
실내공기 중 휘발성유기화합물 모니터링을 위한 수동대기채취기의 성능평가
Abstract
Despite the widespread use of passive air samplers (PASs) for measuring indoor volatile organic compounds (VOCs), the performance of PASs has rarely been systematically compared or evaluated. In this study, VOC samples were collected using three types of PASs in a dormitory and an office to compare VOC concentrations and evaluate PAS performance. In addition, an active air sampler (AAS) was employed to calibrate the PAS measurement results. The PASs were deployed over a two-week sampling period. Sampling rates for each PAS were determined using the concentrations of eight compounds detected by the AAS. These sampling rates were then used to correct the PAS-derived concentrations. Before correction, VOC concentrations measured by the PASs differed significantly between the dormitory and the office (RM-ANOVA test: p<0.05). However, after correction, no significant differences in VOC concentrations were observed between the two locations (RM-ANOVA test: p>0.05). In the dormitory, the indoor/outdoor (I/O) ratio exceeded 1 for one compound before correction and for four compounds after correction. In the office, the number of compounds with an I/O ratio greater than 1 increased from four to five after correction. The estimated carcinogenic risk in the dormitory increased from 2.0E-06 to 5.8E-06 before and after correction, respectively, while in the office, it rose from 2.7E-06 to 7.9E-06, both exceeding the US EPA threshold of 1.0E-06. Since I/O ratios and cancer risk estimates are sensitive to sampling rate corrections, it is crucial to evaluate the reliability of PAS sampling rates thoroughly.
Keywords:
HAPs, Passive sampling, I/O ratio, Sampling rate, Health risk1. 서 론
국내에서는 저농도에서의 장기적 섭취나 노출을 통해 직간접적으로 인체 건강과 동식물의 생육에 위해를 미칠 수 있는 물질을 특정대기유해물질로 분류하여 총 35종을 관리하고 있다. 미국 환경보호청(United States Environmental Protection Agency: US EPA)은 암, 심각한 건강 영향, 또는 환경에 악영향을 미치는 것으로 알려졌거나 의심되는 오염물질 188종을 유해 대기오염물질 (Hazardous Air Pollutants: HAPs)로 지정하여 관리하고 있다 (US EPA, 2023a). 휘발성유기화합물 (Volatile Organic Compounds: VOCs)은 HAPs 중에서 가장 높은 비율을 차지하는 물질로, 대기 중 증기압이 높고 비교적 수용성이 낮다 (US EPA, 2023b; Montero-Montoya et al., 2018). VOCs는 석유화학 및 제약산업에서 유기용제로 사용되며, 연소를 포함한 다양한 산업활동에서 배출된다(Brummer et al., 2022). 또한, 일부 물질은 인체 발암성이나 독성을 가지고 있으므로 건강 영향 차원에서 주목을 받고 있다(Zhao et al., 2023). 국내에서는 대표적인 VOC인 벤젠에 대해서만 대기환경기준(연평균 5 µg/m3 이하)이 설정되었다(MOE, 2022b).
생활수준 향상과 다양한 생활용품 사용의 증가에 따라 실내에서 배출되는 오염물질의 종류가 증가하고 있다. 한국인은 일반적으로 하루에 15시간 이상을 자택에서 보내며, 약 5시간을 자택 이외의 실내공간에서 생활한다(NIER, 2010). 세계보건기구(World Health Organization: WHO)에 따르면, 실내공기 오염은 뇌졸중, 허혈성 심장질환, 만성 폐쇄성 폐질환, 폐암 등을 유발할 수 있으며, 이로 인한 전 세계 연간 사망자는 약 320만 명으로 추정된다(WHO, 2022). 환경부는 신축건물과 다중이용시설의 실내공기질을 관리하여 국민 건강을 보호하기 위해 실내공기질관리법을 시행하고 있다(KEI, 2022). 그러나 대부분의 사람들은 신축건물에 거주하지 않으며, 현행 실내 기준은 권고 수준에 불과하여 실내공기질 관리가 충분하지 않다. 따라서 기존 주거 환경과 다중이용시설을 대상으로 실내공기질 연구를 확대할 필요가 있다.
일반적으로 실내공기질 측정에는 센서를 이용한 실시간 측정 방식이나 펌프를 이용한 능동채취 방식이 사용된다(Hwang et al., 2023; Cho and Sohn, 2010). 그러나 센서는 정확도가 낮고 다양한 물질을 장기간 측정하기 어렵다. 또한, 능동채취 방식은 전력 소비와 소음 등의 문제로 인해 가정이나 사무실 등 실내 공간에서의 사용에 제약이 있다. 반면, 수동대기채취기는 전력을 사용하지 않고 소음이 없으며, 부피가 작고 장기간 시료채취가 가능하기 때문에 동시간대 여러 지점에서 시료채취하기 적합하다(Choi et al., 2009). 해외에서는 수동대기채취기의 성능을 평가하는 연구가 수행되어 왔다(McAlary et al., 2015; Gallego et al., 2011a, 2011b). 이러한 연구들은 수동대기채취기의 성능이 측정 대상 물질과 환경 조건에 따라 달라질 수 있으며, 정확한 농도 산정을 위해 교정이 필요함을 시사하였다. 그러나 국내에서는 수동대기채취기의 성능을 평가하거나 정확도를 향상시키기 위한 연구가 매우 부족한 실정이다.
본 연구에서는 국내외에서 널리 사용되는 3M Science (Shedd et al., 2023), Assay Technology (Feigley et al., 2011), ICS Maugeri (Kim et al., 2021, 2019)의 상용 수동대기채취기를 실내에 설치하여 VOCs 측정 결과를 비교하였다. 또한, 동일 시간대에 능동시료를 병행 채취하여 수동대기채취기의 농도 산정 정확도를 평가하고 시료 채취율을 보정하였다. 이를 통해 수동대기채취기 제품별 성능 차이를 평가하고, 실내공간에 따른 VOCs 모니터링 결과를 비교하였다. 또한, 시료 채취율 보정 전후의 농도, 실내외 농도비, 발암 위해도를 비교하였다.
2. 연구 방법
2. 1 대기시료채취기
본 연구에서 사용한 세 종류의 수동대기채취기(OVM 3500, 3M Science, USA; OVM 566, Assay Technology, USA; RAD 130, ICS Maugeri, Italy)와 능동대기채취기의 기본 정보를 표 1에 제시하였다. OVM 3500은 원형 배지 형태로 200 mg의 활성탄 웨이퍼가 확산 패드로 덮여 있다. OVM 566 역시 원형 배지 형태의 채취기로, 150 mg의 활성탄 웨이퍼가 작은 구멍이 있는 플라스틱 마개로 덮여 있다. RAD 130은 100 메시의 원통형 스테인리스 망 내부에 35~50 메시의 활성탄(530 mg)이 채워져 있으며, 채취 시 확산 장치(RAD 120, ICS Maugeri, Italy)에 장착하여 사용한다. 능동대기채취기는 수동대기채취기의 정확성을 평가하기 위해 사용하였으며, 연속 튜브 채취기(STS-25, Perkin Elmer, USA)에 삼중흡착관(KT50603, KNR, Korea)을 연결하여 사용하였다.
2. 2 시료채취
시료채취는 총 2회 수행되었다. 1차 시료채취는 울산과학기술원 기숙사 1인실(22.1 m2)과 공학관 대학원생 사무실(63 m2)에서 14일 동안 세 종류의 수동대기채취기를 이용하여 진행되었고, 채취기별로 삼중시료를 설치하였다. 2차 시료채취는 교내 옥상에서 7일간 수행되었으며, 능동대기채취기와 수동대기채취기의 성능평가를 목적으로 하였다. 수동대기채취기는 삼중시료로 설치하였으며, 능동대기채취는 연속시료채취기(STS-25, Perkin Elmer, UK)를 사용하여 흡착관당 0.05 L/min의 유량으로 24시간 동안 채취하였다.
2. 3 시료분석
수동대기채취기로 포집한 VOCs를 분석하기 위해, 시료채취가 완료된 채취기에서 흡착제를 분리한 뒤 이황화탄소(CS2) 2 mL로 용매추출하였다. 추출액에는 대체표준물질(methylene chloride-d2, 1,2-dichloroethane-d4, benzene-d6, toluene-d8, chlorobenzene-d5, ethylbenzene-d10, 1,2-dichlorobenzene-d4, and 1,4-dichlorobenzene-d4)을 각각 4 µg 첨가하였다. 이후 15분간 초음파 추출을 진행하였고, 추출 시료를 2 mL 바이알에 옮긴 후 내부표준물질(fluorobenzene) 4 µg을 첨가하였다. 분석대상물질의 정량을 위해 검정곡선용 표준물질을 0.5, 2.5, 5, 10, 25, 50, 100 ng/µL 농도로 조제하여 검정곡선을 작성하였으며, 모든 물질의 결정계수(R2)는 0.99 이상이었다. VOCs 분석은 기체크로마토그래프/질량분석기(Gas Chromatograph/Mass Spectrometer: GC/MS, 7890A/5975C, Agilent Technologies, USA)로 수행하였다. 분할주입(10 : 1, 12 mL/min) 방식으로 1 µL를 GC에 주입하였으며, 모세관 컬럼(DB-624, 60 m ×0.25 mm i.d., 1.4 µm film thickness)을 사용하였다. 컬럼 온도는 40°C에서 3분간 유지한 후 8°C/min으로 160°C까지 승온하고, 이후 10°C/min으로 200°C까지 승온한 뒤 2분간 유지하였다. 이동상 기체로는 순도 99.9999%의 헬륨(He)을 사용하였으며, 유량은 1.2 mL/min으로 유지하였다. 이온원(ion source) 온도는 230°C였으며, 70 eV의 전자이온화(Electron Ionization: EI)로 분자를 이온화하고 선택적 이온 모니터링(Selective Ion Monitoring: SIM) 방식으로 분석대상물질의 이온을 검출하였다.
능동대기채취기의 경우, 채취 전 흡착관 세척기 (APK 1200, KNR, Korea)를 사용하여 50 mL/min 유속의 질소 가스(N2) 로 340°C에서 2시간 동안 세척하였다. 시료채취 후에는 액상 주입기(CSLR, Markes, UK) 로 대체표준물질(methylene chloride-d2, 1,2-dichloroethane-d4, benzene-d6, toluene-d8, chlorobenzene-d5, ethylbenzene-d10, 1,2-dichlorobenzene-d4, and 1,4-dichlorobenzene-d4)을 각각 20 ng씩 흡착관에 첨가하였다. 이후 흡착관을 열탈착장비(TD-100, Markes, UK)에 넣어 300°C에서 10분간 VOCs를 탈착한 뒤 -25°C의 콜드 트랩에 재흡착하였다. 이후 300°C에서 5분간 급속 탈착하여 GC에 6 : 1 비율로 분할주입하였으며, 이동상 기체로는 순도 99.9999%의 헬륨을 20 psi 압력으로 주입하였다. 그 외 모든 분석 조건은 수동 대기채취기 시료의 분석 조건과 동일하였다. 검정곡선은 모든 물질에 대해 동일한 농도 범위(0.5, 2.5, 5, 10, 25, 50, 100 ng/µL)로 작성하였고, 결정계수는 0.99 이상이었다. 본 연구에서는 24종의 VOCs (1,1-dichloroethene, trans-1,2-dichloroethene, cis-1,2-dichloroethene, chloroform, 1,1,1-trichloroethane, carbon tetrachloride, benzene, 1,2-dichloroethane, trichloroethene, 1,2-dichloropropane, bromodichloromethane, toluene, 1,1,2-trichloroethane, tetrachloroethene, dibromochloromethane, chlorobenzene, ethylbenzene, m,p-xylenes, o-xylene, styrene, bromoform, 1,4-dichlorobenzene, 1,2-dichlorobenzene, 1,2,4-trichlorobenzene)를 분석하였다.
수동대기시료의 정량분석 후에는 식 (1)에 따라 흡착량(M, μg)을 농도(C, μg/m3)로 변환하였으며, 흡착제별로 제공되는 시료 채취율(sampling rate: Qk, mL/min)은 식 (2)에 따라 채취기간(t, min)의 평균 기온(K)을 반영하여 물질별로 산정하였다. 제조사에서 Q298 값을 제공하지 않는 물질에 대해서는 식 (3)을 이용하여 Q298 값을 산정하였다. 먼저, 기존에 알려진 개별물질의 Q298 값을 물질별 확산계수(D, cm2/s)로 나누어 확산면적 A (mm2)과 흡착면까지의 물질이동 거리 I(mm)의 비(A/I)를 제품별로 산출하고, 이를 평균하였다. 이후, 평균 비(A/I)에 각 물질의 확산계수를 곱하여 해당 물질의 Q298 값을 산정하였다.
| (1) |
| (2) |
| (3) |
2. 4 정도관리
방법검출한계(Method Detection Limit: MDL)를 산정하기 위해 채취기별 7개 공시료에 저농도 표준용액(2.5 ng/µL)을 주입하고 실제 시료와 동일하게 전처리하였다. 7회 반복분석 결과의 표준편차에 99% 신뢰도에서의 t 분포 값(3.14)을 곱하고 시료채취 부피로 나누어 대기농도 단위로 MDL을 산정하였다. VOCs의 MDL은 OVM 3500에서 0.06~0.40 µg/m3, OVM 566에서 0.01~1.45 µg/m3, RAD 130에서 0.05~0.34 µg/m3였다. 대체표준물질의 회수율은 62~131%였으며, 채취와 실험과정에서 발생할 수 있는 오염 영향을 보정하기 위해 현장바탕시료를 실제시료와 동일한 방법으로 분석하여 정량 결과에 반영하였다.
2. 5 위해성 평가
물질별 독성정보 파악, 평균 인체 노출량 산정, 발암 위해도 산출 순서로 위해성 평가를 수행하였다. 발암 정보가 없는 물질은 위해성 평가에서 제외되었으며, 클로로포름(chloroform), 사염화탄소(carbon tetrachloride), 벤젠(benzene), 에틸벤젠(ethylbenzene)이 발암 위해성 평가에 포함되었다. 이들 물질의 흡입단위위해도(Inhalation Unit Risk: IUR)는 각각 2.3E-05 (IRIS), 6.0E-06 (IRIS), 7.8E-06 (IRIS), 2.5E-06 (µg/m3)-1 (OEHHA)이다. 일일평균 인체 노출량(Lifetime Average Daily Dose: LADD)은 식 (4)에 따라 농도(Concentration: C), 노출기간(Exposure Duration: ED), 노출빈도(Exposure Frequency: EF), 노출시간(Exposure Time: ET), 기대수명(Average Time: AT)으로 계산하였다. 노출인자와 노출계수는 국립환경과학원의 노출계수핸드북(NIER, 2019)에 보고된 한국인 평균 값을 사용하였으며 ED는 25년, EF는 350일/년으로 설정하였고, 대학원생들의 실제 생활 시간 분포를 고려하여 ET는 기숙사 11.7시간/일, 사무실 10.3시간/일, AT는 724,452시간(기대 수명: 82.7년)으로 설정하였다. 이후 식 (5)와 같이 LADD에 IUR을 곱하여 초과 발암 위해도(Incremental Lifetime Cancer Risk: ILCR)를 산정하였다. 발암 위해성을 확률론적으로 평가하기 위해 Crystall Ball (Oracle 11.1, USA)을 사용하여 몬테카를로 시뮬레이션을 수행하였다. 입력 자료의 확률분포를 고려하기 위해 개별 물질의 농도는 로그 정규분포를 따른다고 가정하였으며, 표준편차는 해당 농도의 0.1배로 설정하였다. ED (평균: 25, 표준편차: 2.5)와 EF (평균: 350, 표준편차: 3.5) 또한, 로그 정규분포를 따른다고 가정하였다. ET, AT, IUR은 단일 값으로 입력하였다.
| (4) |
| (5) |
3. 결과 및 고찰
3.1 수동대기채취기의 흡착량과 농도 비교
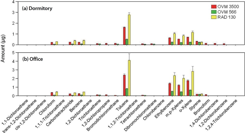
1차 시료채취 기간 중 수동대기채취기와 지점별 24종 VOCs의 흡착량과 농도를 각각 그림 1과 그림 2에 나타냈다. 기숙사에서의 평균 흡착량은 OVM 3500이 5.5 µg, OVM 566이 1.9 µg, RAD 130이 7.1 µg이었으며, 사무실에서는 OVM 3500이 8.3 µg, OVM 566이 3.0 µg, RAD 130이 12.7 µg이었다. 삼중시료 분석 결과의 상대표준편차는 30% 이내였다. 두 공간에서 모두 RAD 130, OVM 3500, OVM 566 순으로 흡착량이 많았다. 이는 각 수동대기채취기의 물질별 시료 채취율(sampling rate)이 다르기 때문이다. 표 2에 기온으로 보정한 물질별 시료 채취율을 제시하였다. 시료 채취율의 순서는 흡착량 순서와 동일하게 RAD 130, OVM 3500, OVM 566 순이었다. RAD 130의 시료 채취율이 높은 이유는 나머지 두 채취기와 달리 원통형 구조를 가지고 있어 확산 면적이 넓기 때문이다(ICS Maugeri, 2019). 배지 형태의 OVM 채취기 간 채취율 차이가 발생한 이유는 OVM 3500의 흡착면 지름(3.2 cm)이 OVM 566의 흡착면 지름(2 cm)보다 크기 때문이다. 또한, RAD 130의 흡착제는 활성탄 분말인 반면, OVM의 흡착제는 활성탄 웨이퍼(wafer) 형태로 흡착제의 물리적 형태도 시료 채취율에 영향을 미친 것으로 추정된다.
Mean amounts of the 24 target VOCs collected by each passive air sampler in the (a) dormitory and (b) office.
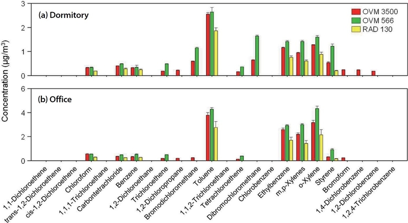
Mean concentrations of the 24 target VOCs measured by each passive air sampler in the (a) dormitory and (b) office.
시료채취기별 농도 순위는 흡착량 순위(RAD 130>OVM 3500>OVM 566)와 달리 OVM 566, OVM 3500, RAD 130 순이었다. 이상적으로는 어떤 수동대기채취기를 사용하더라도 흡착량을 시료 채취율로 표준화하여 농도를 산출하므로 동일한 농도가 산정되어야 한다. 그러나 불검출 물질을 제외한 물질별 평균 농도에 대해 Friedman 반복측정 분산분석(RM-ANOVA)을 수행한 결과, OVM 566과 OVM 3500 시료 간에는 통계적으로 유의한 차이가 없었으나(p>0.05), RAD 130 시료는 OVM 566과 OVM 3500 시료에 비해 유의하게 낮은 농도를 보였다(p<0.01). RAD 130은 시료 채취율이 가장 높고 MDL도 낮아 단기 모니터링에서 물질 검출률이 가장 높을 것으로 예상되었다. 그러나 본 연구에서 24종 물질의 평균 검출률은 OVM 3500이 56%, OVM 566이 46%, RAD 130이 30%였다. RAD 130 시료의 검출률이 낮은 이유는 검출된 물질 농도가 MDL 이하로 측정되어 불검출로 처리되었기 때문이다. 시료 채취율이 클수록 동일한 검출량에 대해 환산 농도는 낮아지므로, RAD 130의 시료 채취율이 과대평가되었을 가능성이 있다. 이러한 영향으로 인해 OVM과 RAD 130 간 물질별 비율에도 차이가 발생했으나, 모든 시료에서 톨루엔, 자일렌, 에틸벤젠의 비율이 가장 높았다(그림 3).
1차 시료채취 기간 중 세 종류의 수동대기채취기로 측정한 평균 Σ24 VOCs 농도는 기숙사(9.38 µg/m3)보다 사무실(13.8 µg/m3)에서 더 높았다. 해당 사무실에는 다량의 사무용품, 사무용 가구, 전자 제품(컴퓨터 15대, 프린터 3대, 냉장고 1대 등), 청소용품 등이 비치되어 있으므로 VOCs 농도가 상대적으로 높은 것으로 해석된다. 농도뿐만 아니라 물질 그룹별 비율도 기숙사와 사무실 간에 큰 차이를 보였다(그림 4). 할로알케인의 농도와 비율은 사무실(1.06 µg/m3, 7.7%)보다 기숙사(2.18 µg/m3, 23.2%)에서 더 높았으며, 이러한 차이는 트리할로메탄(trihalomethanes) 농도의 차이에 기인하였다. 트리할로메탄은 메탄의 수소 원자가 할로겐 원자로 치환된 화합물로, 주로 수돗물의 소독 부산물로 발생한다(Jin et al., 2023; Jo et al., 2005). 본 연구에서 분석한 물질 중에서는 클로로포름, 브로모디클로로메탄, 디브로모클로로메탄, 브로모포름이 트리할로메탄 계열에 해당한다. 기숙사는 원룸 형태로 화장실과 샤워실이 포함된 공간이며, 해당 기숙사에서는 습기 제거를 위해 화장실과 샤워실 문이 항상 개방되어 있었다. 이로 인해 브로모디클로로메탄(0.87 µg/m3)과 디브로모클로로메탄(1.14 µg/m3)의 농도가 수돗물의 영향으로 증가한 것으로 추정된다. 그러나 트리할로메탄 중 클로로포름의 농도는 기숙사(0.31 µg/m3)보다 사무실(0.48 µg/m3)에서 더 높았다. 이는 클로로포름이 수돗물뿐만 아니라, 프린터와 가구 등에서도 방출되기 때문으로 판단된다(Xu et al., 2021). 할로알케인의 경우, 기숙사(0.40 µg/m3)와 사무실(0.41 µg/m3) 간의 농도 차이는 크지 않았으며, 트리클로로에텐과 테트라클로로에텐 두 물질만 검출되었다. 방향족 농도는 기숙사(6.01 µg/m3)보다 사무실(11.82 µg/m3)에서 더 높았다. 이는 사무실에 BTEX (벤젠, 톨루엔, 에틸벤젠, 자일렌) 오염원이 더 많이 존재하기 때문이다. 그러나 BTEX를 제외한 방향족 농도는 사무실(0.63 µg/m3)보다 기숙사(0.80 µg/m3)에서 더 높았으며, 이는 스타이렌 농도 차이에 의한 것으로 보인다. 스타이렌은 건축자재뿐만 아니라 샴푸나 바디워시 등의 세면용품에서도 방출된다(US EPA, 2020; Sarigiannis et al., 2011; Järnström et al., 2006).
3. 2 실내공간과 일반환경대기 비교
본 연구의 시료채취와 동일한 연도의 울산광역시 유해대기물질측정소 3개소(U1: 여천동, U2: 전하동, U3: 신정동)의 연평균 자료(MOE, 2022a)와 본 연구 1차 시료채취 기간 중 측정 결과(12종 공통 물질)를 비교하였다(그림 5). 측정소와 본 연구의 BTEX 비율은 12종 총 농도의 75~93%와 72~90%로 유사했으나, 개별물질의 비율에는 차이가 있었다. 벤젠의 비율은 측정소 5%, 기숙사 4%, 사무실 3%로 유사했으나, 톨루엔의 비율은 측정소 20%, 기숙사 30%, 사무실 26%로 실외보다 실내에서 더 높았다. 에틸벤젠 비율은 측정소 17%, 기숙사 14%, 사무실 18%로 실내와 실외 비율이 유사하였다. m,p-자일렌(두 이성질체의 합)의 비율은 측정소 34%, 기숙사 12%, 사무실 16%로 실외 비율이 크게 높았다. 그러나 o-자일렌의 비율은 측정소 11%, 기숙사 16%, 사무실 23%로 실내에서 더 높았다. 일반적으로 환경대기에서 m,p-자일렌 농도가 o-자일렌 농도보다 높으나, 본 연구에서는 실내공간에서 o-자일렌 농도가 더 높았다. 실내에서는 가정용 살충제와 프린터 사용으로 인해 o-자일렌이 m,p-자일렌보다 상대적으로 더 많이 방출된다(Lu et al., 2020; Kagi et al., 2007; Lee et al., 2002, 2001). 이 외에도 실내공간에서는 클로로포름, 스타이렌, 톨루엔의 비율이 더 높았다. 클로로포름은 앞서 언급했듯 다양한 생활용품과 가구 등에서 방출되며, 스타이렌은 건축자재와 세정용품에서 방출된다. 톨루엔은 페인트나 다양한 사무용품(잉크) 등에서 방출되는 것으로 알려져 있다(Lim et al., 2014).
Comparison of the mean concentrations and fractions of 12 VOCs between this study and the hazardous air pollutant monitoring stations (U1~U3) in Ulsan, South Korea in 2021.
본 연구의 기숙사(6.01 µg/m3)와 사무실(11.8 µg/m3)에서의 BTEX 농도는 국내 선행 연구에서 보고된 빈 원룸(11.8 µg/m3), 일반가정(65.3 µg/m3), 신축주택(1327.2 µg/m3)의 농도보다 낮은 수준이었다(Park et al., 2024; Yoo et al., 2024; Jin et al., 2023). 발암 위해성이 높은 클로로포름도 기숙사(0.3 µg/m3)와 사무실(0.5 µg/m3)에서 선행 연구의 신축건물(2.1 µg/m3)보다 농도가 낮았다(NIER, 2020).
3. 3 수동대기채취기 성능평가
각 수동대기채취기의 정확성을 평가하기 위해 2차 시료채취 기간(일주일)에 능동대기채취기와 수동대기채취기를 교내 건물 옥상에 동시에 설치하였다(그림 6). 시료채취기간이 비교적 짧아 8개 물질만 검출되었다. 수동대기채취기로 측정한 농도는 능동대기채취기로 측정한 농도보다 대체로 낮았다. 능동대기채취기는 정확한 유량 산정이 가능하므로, 능동대기채취기 결과를 참값으로 가정하면 수동대기채취기의 시료 채취율이 과소평가된 것으로 해석할 수 있다. 선행 연구에서는 체임버 실험을 통해 산정한 단일 물질의 시료 채취율과 수동대기채취기 제조사에서 제공하는 시료 채취율이 유사하였으나(Gallego et al., 2011a), 실제 대기시료에는 많은 물질이 혼합되어 있으므로 체임버 실험 결과와 차이가 있을 수 있다.
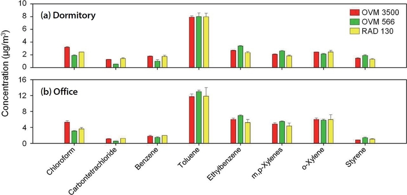
Comparison of the concentrations of (a) BTEX and Σ24 VOCs and (b) individual VOCs measured using passive air samplers and an active air sampler during the second sampling period.
2차 시료채취 기간에 능동대기채취기로 측정한 농도와 수동대기채취기에 흡착된 개별 물질의 양을 이용하여 수동대기채취기별 시료 채취율을 산정하고, 이를 바탕으로 1차 시료채취 기간에 기숙사와 사무실에서 측정한 8종 VOCs 농도를 보정하였다(그림 7). 시료 채취율을 보정한 후, 수동대기채취기별 농도는 통계적으로 유의한 차이가 없었으며(RM-ANOVA: p>0.05), 물질별 농도의 상대표준편차는 30% 이내였다(단, 가장 농도가 낮은 사염화탄소는 제외). OVM 3500에서는 o-자일렌을 제외한 나머지 물질, OVM 566에서는 클로로포름, 벤젠, 톨루엔, 에틸벤젠, RAD 130에서는 모든 물질의 시료 채취율이 낮아졌으며, 이에 따라 8종 VOCs의 총 농도는 보정 전보다 증가하였다. 보정 전 Σ8 VOCs의 평균 농도는 기숙사에서 7.35 µg/m3, 사무실에서 13.1 µg/m3였으나, 보정 후에는 기숙사에서 11.0 µg/m3, 사무실에서 18.5 µg/m3로 증가하였다. 클로로포름 농도는 OVM 3500, OVM 566, RAD 130 시료에서 각각 4.8배, 2.8배, 6.3배로 가장 크게 증가했다. 반면, 에틸벤젠과 자일렌의 증가 배수는 각각 1.2~1.5배와 0.9~1.5배로 시료 채취율 보정에 따른 영향이 크지 않았다. 다른 채취기와는 달리 OVM 566 시료에서는 사염화탄소, m,p-자일렌, o-자일렌, 스타이렌의 보정 후 농도가 감소하였다. 이는 일부 물질에 대해 OVM 566의 문헌상 시료 채취율이 과소평가되었기 때문으로 판단된다.
Mean concentrations of eight VOCs during the first sampling period, calculated using the calibrated sampling rates for each passive air sampler in the (a) dormitory and (b) office.
일반적으로 실내/실외 농도비(indoor-to-outdoor (I/O) ratio)가 1을 초과하면 해당 물질은 실내에서 주로 방출되는 것으로 판단한다. 본 연구에서는 1차 시료채취 기간의 실내 수동대기채취기 보정 농도와 울산시 남구 신정동(SJ) 유해대기물질측정소 농도를 사용하여 I/O비를 계산하였다. 신정동 측정소는 도심에 위치하고, 실내 측정지점과 가장 가까운 측정소이다. 표 3에 수동대기채취기 기존 농도와 보정 농도를 이용한 I/O비를 장소와 물질별로 정리하였다. 벤젠의 경우, 보정 전 I/O비는 기숙사에서 0.48, 사무실에서 0.59로 실내 영향이 작았으나, 보정 후 I/O비는 각각 1.19와 1.39로 실내 영향이 컸다. 실외에는 연료 연소를 포함한 벤젠의 다양한 배출원이 있으며, 실내에서도 건축자재와 가구 등에서 벤젠이 방출된다(WHO, 2010). 톨루엔 I/O비는 기숙사에서 보정 후 1.37로 실내 영향이 증가하였으며, 사무실에서는 보정 전(1.24)과 후(2.10) 모두 실내 영향이 강했다. 일반적으로 톨루엔은 VOCs 중에서 농도가 높은 물질이며, 실내에서는 방향제, 페인트, 잉크 등 실생활과 밀접한 물품에서 방출되므로 실내에서도 톨루엔 농도가 높은 경향이 있다(Aylward et al., 2008). 반면, 에틸벤젠과 m,p-자일렌의 I/O비는 시료 채취율 보정 여부와 상관 없이 1보다 작아, 두 물질의 주요 유입원이 실외로 판단된다. o-자일렌의 I/O비는 기숙사에서는 1보다 작았지만, 사무실에서는 1보다 컸다. 사무실에서는 프린터 사용이 빈번하므로 o-자일렌 농도가 증가하였다(Kagi et al., 2007; Lee et al., 2001). 스타이렌의 I/O비는 보정 전부터 기숙사에서 2.52, 사무실에서 1.81로 실내 영향이 컸다. 스타이렌은 건축자재 중 단열재에서 방출되어 실내에서 자주 검출되기 때문이다(Huangfu et al., 2020). 클로로포름의 I/O비는 기숙사에서 보정 전 0.86에서 보정 후 3.78로 크게 증가하였다. 해당 물질의 채취율이 약 4배 낮아졌기 때문에 농도가 크게 증가하여 실내 영향이 커졌다. 사염화탄소는 주로 산업 활동으로 배출되기 때문에(Bie et al., 2017), 시료 채취율 보정 전후 모두 실내 영향은 작았다. 시료 채취율 보정 후 사염화탄소, 스타이렌, 벤젠의 I/O비는 선행 연구에서 보고된 값인 0.6, 4.3, 1.9와 비슷한 수준이었다(Xu et al., 2016; Gallego et al., 2011a; Zuraimi et al., 2003).
3. 4 실내 위해성 평가
시료 채취율 보정 전후 농도에 대한 발암 위해도를 그림 8에 나타내었다. 수동대기채취기별 총 발암 위해도는 보정 후 증가하였으며, 보정 후 OVM 3500 시료의 총 위해도는 기숙사에서 7.14E-06, 사무실에서 9.78E-06으로, 다른 수동대기채취기 시료에 비해 다소 높게 산정되었다. 수동대기채취기별로 시료 채취율을 보정했기 때문에 모든 수동대기채취기에서 동일한 보정 농도와 위해도가 나타나야 한다. 그러나 본 연구에서는 2차 시료채취 기간에 산출한 시료 채취율을 1차 시료채취 기간의 측정 결과에 적용하였기 때문에 이러한 차이가 발생하였다. 본 연구 결과에 따르면, 시료 채취율의 신뢰성을 확보하기 위해서는 다양한 기간과 장소에서 수동대기채취와 능동대기채취를 병행하여 충분히 검증할 필요가 있다.
Incremental lifetime cancer risk estimated for the 50% exposure group, based on the original and calibrated concentrations for each passive air sampler in the (a) dormitory and (b) office.
총 발암 위해도에 대한 물질별 평균 기여도는 보정 전후 모두 클로로포름이 가장 큰 비중을 차지하였다. 기숙사에서는 보정 전 9.27E-07 (47%), 보정 후 4.06E-06 (70%)이었으며, 사무실에서는 보정 전 1.31E-06 (49%), 보정 후 5.70E-06 (73%)으로 나타났다. 기숙사에서 보정 전에는 에틸벤젠(3.89E-07, 20%), 벤젠(3.32E-07, 17%), 사염화탄소(3.30E-07, 17%) 순이었고, 보정 후에는 벤젠(8.25E-07, 14%), 에틸벤젠(4.91E-07, 8%), 사염화탄소(4.58E-07, 8%) 순이었다. 사무실의 경우, 보정 전에는 에틸벤젠(7.41E-07, 28%), 벤젠(3.58E-07, 13%), 사염화탄소(2.72E-07, 10%) 순이었고, 보정 후에는 에틸벤젠(9.37E-07, 12%), 벤젠(8.47E-07, 11%), 사염화탄소(3.69E-07, 5%) 순이었다. 기숙사에서는 보정 후 벤젠의 기여도가 증가하여 두 번째로 높은 기여도를 보였다. 실외 환경대기에서는 대체로 벤젠의 위해도가 가장 크지만(Kim et al., 2024), 실내에서는 클로로포름이 다양한 생활제품에서 방출되고 흡입단위위해도가 높으므로 벤젠보다 위해도가 컸다(Lerner et al., 2012). 또한, 네 물질의 농도 합은 사무실에서 더 높았으나 기숙사에서의 노출 시간이 더 길어 기숙사에서의 발암 위해도가 더 높았다. 기숙사에서는 시료 채취율 보정 전에도 백분위 10% 노출군부터 100% 노출군까지 발암 위해도(10% 평균: 1.7E-06, 100% 평균: 3.4E-06)가 US EPA 기준치(1.0E-06)를 초과하였으나, WHO 기준치(1.0E-05)는 초과하지 않았다. 사무실의 경우, 보정 전에도 백분위 0% 노출군부터 100% 노출군 모두 기준치(1.0E-06)를 초과하였고, 100% 노출군은 보정 전 평균 4.6E-06에서 1.3E-05로 증가하여 WHO 기준치(1.0E-05)를 초과하였다. 시료 채취율 보정 후 백분위 50% 노출군의 발암 위해도는 OVM 3500, OVM 566, RAD 130 시료에서 각각 2.6배, 1.5배, 3.5배 증가하였으며, 평균 발암위해도는 기숙사에서 2.0E-06에서 5.8E-06으로, 사무실에서 2.7E-06에서 7.9E-06으로 증가하였다. 클로로포름은 흡입단위위해도가 높기 때문에 실내환경에서 발암 위해성 측면에서 중요한 물질이며, 시료 채취율 보정에 따라 WHO 기준치(1.0E-05) 초과 여부가 달라질 수 있다. 이 외에도 벤젠 등 주요 물질의 위해도가 시료 채취율 보정 후 증가하였으므로, 향후 수동대기채취기 측정 결과를 이용한 위해성 평가 시 시료 채취율의 불확도를 반드시 고려해야 한다.
4. 결 론
본 연구에서는 세 종류의 수동대기채취기를 사용하여 대학 기숙사와 사무실에서 24종 VOCs를 측정하였다. 동일한 시간과 장소에서 시료를 채취했음에도 채취기별 농도 수준과 물질 구성비에 차이가 있었다. 이러한 결과는 수동대기채취기 제품에 따라 개별 VOCs의 시료 채취율 정확도가 다를 수 있음을 의미한다. 기숙사보다 실내 배출원이 다양한 대학원 사무실에서 VOCs 총 농도가 더 높았다. 그러나 할로알케인 농도는 기숙사에서 더 높았으며, 이는 수돗물의 염소 소독 과정에서 부산물로 생성된 트리할로메탄의 영향으로 판단된다. 할로알케인 농도는 장소에 따라 큰 차이가 없었으며, 방향족 화합물의 농도와 비율은 사무실에서 더 높았다. 유해대기물질측정소 결과와 비교한 결과, 실내 농도는 더 낮았으나 BTEX 비율은 유사하였다. 반면에 클로로포름, 스타이렌, o-자일렌, 톨루엔의 비율은 실내에서 더 높았다.
능동대기채취와 수동대기채취를 동시에 실시한 결과, 수동대기채취 시료의 VOCs 농도가 더 낮았는데, 이는 제조사가 제공한 시료 채취율이 실제보다 전반적으로 과대평가되었음을 의미한다. 이러한 시료 채취율의 불확실성은 측정 농도와 위해성 평가에 영향을 미칠 수 있으므로, 능동대기채취기를 활용하여 수동대기채취기의 시료 채취율을 보정한 후, 농도를 재산정하고 실내외 농도비와 위해도를 산정하였다. 보정 여부에 따라 실내 배출 기여도와 위해도 기준치 초과 여부가 달라졌다. 따라서 수동대기채취기의 시료 채취율을 보정하지 않은 경우, 모니터링 결과는 우심지역 파악과 검출 물질의 스크리닝에 활용하는 것이 적합하며, 정확한 농도 산정을 기반으로 한 위해성 평가를 위해서는 시료 채취율 보정이 필요하다.
본 연구에 사용된 시료 개수가 충분하지 않고 시료 채취 장소가 학생 기숙사와 대학원 사무실로 한정되어 있어, 본 연구 결과만으로는 일반적인 주거지와 사무실의 실내공기질을 대표하기 어렵다. 또한, 계절에 따라 실내 생활경향이 달라질 수 있으므로 계절별 모니터링이 필요하다. 수동대기채취기의 VOCs 흡착특성은 농도 수준과 채취기간에 따라 달라질 수 있는데, 본 연구에서는 비교적 낮은 농도 수준의 실내공기를 단기간 채취하였으므로, 향후 다양한 농도 수준과 채취 기간을 고려한 추가 연구가 필요하다.
Acknowledgments
본 연구는 한국환경산업기술원(2021002970002)의 지원으로 수행되었습니다.
References
-
Aylward, L.L., Barton, H.A., Hays, S.M. (2008) Biomonitoring equivalents (BE) dossier for toluene (CAS No. 108-88-3), Regulatory Toxicology and Pharmacology, 51, S27-S36.
[https://doi.org/10.1016/j.yrtph.2008.05.009]
-
Bie, P., Fang, X., Li, Z., Wang, Z., Hu, J. (2017) Emissions estimates of carbon tetrachloride for 1992-2014 in China, Environmental Pollution, 224, 670-678.
[https://doi.org/10.1016/j.envpol.2017.02.051]
-
Brummer, V., Teng, S.Y., Jecha, D., Skryja, P., Vavrcikova, V., Stehlik, P. (2022) Contribution to cleaner production from the point of view of VOC emissions abatement: A review, Journal of Cleaner Production, 361.
[https://doi.org/10.1016/j.jclepro.2022.132112]
- Cho, H., Sohn, J.-Y. (2010) Assessment of indoor volatile organic compounds & formaldehyde emission characteristics in new apartments with the effectuation of the indoor air quality law, The Korean Society of Living Environmental System, 17, 206-213, (in Korean with English abstract). https://www.kci.go.kr/kciportal/ci/sereArticleSearch/ciSereArtiView.kci?sereArticleSear chBean.artiId=ART001443769
-
Choi, S.-D., Baek, S.-Y., Chang, Y.-S. (2009) Passive air sampling of persistent organic pollutants in Korea, Toxicology and Environmental Health Sciences, 1, 75-82.
[https://doi.org/10.1007/BF03216467]
-
Feigley, C.E., Do, T.H., Khan, J., Lee, E., Schnaufer, N.D., Salzberg, D.C. (2011) Deriving realistic source boundary conditions for a CFD simulation of concentrations in workroom air, The Annals of Occupational Hygiene, 55, 410-420.
[https://doi.org/10.1093/annhyg/meq091]
-
Gallego, E., Roca, F.J., Perales, J.F., Guardino, X. (2011a) Comparative study of the adsorption performance of an active multi-sorbent bed tube (Carbotrap, Carbopack X, Carboxen 569) and a Radiello® diffusive sampler for the analysis of VOCs, Talanta, 85, 662-672.
[https://doi.org/10.1016/j.talanta.2011.04.043]
-
Gallego, E., Roca, F.J., Perales, J.F., Guardino, X. (2011b) Evaluation of the effect of different sampling time periods and ambient air pollutant concentrations on the performance of the Radiello® diffusive sampler for the analysis of VOCs by TD-GC/MS, Journal of Environmental Monitoring, 13, 2612-2622.
[https://doi.org/10.1039/c1em10075k]
-
Huangfu, Y., Lima, N.M., O’Keeffe, P.T., Kirk, W.M., Lamb, B.K., Walden, V.P., Jobson, B.T. (2020) Whole-house emission rates and loss coefficients of formaldehyde and other volatile organic compounds as a function of the air change rate, Environmental Science & Technology, 54, 2143-2151.
[https://doi.org/10.1021/acs.est.9b05594]
-
Hwang, K., Park, S., Lee, G., Kim, J.b. (2023) Indoor air quality analysis in Naepo New Town using IoT sensor, Journal of Korean Society for Atmospheric Environment, 39, 24-41, (in Korean with English abstract).
[https://doi.org/10.5572/kosae.2023.39.1.24]
- ICS Maugeri (2019) Radiello User Manual 2019. https://radiello.com/
-
Järnström, H., Saarela, K., Kalliokoski, P., Pasanen, A.L. (2006) Reference values for indoor air pollutant concentrations in new, residential buildings in Finland, Atmospheric Environment, 40, 7178-7191.
[https://doi.org/10.1016/j.atmosenv.2006.06.021]
-
Jin, M., Wen, Z.-f., Liu, Y.-j., Qian, M., Zhou, Y., Bian, Y., Zhang, Y., Feng, X.-s. (2023) Trihalomethanes in water samples: Recent update on pretreatment and detection methods, Chemosphere, 341, 140005.
[https://doi.org/10.1016/j.chemosphere.2023.140005]
-
Jo, W.K., Kwon, K.D., Dong, J.I., Chung, Y. (2005) Multi-route trihalomethane exposure in households using municipal tap water treated with chlorine or ozone-chlorine, Science of The Total Environment, 339, 143-152.
[https://doi.org/10.1016/j.scitotenv.2004.07.026]
-
Kagi, N., Fujii, S., Horiba, Y., Namiki, N., Ohtani, Y., Emi, H., Tamura, H., Kim, Y.S. (2007) Indoor air quality for chemical and ultrafine particle contaminants from printers, Building and Environment, 42, 1949-1954.
[https://doi.org/10.1016/j.buildenv.2006.04.008]
- Korea Environment Institute (KEI) (2022) Identification of Major Management Issues and Proposition of Policy Direction for Improvement of Indoor Air Quality. https://www.kei.re.kr/kor/
-
Kim, S.-J., Kwon, H.-O., Lee, M.-I., Seo, Y., Choi, S.-D. (2019) Spatial and temporal variations of volatile organic compounds using passive air samplers in the multi-industrial city of Ulsan, Korea, Environmental Science and Pollution Research, 26, 5831-5841.
[https://doi.org/10.1007/s11356-018-4032-5]
-
Kim, S.-J., Lee, S.-J., Kim, H., Hong, Y., Choi, S.-D. (2024) Contribution of individual sources of volatile organic compounds to their cancer and non-cancer risks in the multi-industrial city of Ulsan, South Korea, Air Quality, Atmosphere & Health, 17, 1937-1949.
[https://doi.org/10.1007/s11869-024-01554-x]
-
Kim, S.-J., Lee, S.-J., Lee, H.-Y., Park, H.-J., Kim, C.-H., Lim, H.-J., Lee, S.-B., Kim, J.Y., Schlink, U., Choi, S.-D. (2021) Spatial-seasonal variations and source identification of volatile organic compounds using passive air samplers in the metropolitan city of Seoul, South Korea, Atmospheric Environment, 246.
[https://doi.org/10.1016/j.atmosenv.2020.118136]
-
Lee, S.C., Lam, S., Kin Fai, H. (2001) Characterization of VOCs, ozone, and PM10 emissions from office equipment in an environmental chamber, Building and Environment, 36, 837-842.
[https://doi.org/10.1016/S0360-1323(01)00009-9]
-
Lee, S.C., Li, W.-M., Ao, C.-H. (2002) Investigation of indoor air quality at residential homes in Hong Kong - case study, Atmospheric Environment, 36, 225-237.
[https://doi.org/10.1016/S1352-2310(01)00435-6]
-
Lerner, J.C., Sanchez, E.Y., Sambeth, J.E., Porta, A.A. (2012) Characterization and health risk assessment of VOCs in occupational environments in Buenos Aires, Argentina, Atmospheric Environment, 55, 440-447.
[https://doi.org/10.1016/j.atmosenv.2012.03.041]
-
Lim, S.K., Seung, S.H., Sil, Y.K., Jun, K.S., Mi, U.Y., Hyeon, H.J., Min, K.H., Yun, K.J., Hyung, K.T., Joo, K.Y., Hyun, R.T., Soo, L.D., Kyung, S.M., Min, C.S., Sik, K.H., Lee, B.-M. (2014) Risk assessment of volatile organic compounds benzene, toluene, ethylbenzene, and xylene (BTEX) in consumer products, Journal of Toxicology and Environmental Health, Part A, 77, 1502-1521.
[https://doi.org/10.1080/15287394.2014.955905]
-
Lu, F., Li, S., Shen, B., Zhang, J., Liu, L., Shen, X., Zhao, R. (2020) The emission characteristic of VOCs and the toxicity of BTEX from different mosquito-repellent incenses, Journal of Hazardous Materials, 384, 121428.
[https://doi.org/10.1016/j.jhazmat.2019.121428]
-
McAlary, T., Groenevelt, H., Disher, S., Arnold, J., Seethapathy, S., Sacco, P., Crump, D., Schumacher, B., Hayes, H., Johnson, P., Górecki, T. (2015) Passive sampling for volatile organic compounds in indoor air-controlled laboratory comparison of four sampler types, Environmental Science: Processes & Impacts, 17, 896-905.
[https://doi.org/10.1039/C4EM00560K]
- Ministry of Environment (MOE) (2022a) Annual Report of Air Quality 2021. https://www.airkorea.or.kr/web/detailViewDown?pMENU_NO=125
- Ministry of Environment (MOE) (2022b) Clean Air Conservation Act. https://elaw.klri.re.kr/eng_service/main.do
-
Montero-Montoya, R., Lopez-Vargas, R., Arellano-Aguilar, O. (2018) Volatile organic compounds in air: sources, distribution, exposure and associated illnesses in children, Annals of Global Health, 84, 225-238.
[https://doi.org/10.29024/aogh.910]
- National Institute of Environmental Research (NIER) (2010) Personal Exposure Assessment Study Based on People’s Daily Time Activity Patterns (III). https://ecolibrary.me.go.kr/nier/#/search/detail/5503387?offset=2
- National Institute of Environmental Research (NIER) (2019) Korean Exposure Factors Handbooks. https://dl.nanet.go.kr/detail/MONO1202017880
- National Institute of Environmental Research (NIER) (2020) A Study on the Survey and Management of Indoor Air Pollution Source (III) - Survey on the Concentration of Unregulated VOCs and Evaluation of Indoor Air Sampling Method in Newly-Built Apartment -. https://ecolibrary.me.go.kr/nier/#/search/detail/5705724
-
Park, E.-A., Eo, S., Oh, Y., Park, N.-Y., Lee, M., Kho, Y. (2024) Effects on indoor air quality of burning chemicals (scented candles and incense sticks), Journal of Environmental Health Sciences, 50, 36-42.
[https://doi.org/10.5668/JEHS.2024.50.1.36]
-
Sarigiannis, D.A., Karakitsios, S.P., Gotti, A., Liakos, I.L., Katsoyiannis, A. (2011) Exposure to major volatile organic compounds and carbonyls in European indoor environments and associated health risk, Environment International, 37, 743-765.
[https://doi.org/10.1016/j.envint.2011.01.005]
-
Shedd, J.S., Oh, J., Floyd, E.L., Lungu, C.T. (2023) Characterization of photothermal desorption-compatible diffusive samplers for volatile organic compounds, ACS Environmental Au, 3, 242-248.
[https://doi.org/10.1021/acsenvironau.2c00071]
- U.S. Environmental Protection Agency (US EPA) (2020) Health Effects Notebook for Hazardous Air Pollutants. https://www.epa.gov/haps/health-effects-notebook-hazardous-air-pollutants
- U.S. Environmental Protection Agency (US EPA) (2023a) Initial List of Hazardous Air Pollutants with Modifications. https://www.epa.gov/haps/initial-list-hazardous-air-pollutants-modifications
- U.S. Environmental Protection Agency (US EPA) (2023b) What Are Volatile Organic Compounds (VOCs)?. https://www.epa.gov/indoor-air-quality-iaq/what-are-volatile-organic-compounds-vocs
- World Health Organization (WHO) (2010) Benzene, WHO Guidelines for Indoor Air Quality: Selected Pollutants. https://www.ncbi.nlm.nih.gov/books/NBK138708/
- World Health Organization (WHO) (2022) Household Air Pollution. https://www.who.int/news-room/fact-sheets/detail/household-air-pollution-and-health
-
Xu, H., Li, Y., Feng, R., He, K., Ho, S.S.H., Wang, Z., Ho, K.F., Sun, J., Chen, J., Wang, Y. (2021) Comprehensive characterization and health assessment of occupational exposures to volatile organic compounds (VOCs) in Xi’an, a major city of northwestern China, Atmospheric Environment, 246, 118085.
[https://doi.org/10.1016/j.atmosenv.2020.118085]
-
Xu, J., Szyszkowicz, M., Jovic, B., Cakmak, S., Austin, C.C., Zhu, J. (2016) Estimation of indoor and outdoor ratios of selected volatile organic compounds in Canada, Atmospheric Environment, 141, 523-531.
[https://doi.org/10.1016/j.atmosenv.2016.07.031]
-
Yoo, S.-W., Son, J.-W., Ji, H.-S., Kim, J.-M., Kim, S.-Y., Ryu, K.-R., Jeong, H.-C. (2024) An indoor air quality analysis in newly constructed apartments, Journal of Environmental Analysis, Health and Toxicology, 27, 151-167, (in Korean with English abstract).
[https://doi.org/10.36278/jeaht.27.3.151]
-
Zhao, Z., Ma, S., Gao, B., Bi, F., Qiao, R., Yang, Y., Wu, M., Zhang, X. (2023) A systematic review of intermediates and their characterization methods in VOCs degradation by different catalytic technologies, Separation and Purification Technology, 314.
[https://doi.org/10.1016/j.seppur.2023.123510]
-
Zuraimi, M.S., Tham, K.W., Sekhar, S.C. (2003) The effects of ventilation operations in determining contributions of VOCs sources in air-conditioned tropical buildings, Building and Environment, 38, 23-32.
[https://doi.org/10.1016/S0360-1323(02)00013-6]
김상화 (울산과학기술원 지구환경도시건설공학과 석박사통합과정) (shkim64@unist.ac.kr)
조인규 (울산과학기술원 지구환경도시건설공학과 석박사통합과정) (igcho@unist.ac.kr)
이종현 (울산과학기술원 지구환경도시건설공학과 석사) (jhlee15@unist.ac.kr)
권정환 (고려대학교 환경생태공학부 교수) (junghwankwon@korea.ac.kr)
최성득 (울산과학기술원 지구환경도시건설공학과 교수) (sdchoi@unist.ac.kr)


