Fig. 13.
Comparisons of seasonal averaged AOD over East Asia between MODIS observations and UKESM model simulations. The rows represent different data sources: MODIS (top), UKESM-Strattrop (middle), and UKESM-CRI (bottom). The columns correspond to the four seasons: MAM (March~May), JJA (June~August), SON (September~November), and DJF (December~February) respectively.

Table 1.

Description of the seven aerosol modes implemented in the GLOMAP-mode aerosol microphysics scheme including their geometric mean radius size ranges (r- in nm), aerosol compositions, and the geometric standard deviations. Compositions are sulphate (SU, represented as sulfuric acid), black carbon (BC), organic carbon (OC, assumed as organic matter with an OM : OC ratio of 1.4), sea salt (SS), ammonium (NH₄), nitrate (NO₃), and mineral dust (DU) (see Table 46 in UKCA Technical Description; Abraham et al., 2025).

Mode Size range (nm) Composition Geometric standard deviation
Nucleation Soluble r-<5 SU, OC 1.59
Aitken Soluble
Insoluble
5<r-<100
5<r-<100
SU, BC, OC, NH4, NO3
BC, OC
1.59
1.59
Accumulation Soluble
Insoluble
50<r-<250
50<r-<500
SU, BC, OC, SS, DU, NH4, NO3
DU
1.40
1.59
Coarse Soluble
Insoluble
250<r-
500<r-
SU, BC, OC, SS, DU, NH4, NO3
DU
2.0
2.0