
미세먼지의 입경별 산화잠재력 특성과 호흡기 침착률 산정
; Hee-Won Jang1) ; Young-Ji Han1), 2), *
; Ji-Yi Lee3)
; Jong-Sung Park4)
; Do-Young Yun4)
; Gook-Young Heo4)
; Kwang-Yul Lee4)
; Jung-Min Park4)
Abstract
This study investigated the size-resolved oxidative potential (OP) of particulate matter (PM) using a MOUDI sampler and evaluated its potential health impact by evaluating particle deposition in the human respiratory tract. Chuncheon, a medium-sized residential city in South Korea, was the measurement site for this study conducted in March 2023. The average of PM18 concentration during the study period was 39.7 μg m-3, showing a typical bimodal distribution with peaks in the 0.32~0.56 μm and 3.2~5.6 μm. Although PM mass was higher in the coarse mode, both OP measured by the ascorbic acid (OPAA) and dithiothreitol (OPDTT) assays peaked in the 0.32~0.56 μm range, suggesting that fine particles may exert greater oxidative stress and pose elevated health risks. During Asian dust events, OPDTT increased in the coarse mode, indicating the influence of mineral-associated trace elements. Respiratory tract deposition modeling revealed that OPAA and OPDTT from fine particles were primarily deposited in the alveolar region. During non-dust periods, OPDTT showed relatively higher contributions from quasiultrafine and accumulation modes, while during Asian dust events, coarse-mode OPDTT was mainly deposited in the head airway region. These findings highlight the importance of particle size and composition in determining regional respiratory health risks. Further research is needed to identify the specific components driving size-dependent OP.
Keywords:
Oxidative potential, Ascorbic acid, Dithiothreitol, Size distribution, Respiratory tract deposition1. 서 론
대기 중에 존재하는 입자상 물질(particulate matter: PM)은 호흡기를 통해 인체에 유입된 후 다양한 세포 조직에 염증을 유발하여 심혈관, 호흡기 및 퇴행성 질환 등의 다양한 질병을 야기함으로써 인체 건강에 악영향을 미친다(Bates et al., 2019; Abrams et al., 2017; Cesaroni et al., 2014). PM이 건강에 미치는 상세한 기작은 아직 완전히 밝혀지지 않았으나 PM의 구성 성분에 따라 인체 독성 반응이 다르게 나타난다는 연구가 다수 존재한다(Liu et al., 2023; Wang et al., 2020; Bates et al., 2019). 체내로 흡입된 입자는 인체 내에서 상피세포 및 골수세포와 상호 작용하는 과정에서 활성산소종(reactive oxygen species, ROS)을 생성하고 이 활성산소종의 과도한 축적은 세포막, DNA, 단백질 등의 손상을 초래하며, 심각할 경우 세포 사멸을 유발한다(Guascito et al., 2023; Marcoccia et al., 2017). 체내에서 ROS를 생성하고 표적 분자에 산화스트레스를 유도하는 PM의 능력을 산화잠재력(oxidative potential, OP)이라고 정의하며, OP는 대기 에어로졸 입자의 독성을 대변할 수 있는 잠재적 건강 지표로 사용될 수 있다. PM의 산화잠재력 측정 방법 중에는 인체 항산화제를 이용하여 생물학적 시스템 내에서 발생하는 산화환원 반응을 모방한 비세포 화학적 분석법이 개발되어 활용되고 있다(Tuet et al., 2017; Cho et al., 2005; Kumagai et al., 2002). 이러한 분석법에서 PM 내 산화환원활성종은 항산화제로부터 산소로의 전자 전달을 촉매화하며, 항산화제의 감소량은 시료 내 산화환원 활성종의 농도를 측정하는 지표로 사용된다.
강원특별자치도 춘천시는 중·대규모의 인위적 대기 배출원이 존재하지 않는 주거지역이지만, 대기 중 PM2.5 및 PM10 농도는 우리나라의 대도시와 비교하였을 때 유사하거나 높은 수준을 보이는 것으로 알려져 있다(Lee et al., 2025; Choi et al., 2022; Byun et al., 2020). 선행 연구에 의하면, 춘천의 PM2.5 농도는 생물성 연소의 영향과 함께 2차 생성 유-무기 에어로졸의 활발한 생성의 영향을 받는 것으로 나타났다(Jeon et al., 2024; Choi et al., 2022; Park et al., 2022). Kim et al. (2024)에서는 인체 항산화제인 AA (Ascorbic acid)와 GSH (Reduced glutathione), 그리고 DTT (Dithiothreitol)를 사용하여 PM2.5의 산화잠재력을 분석하였다. 그 결과, AA로 측정한 OP는 K+, Se, Pb의 농도가 높을 때 증가한 반면, GSH와 DTT로 측정한 OP는 유기탄소(organic carbon: OC)와의 관련이 높게 나타났다.
PM은 입자크기에 따라 호흡기 내의 침착 부위가 다르다. 조대입자는 호흡기의 상부 영역에 침착될 가능성이 높은 반면, 초미세먼지와 극미세먼지는 더 깊은 폐포 영역까지 도달할 수 있다. 초미세먼지는 폐포벽을 자극하고 부식시킬 뿐만 아니라 폐 세포 내로 침투하여 순환계로 진입할 수 있어 심각한 건강 위험을 초래한다. 또한, 전이금속(Cu, Fe, Mn, V, Zn, Ni) 및 유기성분(PAHs, quinone)과 같은 산화 환원 활성 성분의 입경별 농도 차이에 따라 산화잠재력 또한 달라질 수 있다.
본 연구에서는 강원특별자치도 춘천시에서 PM의 입경에 따른 OP를 측정하여 그 특징을 파악하는 한편, International Commission on Radiological Protection model(ICRP) 기도(respiratory tract) 모델을 활용하여 PM의 크기별 인체 내 호흡기 침착 양상을 동시에 평가함으로써, 입자 크기에 따른 독성 및 건강 위험을 정량적으로 분석하고자 하였다. OP를 측정하기 위해서는 비세포 화학분석법 중 저분자량의 항산화물질(ascorbic acid, reduced glutathione, uric acid)을 포함하고 있는 호흡기 내막액(Respiratory tract lining fluid, RTLF)을 사용하는 AA 분석법과 강력한 환원제인 dithiothreitol의 감소율을 측정하는 DTT 분석법을 사용하였다.
2. 실험 방법
2. 1 시료 채취
입경 크기에 따른 미세먼지의 OP 분석을 위해 강원대학교 자연과학대학 2호관 4층 옥상(Kangwon National University, 이하 KNU)에서 2023년 3월 8일부터 3월 31일까지 5회에 걸쳐 시료를 채취하였다. OP 분석을 위해서는 충분한 입자 질량이 필요하기 때문에, 각 시료는 2~3일 동안 채취하였으며 각 시료의 상세한 측정 시간은 표 1과 같다. 5회의 샘플링 중 3월 13일 시료는 3일 동안 채취되었고, 나머지는 모두 2일 동안 채취하였다. 입경별 시료 채취는 30 LPM의 유량으로 설계된 9단의 MOUDI (Micro-Orifice Uniform Deposition Impactor, MSP 100)에 47 mm의 PTFE 필터(47 mm, 공극 2.0 μm, GVS, Italy)를 장착하여 수행하였으며 MOUDI 각 단의 분리 입경은 0.18, 0.32, 0.56, 1.0, 1.8, 3.2, 5.6, 10, 18 μm로 구성되어 있다.

Summary of sampling duration, PM mass concentrations (PM0.18, PM0.18-3.2, and PM3.2-18), and meteorological conditions.
입경별 시료채취와 동시에 같은 장소에서 23시간씩 매일 저유량 샘플러를 이용하여 PM2.5 시료를 채취한 후 주요 성분을 분석하였다. 탄소성분 분석을 위한 시료는 탄소디누더(Sunset Laboratory, US)와 16.7 LPM의 사이클론을 장착한 1단 필터팩에 전처리한 quartz 필터(47 mm, 공극 2.2 μm, Whatman, UK)를 장착하여 채취하였다. 이온성분은 3채널 디누더(URT-2000-30x242-3CSS, URG Co., US)를 통해 산성가스(HNO3, HNO2, SO2) 및 NH3를 제거한 후, PTFE 필터(47 mm, 공극 1 μm, GVS, Italy)와 10 LPM의 사이클론을 장착하여 채취하였다. 미량원소는 PMS-204 (APM Eng., Korea) 저용량 채취기에 Teflon 필터(47 mm, 공극 2.0 μm, GVS, Italy)를 장착하여 16.7 Lpm의 유량으로 채취하였다. 일별 PM2.5의 성분 분석 결과는 입경별 시료채취기간에 맞춰 평균값을 사용하였다. 채취한 필터들은 추출 및 분석 전까지 PTFE 테이프로 밀봉하여 냉동보관하였다.
2. 2 시료 추출 및 성분 분석
시료 채취 전·후, 필터는 20°C, 습도 50% 조건의 데시케이터에서 24시간 보관하였으며 정전기 제거기(STABLO-AP, Shimadzu, Japan)가 장착된 미량저울(CP225D, Sartorius, Germany)로 10-5 g까지 무게를 측정하였다. 각 입경별 질량농도는 중량법을 기반으로, 측정한 필터의 전·후 무게차와 채취 유량을 통해 계산하였으며 채취한 필터는 PTFE 테이프로 밀봉하여 분석 전까지 냉동보관하였다. 탄소성분은 유기탄소(OC)와 원소탄소(elemental carbon: EC)를 NIOSH 5040 프로토콜을 이용한 TOT 분석법을 사용하여 분석하였다. 이온성분은 채취한 필터를 8 mL의 초순수로 1시간 초음파 추출 후 PTFE 시린지 필터(공극 0.45 μm)로 여과한 후 2 mL로 린스하여 이온크로마토그래피(Metrohm, Swiss)를 이용해 , , Ca2+, Mg2+, K+, , Na+ 성분을 분석하였다. 미량원소는 채취한 필터를 16.75% HCl, 5.55% HNO3 혼합액 10 mL에서 마이크로웨이브로 전처리한 후, 유도결합 플라즈마 분광법(Inductively Coupled Plasma Spectrometry, ICP-MS)으로 총 27종(Ca, Na, Mg, K, Fe, Zn, Al, Mn, Ni, Cu, As, Cd, Pb, Ba, Li, V, Cr, Co, Sr, Se, Be, Ga, Rb, Ag, In, Cs, Bi)을 분석하였다.
산화잠재력 분석을 위해 냉동보관된 필터는 추출 전 데시케이터에 24시간 보관한 후 사용하였다. 샘플링된 필터는 코니칼 튜브에 넣어 완전히 잠기도록 메탄올(99.8%, HPLC grade) 20 mL를 넣은 후, vortex mixer와 초음파 추출기를 사용하여 각 10분씩 추출하였다. 추출된 필터는 무균대에서 충분히 말린 후 추출 전·후 무게 차이를 이용하여 추출된 입자의 질량을 측정하였다. 추출액은 37°C로 유지되는 수조에서 초고 순도 질소로 완전히 휘발시킨 후, 5% 메탄올을 이용하여 추출액의 농도가 200~500 μg mL-1가 되도록 각 시료의 농도를 맞춘 후 vortex mixing 10분, 초음파 추출 10분 진행하여 재추출하였다.
2. 3 산화잠재력 분석
본 연구에서는 저분자량의 항산화물질을 포함하고 있는 체내 방어선인 호흡기 내막액(Respiratory Tract Lining Fluid, RTLF)이 PM과 반응하였을 때 항산화물질의 감소율을 측정함으로써 OP를 측정하였다(Kim et al., 2024). 이를 위해, ascorbic acid (AA), reduced glutathione (GSH), uric acid (UA)가 각각 200 μM 포함된 인위적 RTLF 시약(pH=7.0, phosphate buffer solution)을 제조하였다. 100 μg mL-1의 PM 농도로 희석한 추출된 시료 180 μL에 RTLF 20 μL를 주입하여 4시간 동안 260 nm 파장에서 흡광광도계(ABSplus, Molecular devices)를 이용하여 AA를 측정하였다. AA 분석법으로 측정한 산화잠재력(OPAA)는 4시간이 지난 후의 AA의 흡광도([Abs]4hr)와 0시간에서의 AA의 흡광도([Abs]ini)의 차이를 통해 식 1과 같이 계산하였으며, RTLF 내 AA의 농도와 측정 시간을 고려한 후 추출 시료의 질량농도와 PM2.5 질량농도를 이용하여 부피 표준화한 산화잠재력을 pmol min-1 m-3 단위로 나타냈다. 시료의 보정을 위해 5% MeOH 용액을 시료와 동일한 조건으로 RTLF와 반응시켜 측정한 바탕시료(blank)와 5% MeOH만을 사용하여 AA 흡광도를 측정한 배경시료(background)의 결과값을 이용하여 보정하였다.
| (1) |
Dithiothreitol (DTT)에 의한 OP 측정법은 PM과 반응하여 감소하는 DTT의 농도를 측정한다. 본 연구에서는 Cho et al. (2005)를 기반으로 PM과 반응한 후 잔존하는 DTT를 DTNB와 반응시켜 생성된 TNB를 측정하였다. 25 μg mL-1 농도로 희석한 PM 시료에 1 mM의 DTT 용액을 주입한 후, 37°C의 incubator에서 5분, 15분, 25분, 35분 동안 반응시킨 후, 각 시간마다 혼합액 50 μL씩 분취하여 50 μL의 DTNB와 반응시킨 후 412 nm의 파장에서 측정하였다. 시료와 함께 양성대조군인 0.5 μM의 Cu(NO3)2와 바탕시료를 동일한 조건에서 함께 측정하였다. 시료의 DTT 감소율을 계산하기 위해, 1 mM의 DTT 용액을 8개의 농도 단계로 희석하여 검정곡선을 작성하였으며, 이를 바탕으로 시료의 DTT 농도를 계산하였다. DTT 감소율은 식 2와 같이 분취 시간을 고려해 실제 DTT 반응 시간인 35분의 DTT 농도([DTT]35min)와 0분의 DTT 농도([DTT]0min)의 차이를 반응시간으로 나눠준 후, 배경시료의 DTT 감소율을 빼서 보정하였으며, PM2.5 질량농도를 곱하여 부피표준화하여 pmol min-1 m-3 단위로 나타냈다.
| (2) |
2. 4 QA/QC
모든 실험도구는 중성세제(Alconox, USA), 아세톤(HPLC grade), 그리고 초순수를 이용하여 세척하였다. PM2.5 시료는 6개의 시료 채취마다 현장바탕시료(FB, Field blank)를 채취하였으며, 이온성분, 탄소성분, 미량원소의 방법검출한계(Method Detection Limit, MDL)는 성분 분석 후, FB 표준편차의 3배 값을 사용하였다(표 2). 탄소성분의 경우, 30 μg mL-1의 sucrose solution을 분석하여 5% 이내임을 확인하여 정확도를 검증하였다.
PM 시료의 산화잠재력은 3번씩 반복하여 측정하였으며, 변동계수가 20%를 벗어날 경우 재분석하여 사용하였다. 양성대조군으로 0.5 μM의 Cu(NO3)2이 사용되었으며 결과별로 평균 5% 이내의 차이를 보였다. DTT의 농도를 계산하기 위해 표준물질에 대한 8-point 검정(calibration)을 이용하였으며, 검정곡선의 r2가 0.990 이상일 때의 결과를 사용하였다.
2. 5 호흡기 침착 모델
미세먼지의 입경은 호흡기계 및 체내 침착 효율에 영향을 미치는 것으로 알려져 있다. 입경에 따른 호흡기에서의 침착 효율은 ICRP 기도 모델(International Commission on Radiological Protection respiratory tract model)을 기반으로 추정하였으며(Li et al., 2024; ICRP, 1994), 이 모델은 전체 호흡기계를 코, 입 및 후두를 포함한 머리 영역(HA, Head Airway), 기관지(TB, Tracheobronchial region), 폐포(AR, Alveolar region)의 세 부분으로 구분한다. 입경별 침착 효율은 식 3~5와 같이 Li et al. (2024) 연구에서 제시된 식을 이용하여 각 영역에서의 침착 효율(DFHA,i, DFTB,i, DFAR,i)을 계산하였다. 여기서 Dp,i는 i번째 입경 크기에서의 기하평균직경을 의미하며, 침착 효율(DFj,i)은 특정 입경 크기에서 해당 호흡기 영역(j)으로 입자가 침착될 확률을 나타낸다. 이러한 침착 효율을 바탕으로, 특정 호흡기 영역(j: HA, TB, AR)에 침착된 PM의 침착률과 OP의 기여도를 각각 식 6과 식 7을 통해 산출하였다. OP의 기여도(DOP,j)는 특정 영역(j)에서 침착된 PM이 유발하는 OP의 상대적 기여도를 의미하며(식 6), PM의 침착률(DPM,i)은 특정 영역(j)에 침착된 PM이 전체 PM에서 차지하는 비율을 의미한다(식 7). 이를 통해 특정 입경 크기의 PM이 호흡기 내에서 어떻게 침착되며, 그 과정에서 OP의 영향이 어떻게 변화하는지를 정량적으로 평가할 수 있다.
| (3) |
| (4) |
| (5) |
| (6) |
| (7) |
3. 결 과
3. 1 미세먼지의 입경별 농도 및 성분 특성
전체 기간 동안 PM18의 평균 질량 농도는 39.7±8.8 μg m-3로 나타났으며, 축적모드(accumulation, 0.18~3.2 μm)와 조대입자(coarse, 3.2~18 μm)가 전체 입자 질량의 각각 58%와 39%를 차지하였다. 측정된 PM의 평균 입경별 질량농도의 그래프를 보면 stage 3 (0.32~0.56 μm)과 stage 7 (3.2~5.6 μm)에서 높아지는 전형적인 이산형 분포를 나타냈다(그림 1(a)). 황사이벤트를 포함하고 있는 C2와 C4 시료에 대해서는, 조대입자의 농도가 축적모드보다 높게 나타났으며 저유량 채취기로 측정한 PM2.5 성분 분석 결과에서 해당 시료의 Na+, Ca2+, 미량원소의 기여도가 다른 시료에 비해 높게 나타났다(그림 2). 본 연구에서는 PM2.5의 화학적 성분을 분석하였기 때문에 MOUDI의 입경별 분포를 해석하기에는 한계가 존재하나, 선행 연구 결과(Byun et al., 2018; Kim et al., 2003)에 의하면 황사 시에는 조대입자뿐만 아니라 PM2.5의 광물성분도 크게 증가하는 것으로 보고되었다. 본 연구에서 황사에 해당되는 C2와 C4 시료에서 광물성분이 차지하는 비율은 각각 2.1%와 2.7%로 나타나, 나머지 시료의 광물성분 비율인 1.4~1.7%에 비해 뚜렷하게 증가하였다. 따라서, 해당 기간의 입경별 농도분포와 PM2.5 내 광물성분의 기여도 증가는 C2와 C4 시료에 대한 황사의 영향을 뒷받침한다. 이 두 시료를 제외하면, PM18 중 축적모드의 비율은 64~71%로 크게 증가하였다.
Size-resolved distributions of PM mass concentration (a), oxidative potential measured using the AA assay (b), and oxidative potential measured using the DTT assay (c).
C1은 시료 중 가장 높은 PM18 농도를 보였다(표 1). C1과 같은 기간에 채취된 PM2.5 질량의 62.5%는 2차 무기염으로 간주되는 , , 이 차지하였다(그림 2). (NH4)2SO4와 NH4NO3는 주로 축적모드로 존재하기 때문에(Plaza et al., 2011), C1 시료의 높은 축적모드 비율을 설명할 수 있다(표 1). 또한 C1 시료의 채취기간 동안 관측된 낮은 풍속과 높은 상대습도(표 1)는 2차 무기염의 생성을 촉진했을 것으로 판단된다(Park, 2022; Fu et al., 2016).
C5와 같은 기간 채취된 PM2.5의 경우, PM2.5 중 OC의 분율이 34.9%로 전체 시료 중 가장 높았으며(그림 2), OC의 농도 또한 7.3±0.25 μg m-3로 가장 높게 관측되었다. C3 역시 PM2.5 중 OC 비율이 21.7% (그림 2)로, 2차 무기염의 비율이 압도적인 C1에 비해 높은 OC 비율이 관측되었다. 2차 유기에어로졸(secondary organic aerosol: SOA)은 VOC 산화로 생성되는 저휘발성 물질의 균질(homogeneous) 및 비균질(heterogeneous) 응축으로 생성되는 반면, 2차 무기 이온염은 가스-입자 변환이 비교적 빠르게 진행되기 때문에, SOA의 초기 입자 크기는 2차 무기이온염보다 작은 경향을 보인다(Pandis et al., 1993). 이러한 이유로 C3와 C5의 PM0.18 (준-극미세먼지 모드)의 비율은 각각 3.1%와 4.5%로, C1의 PM0.18 비율인 1.1%에 비해 크게 나타난 것으로 판단된다(표 1, 그림 3).
3. 2 산화잠재력의 입경별 특성
입경에 따른 OPAA와 OPDTT의 분포를 파악한 결과, 전체 기간 동안 PM0.18, PM0.18-3.2, PM3.2-18의 평균 OPAA는 각각 2.5±0.7, 30.9±16.3, 1.8±1.1 pmol min-1 m-3였으며, OPDTT는 각각 11.3±4.8, 208.0±69.1, 99.7±45.9 pmol min-1 m-3로 나타났다. OPAA는 0.32~0.56 μm 범위의 축적단계에서 가장 높은 평균값을 나타냈다(그림 1(b)). 반면, OPDTT는 입경별 PM 농도 분포와 유사하게 bi-modal 분포를 보였으나, PM 농도가 조대입자에서 더 높았던 것과 달리, OPDTT는 0.32~0.56 μm 범위에서 더 높은 값을 보였다(그림 1(c)). 이러한 결과는 조대입자에 비해 미세입자가 상대적으로 높은 산화스트레스를 야기하여 인체 건강에 악영향을 줄 수 있음을 나타낸다.
입경별 OP의 분포를 시료별(C1~C5)로 분석하였을 때, 상대적으로 0.18~3.2 μm 입경에서 OPAA가 다른 시료에 비해 3~5배 낮게 나타난 C4를 제외하고(표 3) OPAA는 시료별 변화가 없이 일관적으로 축적단계에서 가장 높은 값을 보였다(그림 4). 반면, OPDTT는 황사이벤트가 발생한 C2, C4 시료에서 비황사기간의 시료들과 다른 입경 분포 특성을 나타냈다. C2와 C4에서는 축적단계보다 조대입자 단계에서 더 높은 OPDTT를 보였으며, 이는 DTT가 AA에 비해 조대입자를 구성하는 성분에 더 큰 민감도를 보인다는 것을 확인할 수 있었다. 추가로, OPAA와 OPDTT 간 시료별 상관성 분석 결과, 비황사기간(C1, C3, C5)에서는 유의한 양의 상관관계(r=0.916, 0.796, 0.775, p<0.05)가 확인되었으나, 황사기간(C2, C4)에서는 유의한 상관성이 나타나지 않아 이러한 차이를 뒷받침한다.

Oxidative potential (OPAA and OPDTT) of each sample for PM0.18, PM0.18-3.2, PM3.2-18.(unit: pmol min-1 m-3)
Size-resolved distributions of oxidative potential measured by the AA and DTT assays for each sample.
즉, 황사기간 동안 조대입자에 포함된 광물성 미량원소의 농도의 증가가 OPDTT 증가의 원인으로 판단되며, 이는 Mn, Fe, Ti과 같은 전이금속이 OP를 증가시킨다는 선행 연구 결과를 뒷받침한다(Kim et al., 2024; Nishita-hara et al., 2019). OPAA의 경우 동일한 황사시료지만 C4에서만 조대입자에서 높은 OP 값을 나타낸 것은 C2와 C4 기간 동안 조대입자를 구성하는 성분의 차이 때문인 것으로 추정된다. PM2.5 중 미량원소의 기여도를 살펴보면, C2 시료는 Fe, K와 같은 광물성 미량원소의 비율이 높았지만, C4 시료에서는 Pb, As의 기여도가 다른 시료에 비해 높게 나타났다. Pb 기여도의 증가는 선행 연구에서의 상위 OPAA 시료에서도 확인할 수 있다(Kim et al., 2024). 황사를 제외한 나머지 시료에 대해서는 OPAA, OPDTT 모두 축적단계에서 조대입자 단계보다 큰 값을 보여, 입경이 작은 PM이 체내에 깊게 침착되어 산화스트레스를 유발할 가능성이 높음을 확인하였다. 축적단계의 입자가 갖는 높은 OP는 심혈관 및 호흡기계에 미치는 영향을 증가시킬 수 있는 반면 조대입자 범위는 상부 호흡기에 침착될 가능성이 높다(Andrade et al., 2021).
본 연구에서 측정된 입경별 OP를 선행 연구 결과와 비교하였다. 칠레 산티아고에서 진행된 Andrade et al. (2021)에서는 OPDTT의 전체 평균이 준-극미세입자 단계와 축적단계에서 각각 27.7 pmol min-1 m-3와 329.3 pmol min-1 m-3로 나타나 본 연구에서 측정한 OPDTT (11.3, 208.0 pmol min-1 m-3)보다 높은 결과를 보였다. 그러나 조대입자의 OPDTT는 94.9 pmol min-1 m-3로 99.7 pmol min-1 m-3인 본 연구와 유사한 수준을 나타냈다. 이탈리아에서 진행된 Massimi et al. (2020) 연구 결과, OPDTT의 전체 평균은 준-극미세입자 단계와 축적단계에서 각각 15.0, 173.0 pmol min-1 m-3로 본 연구 결과와 유사한 수준을 보였으나, 조대입자 단계에서는 본 연구에서 측정한 OPDTT가 4배 정도 높게 나타났다. 일본 후쿠오카의 Nishita-Hara (2019) 연구에서는 황사기간 동안 측정한 미세입자(≤2.5 μm)와 조대입자(>2.5 μm)에서의 OPDTT가 비황사기간보다 각각 1.5, 2.7배 증가했으며, 광물성 미량원소가 조대입자에서 OPDTT의 주요 변수로 작용하였다고 제시하였다. 따라서, 선행 연구 결과에 비해 본 연구에서 측정된 조대입자의 상대적으로 높은 OPDTT는 황사의 영향일 것으로 판단된다. 이는, 황사기간에 채취된 C2와 C4 시료에서 조대입자의 높은 OPDTT가 관측된 결과와도 일치한다(표 3). 황사를 제외한 다른 모든 시료에서는 조대입자모드보다 축적모드에서 뚜렷하게 높은 OPAA와 OPDTT가 측정되었는데(표 3), 이는 선행 연구와 일치하는 결과로, 작은 입경의 입자는 체내 깊숙이 침착될 뿐만 아니라 산화스트레스도 높게 나타난다는 사실을 시사한다.
반면 Massimi et al. (2020)의 연구에서 준-극미세입자 단계와 축적단계에서의 OPAA는 각각 0.4, 11.4 pmol min-1 m-3로 본 연구보다 약 6배, 3배 낮았으며 조대입자 단계에서는 본 연구에서의 측정값보다 약 10배 높게 나타나, 본 연구 결과와 반대의 경향을 나타냈다. DTT와 달리 AA를 이용하여 측정한 OP의 경우 선행연구 결과가 많지 않아 보다 충분한 비교가 불가능하다.
3. 3 입경별 입자의 호흡기 내 침착 평가
본 연구에서는 ICRP 모델을 기반으로 입경별 PM의 침착 효율을 계산하고, 이를 통해 호흡기 각 영역 (HA, TB, AR)에 침착된 PM의 농도와 산화잠재력을 분석하였다. 각 입경별 호흡기 영역에서 침착된 PM 농도 또는 OP를 대기 중 입경별로 측정된 PM 농도 또는 OP의 총합으로 나눈 후 백분율로 환산하여, 전체 평균 영역별 입경에 따른 PM과 OP의 침착률을 산출하였다(그림 5). PM 농도의 경우, 평균적으로 전체 PM18의 약 63%가 호흡기에 침착되었으며 3.2~5.6 μm에서 가장 높은 침착률을 보였다(그림 5(a)). 특히, 3.2~5.6 μm 단계의 입자는 머리부근(HA)에서 평균 15.3%로 가장 높은 침착률을 나타냈으며 이는 조대입자가 주로 상부 호흡기에 침착됨을 시사한다. OPDTT는 PM 농도와 유사하게 조대입자에서 큰 기여도를 보인 반면(그림 5(b)), OPAA는 1.0~1.8 μm 입경에서 가장 큰 기여도를 나타냈고 준-극미세입자 단계에서도 두 번째로 높은 기여도를 보였다(그림 5(c)). 이는 미세 입경 크기에서 OPAA가 OPDTT보다 호흡기 침착량이 더 클 뿐 아니라, OPAA의 경우 미세입자가 호흡기에 침착되었을 때 조대입자보다 더 큰 산화력을 나타냄을 보여준다. 특히, 폐포 부근(AR)에 침착되는 준-극미세입자가 AA 산화로 인해 체내 악영향을 미칠 가능성이 높다(그림 5(b)).
Size-resolved PM concentrations (a) and oxidative potential measured by the DTT (b) and AA (c) assays across different regions of the respiratory tract: head airway (HA), alveolar (AR), and tracheobronchial (TB) regions.
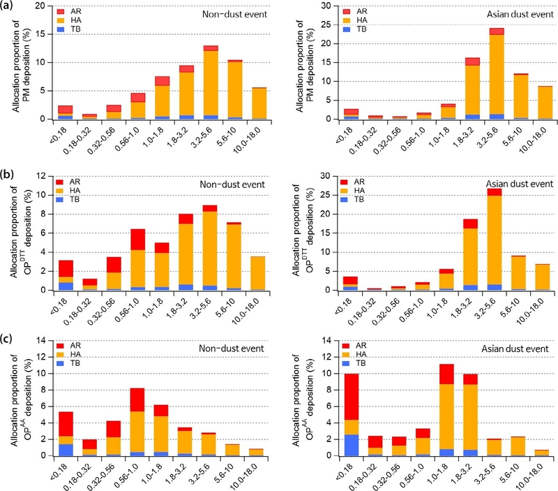
황사기간(C2, C4)과 비황사기간(C1, C3, C5)으로 나누어 각 입경별 호흡기 영역에서 침착된 PM 농도와 OP의 기여도를 비교하였다(그림 6). 황사기간 동안 PM과 OPDTT는 공통적으로 조대입자 단계에서 높은 침착률을 나타낸 반면, 비황사기간에는 준-극미세입자와 축적단계에서 질량농도에 비해 OPDTT의 침착률이 상대적으로 높은 기여도를 보였다(그림 6(c)). 특히 폐포 부근 (AR)의 침착률은 입자질량농도에 비해 OPDTT가 뚜렷하게 높은 값을 나타내었다. OPAA의 경우, 두 기간의 전체 침착률 차이는 크지 않았으나, 황사기간 특정 입경(<0.18 μm, 1.0~1.8 μm, 1.8~3.2 μm)에서 AR과 HA의 침착률이 큰 폭으로 증가하였다. 이러한 결과들은 황사기간에는 조대입자의 상기도 부근의 침착된 PM과 극-미세입자에서 폐포에 침착된 PM이 건강 악영향에 기여할 가능성을 시사한다.
Size-resolved respiratory tract deposition of PM (a) and oxidative potential measured by the DTT (b) and AA (c) assays during Asian dust events (right panels) and non-dust periods (left panels).
OPAA와 OPDTT의 입경별 호흡기 영역 내 침착된 PM의 기여도의 차이는 두 산화잠재력 분석 방법에 있어 각각 민감하게 반응하는 PM 내 성분의 차이에 기인하는 것으로 보인다. 선행 연구에 따르면, OPAA는 EC, K+, Ba 등의 영향을 받으며, OPDTT는 일차 유기탄소(primary organic carbon: POC), Cd, Al과 같은 성분의 영향을 받는다고 보고되었다(Kim et al., 2024). 미국 Atlanta 도로변 연구(Fang et al., 2017)와 중국 Xiamen 연구(Li et al., 2024)에서도 본 연구와 유사하게 OPDTT의 호흡기 내 침착량이 조대입자에서는 HA에 집중되었으며, 미세입자에서는 주로 AR과 HA에 침착되는 경향을 보였다. 칠레에서 수행된 연구(Andrade et al., 2021)에서도 입경별 OPDTT는 극미세입자에서 폐포 내 침착이 증가하는 경향을 보였으며, 이는 본 연구와 일치하는 결과이다. 반면, OPAA는 OPDTT와 다르게 준-극미세입경(<0.18 μm)에서 가장 높은 호흡기 침착 기여도를 보였으며 입경 증가에 따라 점차 감소하는 경향을 나타냈다. 그러나 AA를 이용하여 분석한 산화잠재력의 선행 연구는 DTT에 비해 매우 부족하여, 본 연구 결과와 비교하기 어려운 한계점이 존재한다.
4. 결 론
본 연구에서는 강원특별자치도 춘천시에서 MOUDI를 이용해 입경별 PM의 산화잠재력을 평가하고, 이를 호흡기 내 침착률과 연계하여 체내 산화스트레스의 영향을 분석하였다. 입경별 PM 농도는 전형적인 이산형 분포를 보였으며, 특히 황사기간(C2, C4)에는 조대입자 농도가 상대적으로 증가하였고, Na+, Ca2+, 미량원소의 기여도가 높게 나타나 해당 지역이 황사의 영향을 받았음을 알 수 있었다. OPAA와 OPDTT의 입경별 분포를 비교한 결과, OPAA는 축적단계에서 일관되게 높은 반면, OPDTT는 황사기간에 조대입자 단계에서 증가하는 경향을 확인했다. 이는 OPDTT가 조대입자에서 광물성 미량원소의 영향을 받았다고 판단할 수 있으며, 선행 연구의 결과들과도 일치하였다.
ICRP를 통한 입경별 호흡기 내 침착률 분석 결과, OPAA와 OPDTT 모두 준-극미세입자 크기에서 높은 침착률을 보여, 체내 깊숙한 폐포(AR) 영역에 침착될 가능성이 높았다. 반면, 황사기간에는 조대입자가 머리부근(HA) 영역에 집중적으로 침착되며, 이는 상부 호흡기에서 염증 반응을 유도할 가능성을 나타낸다. OPDTT의 조대입자 분포는 황사의 영향을 명확히 반영하며, 이는 선행 연구 결과와도 일치하는 경향을 보였다. 반면, OPAA는 준-극미세입자에서의 산화스트레스 기여도가 두드러졌으나, 선행 연구 결과가 부족하여 입경별 성분 분석을 통한 연계 분석이 필요하다.
향후 연구에서는 OPAA와 OPDTT에 영향을 미치는 입경별 성분 기여도를 명확히 규명함으로, 입경별 산화스트레스의 체내 영향을 정량적으로 평가할 필요가 있다. 이러한 연구는 입경별 산화스트레스에 기여도를 더욱 명확히 평가하고, 나아가 호흡기 질환 유발 메커니즘에 대한 이해를 심화하는 데 기여할 수 있을 것이다.
Acknowledgments
이 연구는 한국연구재단(Grant No. 2020R1A2C22013445)과 환경부가 지원하는 국립환경과학원의 보조금으로 강원권 미세먼지연구관리센터(NIER-2021-03-03-007)의 지원을 받아 수행되었습니다. 또한 환경부의 재원으로 한국환경산업기술원의 미세먼지관리 특성화대학원 사업 및 국립환경과학원(NIER-2025-04-02-021)의 지원을 받아 수행되었기에, 감사드립니다.
References
-
Abrams, J.Y., Weber, R.J., Klein, M., Sarnat, S.E., Chang, H.H., Strickland, M.J., Verma, V., Fang, T., Bates, J.T., Mulholland, J.A., Russell, A.G., Tolbert, P.E. (2017) Associations between Ambient Fine Particulate Oxidative Potential and Cardiorespiratory Emergency Department Visits, Environmental Health Perspectives, 125(10), 107008.
[https://doi.org/10.1289/EHP1545]
-
Andrade, C., Molina, C., Sánchez, L.F., Manzano, C.A., Toro, R. (2021) Exploring the oxidative potential and respiratory deposition of size-segregated particulate matter at an urban site, Journal of South American Earth Sciences, 105, 102957.
[https://doi.org/10.1016/j.jsames.2020.102957]
-
Bates, J.T., Fang, T., Verma, V., Zeng, L., Weber, R.J., Tolbert, P.E., Abrams, J.Y., Sarnat, S.E., Klein, M., Mulholland, J.A., Russell, A.G. (2019) Review of Acellular Assays of Ambient Particulate Matter Oxidative Potential: Methods and Relationships with Composition, Sources, and Health Effects, Environmental Science & Technology, 53(8), 4003-4019.
[https://doi.org/10.1021/acs.est.8b03430]
-
Byun, J.-Y., Cho, S.-H., Kim, H.-W., Han, Y.-J. (2018) Long-term Characteristics of PM2.5 and Its Metallic Components in Chuncheon, Korea, Journal of Korean Society for Atmospheric Environment, 34(3), 406-417, (in Korean with English abstract).
[https://doi.org/10.5572/kosae.2018.34.3.406]
-
Byun, J.-Y., Kim, H., Han, Y.-J., Lee, S.-D., Park, S.-W. (2020) High PM2.5 Concentrations in a Small Residential City with Low Anthropogenic Emissions in South Korea, Atmosphere, 11(11).
[https://doi.org/10.3390/atmos11111159]
-
Cesaroni, G., Forastiere, F., Stafoggia, M., Andersen, Z.J., Badaloni, C., Beelen, R., Caracciolo, B., de Faire, U., Erbel, R., Eriksen, K.T., Fratiglioni, L., Galassi, C., Hampel, R., Heier, M., Hennig, F., Hilding, A., Hoffmann, B., Houthuijs, D., Jöckel, K.-H., Korek, M., Lanki, T., Leander, K., Magnusson, P.K.E., Migliore, E., Ostenson, C.-G., Overvad, K., Pedersen, N.L., Pekkanen, J., Penell, J., Pershagen, G., Pyko, A., Raaschou-Nielsen, O., Ranzi, A., Ricceri, F., Sacerdote, C., Salomaa, V., Swart, W., Turunen, A.W., Vineis, P., Weinmayr, G., Wolf, K., de Hoogh, K., Hoek, G., Brunekreef, B., Peters, A. (2014) Long term exposure to ambient air pollution and incidence of acute coronary events: prospective cohort study and meta-analysis in 11 European cohorts from the ESCAPE Project, BMJ, 348, f7412.
[https://doi.org/10.1136/bmj.f7412]
-
Cho, A.K., Sioutas, C., Miguel, A.H., Kumagai, Y., Schmitz, D.A., Singh, M., Eiguren-Fernandez, A., Froines, J.R. (2005) Redox activity of airborne particulate matter at different sites in the Los Angeles Basin, Environmental Research, 99(1), 40-47.
[https://doi.org/10.1016/j.envres.2005.01.003]
-
Choi, S.-Y., Lee, H.-J., Park, S.-W., Han, Y.-J. (2022) Enhanced PM2.5 episodes in a small residential city of South Korea: Effects of biomass burning and secondary formations, Atmospheric Pollution Research.
[https://doi.org/10.1016/j.apr.2022.101562]
-
Fang, T., Zeng, L., Gao, D., Verma, V., Stefaniak, A.B., Weber, R.J. (2017) Ambient Size Distributions and Lung Deposition of Aerosol Dithiothreitol-Measured Oxidative Potential: Contrast between Soluble and Insoluble Particles, Environmental Science & Technology, 51(12), 6802-6811.
[https://doi.org/10.1021/acs.est.7b01536]
-
Fu, X., Wang, S., Chang, X., Cai, S., Xing, J., Hao, J. (2016) Modeling analysis of secondary inorganic aerosols over China: pollution characteristics, and meteorological and dust impacts, Scientific Reports, 6(1), 35992.
[https://doi.org/10.1038/srep35992]
-
Guascito, M.R., Lionetto, M.G., Mazzotta, F., Conte, M., Giordano, M.E., Caricato, R., De Bartolomeo, A.R., Dinoi, A., Cesari, D., Merico, E., Mazzotta, L., Contini, D. (2023) Characterisation of the correlations between oxidative potential and in vitro biological effects of PM10 at three sites in the central Mediterranean, Journal of Hazardous Materials, 448, 130872.
[https://doi.org/10.1016/j.jhazmat.2023.130872]
- International Commission on Radiological Protection (ICRP) (1994) Publication 66, Human respiratory tract model for radiological protection, Annals of the ICRP. https://www.icrp.org/publication.asp?id=icrp%20publication%2066
-
Jeon, J.W., Park, S.W., Han, Y.J., Lee, T., Lee, S.H., Park, J.M., Yoo, M.S., Shin, H.J., Hopke, P.K. (2024) Nitrate formation mechanisms causing high concentration of PM2.5 in a residential city with low anthropogenic emissions during cold season, Environmental Pollution, 352, 124141.
[https://doi.org/10.1016/j.envpol.2024.124141]
-
Kim, K.-H., Choi, G.-H., Kang, C.-H., Lee, J.-H., Kim, J.Y., Youn, Y.H., Lee, S.R. (2003) The chemical composition of fine and coarse particles in relation with the Asian Dust events, Atmospheric Environment, 37(6), 753-765.
[https://doi.org/10.1016/s1352-2310(02)00954-8]
-
Kim, P.R., Park, S.W., Han, Y.J., Lee, M.H., Holsen, T.M., Jeong, C.H., Evans, G. (2024) Variations of oxidative potential of PM2.5 in a medium-sized residential city in South Korea measured using three different chemical assays, Science of The Total Environment, 920, 171053.
[https://doi.org/10.1016/j.scitotenv.2024.171053]
-
Kumagai, Y., Koide, S., Taguchi, K., Endo, A., Nakai, Y., Yoshikawa, T., Shimojo, N. (2002) Oxidation of proximal protein sulfhydryls by phenanthraquinone, a component of diesel exhaust particles, Chemical Research in Toxicology, 15(4), 483-489.
[https://doi.org/10.1021/tx0100993]
-
Lee, H.-J., Lee, H.-W., Park, S.-W., Jeon, J.-W., Kim, P.-R., Kwak, K.-H., Han, Y.-J., Holsen, T.M., Lee, S.-H., Jung, H.-G., Cha, S.-H., Park, J.-M., Yoo, M.-S. (2025) Characteristics of elevated PM2.5 events driven by enhanced organic compound concentrations in a South Korean residential city, Atmospheric Environment, 345, 121053.
[https://doi.org/10.1016/j.atmosenv.2025.121053]
-
Li, J.M., Zhao, S.M., Wu, S.P., Jiang, B.Q., Liu, Y.J., Zhang, J., Schwab, J.J. (2024) Size-segregated characteristics of water-soluble oxidative potential in urban Xiamen: Potential driving factors and implications for human health, Science of The Total Environment, 912, 168902.
[https://doi.org/10.1016/j.scitotenv.2023.168902]
-
Liu, L., Zhang, L., Wen, W., Jiao, J., Cheng, H., Ma, X., Sun, C. (2023) Chemical composition, oxidative potential and identifying the sources of outdoor PM2.5 after the improvement of air quality in Beijing, Environmental Geochemistry and Health, 45(5), 1537-1553.
[https://doi.org/10.1007/s10653-022-01275-z]
-
Marcoccia, M., Ronci, L., De Matthaeis, E., Setini, A., Perrino, C., Canepari, S. (2017) In-vivo assesment of the genotoxic and oxidative stress effects of particulate matter on Echinogammarus veneris, Chemosphere, 173, 124-134.
[https://doi.org/10.1016/j.chemosphere.2017.01.019]
-
Massimi, L., Ristorini, M., Simonetti, G., Frezzini, M.A., Astolfi, M.L., Canepari, S. (2020) Spatial mapping and size distribution of oxidative potential of particulate matter released by spatially disaggregated sources, Environmental Pollution, 266(Pt 3), 115271.
[https://doi.org/10.1016/j.envpol.2020.115271]
-
Nishita-Hara, C., Hirabayashi, M., Hara, K., Yamazaki, A., Hayashi, M. (2019) Dithiothreitol-Measured Oxidative Potential of Size-Segregated Particulate Matter in Fukuoka, Japan: Effects of Asian Dust Events, Geohealth, 3(6), 160-173.
[https://doi.org/10.1029/2019GH000189]
-
Pandis, S.N., Wexler, A.S., Seinfeld, J.H. (1993) Secondary organic aerosol formation and transport II. Predicting the ambient secondary organic aerosol size distribution, Atmospheric Environment. Part A. General Topics, 27(15), 2403-2416.
[https://doi.org/10.1016/0960-1686(93)90408-Q]
-
Park, S. (2022) Investigation on Change in Accumulation Mode Size Distributions of Secondary Inorganic Salts with PM2.5/PM10 during Late Fall at an Urban Site in Gwangju, Journal of Korean Society for Atmospheric Environment, 38(5), 641-652, (in Korean with English abstract).
[https://doi.org/10.5572/kosae.2022.38.5.641]
-
Park, S.-W., Han, Y.-J., Hong, J.-H., Lee, T.-H. (2022) PM2.5-bound Inorganic and Nonpolar Organic Compounds in Chuncheon, Korea, Asian Journal of Atmospheric Environment, 16(4).
[https://doi.org/10.5572/ajae.2022.111]
-
Plaza, J., Pujadas, M., Gómez-Moreno, F.J., Sánchez, M., Artiñano, B. (2011) Mass size distributions of soluble sulfate, nitrate and ammonium in the Madrid urban aerosol, Atmospheric Environment, 45(28), 4966-4976.
[https://doi.org/10.1016/j.atmosenv.2011.05.075]
-
Tuet, W.Y., Chen, Y., Xu, L., Fok, S., Gao, D., Weber, R.J., Ng, N.L. (2017) Chemical oxidative potential of secondary organic aerosol (SOA) generated from the photooxidation of biogenic and anthropogenic volatile organic compounds, Atmospheric Chemistry and Physics, 17(2), 839-853.
[https://doi.org/10.5194/acp-17-839-2017]
-
Wang, Y., Zhang, Y., Schauer, J.J., de Foy, B., Cai, T., Zhang, Y. (2020) Impacts of Sources on PM2.5 Oxidation Potential during and after the Asia-Pacific Economic Cooperation Conference in Huairou, Beijing, Environmental Science & Technology, 54(5), 2585-2594.
[https://doi.org/10.1021/acs.est.9b05468]
박성원 (강원대학교 환경학과 박사과정 학생) (prhe96@kangwon.ac.kr)
장희원 (강원대학교 농업생명과학대학 환경융합학부 에코환경과학전공 학부생) (heewon9871@gmail.com)
한영지 (강원대학교 농업생명과학대학 환경융합학부 에코환경과학전공/강원대학교 미세먼지통합관리학과 교수) (youngji@kangwon.ac.kr)
이지이 (이화여자대학교 공과대학 환경공학과 교수) (yijiyi@ewha.ac.kr)
박종성 (국립환경과학원 대기환경연구부 대기환경연구과 환경연구사) (psofc@korea.kr)
윤도영 (국립환경과학원 대기환경연구부 대기환경연구과 연구원) (ydy0818@korea.kr)
허국영 (국립환경과학원 대기환경연구부 대기환경연구과 환경연구관) (gookyoung@korea.kr)
이광열 (국립환경과학원 대기환경연구부 대기환경연구과 환경연구사) (kylee21@korea.kr)
박정민 (국립환경과학원 대기환경연구부 대기환경연구과 과장) (ilikepaul@korea.kr)

